• 文献检索
  • 文档翻译
  • 深度研究
  • 学术资讯
  • Suppr Zotero 插件Zotero 插件
  • 邀请有礼
  • 套餐&价格
  • 历史记录
应用&插件
Suppr Zotero 插件Zotero 插件浏览器插件Mac 客户端Windows 客户端微信小程序
定价
高级版会员购买积分包购买API积分包
服务
文献检索文档翻译深度研究API 文档MCP 服务
关于我们
关于 Suppr公司介绍联系我们用户协议隐私条款
关注我们

Suppr 超能文献

核心技术专利:CN118964589B侵权必究
粤ICP备2023148730 号-1Suppr @ 2026

文献检索

告别复杂PubMed语法,用中文像聊天一样搜索,搜遍4000万医学文献。AI智能推荐,让科研检索更轻松。

立即免费搜索

文件翻译

保留排版,准确专业,支持PDF/Word/PPT等文件格式,支持 12+语言互译。

免费翻译文档

深度研究

AI帮你快速写综述,25分钟生成高质量综述,智能提取关键信息,辅助科研写作。

立即免费体验

迷迭香和牛至精油的协同抗真菌、化感和抗增殖潜力。

Synergistic Antifungal, Allelopatic and Anti-Proliferative Potential of Salvia officinalis L., and Thymus vulgaris L. Essential Oils.

机构信息

Faculty of Food Processing Techology, Banat's University of Agricultural Sciences and Veterinary Medicine "King Michael I of Romania" from Timisoara, Calea Aradului, No. 119, Timisoara 300645, Romania.

Faculty of Horticulture and Forestry, Banat's University of Agricultural Sciences and Veterinary Medicine "King Michael I of Romania" from Timisoara, Calea Aradului, No. 119, Timisoara 300645, Romania.

出版信息

Molecules. 2018 Jan 16;23(1):185. doi: 10.3390/molecules23010185.

DOI:10.3390/molecules23010185
PMID:29337923
原文链接:https://pmc.ncbi.nlm.nih.gov/articles/PMC6017077/
Abstract

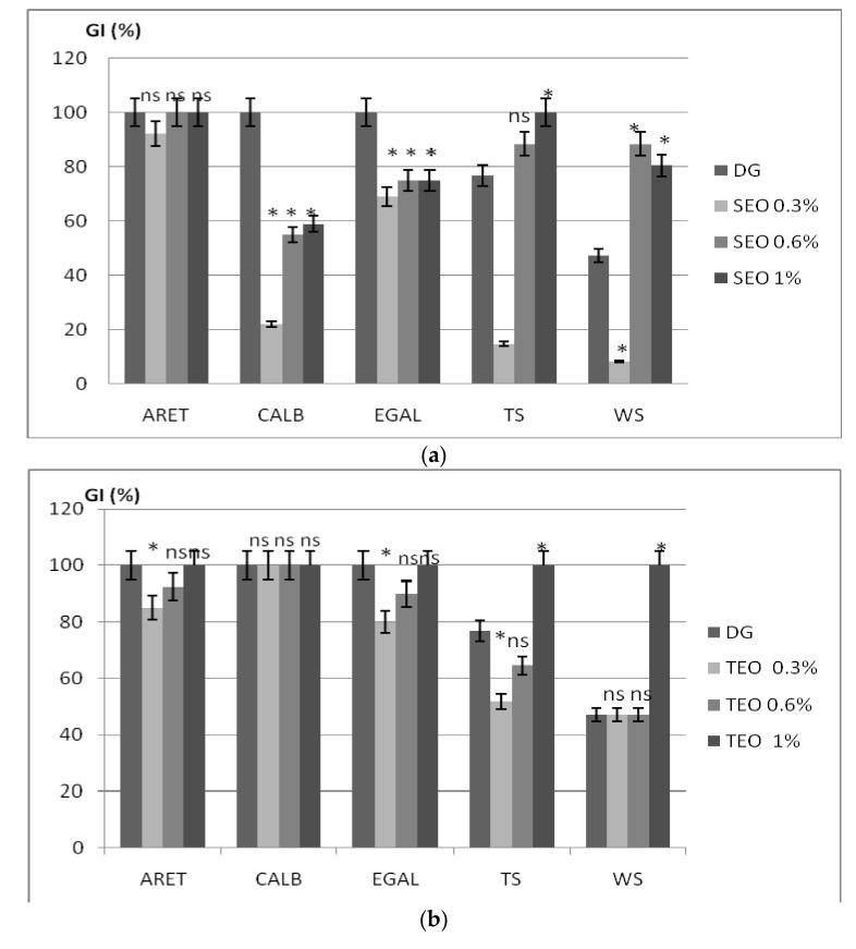
The current study aimed to investigate the chemical composition and the synergistic potential of two essential oils (EOs), as obtained from L. (SEO), and L. (TEO). The antifungal potential was tested in vitro against (Fg 06_17), the herbicidal effect was studied using weed seeds of (ARET), (CALB), (EGAL), but also wheat seeds (WS) of the Lovrin variety and tomato seeds Saint-Pierre of the variety. The GC-MS profile highlights that the mains compounds identified in SEO were: caryophyllene 25.364%), camphene (14.139%), eucalyptol (13.902%), and -pinene (11.230%), while in TEO, the predominant phytochemicals were: -terpinene (68.415%) and -thymol (24.721%). The results indicated that the tested EOs alone as well as in combination have allelopathic effect against investigated seeds, while the synergistic effect of TEO and SEO in terms of fungal growth was demonstrated at a level of 0.06%. Thyme and sage EOs exhibited in vitro anti-proliferative activity on two melanoma cell lines, namely A375 human melanoma and B164A5 mouse melanoma alone, as well as in combination. SEO was most effective in terms of decreasing the cell viability of murine and human melanoma cell lines when compared to TEO.

摘要

本研究旨在探讨两种精油(来自 和 )的化学成分及其协同潜力。体外测试了它们对 的抗真菌潜力,研究了它们对野草种子(ARET、CALB、EGAL)、Lovrin 品种的小麦种子和 Saint-Pierre 品种的番茄种子的除草效果。GC-MS 图谱表明,SEO 中的主要化合物为:石竹烯(25.364%)、莰烯(14.139%)、桉油醇(13.902%)和 -蒎烯(11.230%),而 TEO 中的主要植物化学成分则为:-松油烯(68.415%)和 -百里酚(24.721%)。结果表明,测试的精油单独以及组合使用都对所研究的种子具有化感作用,而在真菌生长方面,百里香和鼠尾草精油显示出协同作用,其协同水平为 0.06%。百里香和鼠尾草精油在体外对两种黑色素瘤细胞系(人黑色素瘤 A375 细胞和鼠黑色素瘤 B164A5 细胞)以及它们的组合均具有抗增殖活性。与 TEO 相比,SEO 在降低鼠和人黑色素瘤细胞系的细胞活力方面更为有效。

https://cdn.ncbi.nlm.nih.gov/pmc/blobs/2450/6017077/39f6940c4783/molecules-23-00185-g002a.jpg
https://cdn.ncbi.nlm.nih.gov/pmc/blobs/2450/6017077/5150a1c74a0c/molecules-23-00185-g001.jpg
https://cdn.ncbi.nlm.nih.gov/pmc/blobs/2450/6017077/39f6940c4783/molecules-23-00185-g002a.jpg
https://cdn.ncbi.nlm.nih.gov/pmc/blobs/2450/6017077/5150a1c74a0c/molecules-23-00185-g001.jpg
https://cdn.ncbi.nlm.nih.gov/pmc/blobs/2450/6017077/39f6940c4783/molecules-23-00185-g002a.jpg

相似文献

1
Synergistic Antifungal, Allelopatic and Anti-Proliferative Potential of Salvia officinalis L., and Thymus vulgaris L. Essential Oils.迷迭香和牛至精油的协同抗真菌、化感和抗增殖潜力。
Molecules. 2018 Jan 16;23(1):185. doi: 10.3390/molecules23010185.
2
The Inhibition of Non- Species and Uncommon Yeast Pathogens by Selected Essential Oils and Their Major Compounds.某些精油及其主要成分对非物种和罕见酵母病原体的抑制作用。
Molecules. 2021 Aug 15;26(16):4937. doi: 10.3390/molecules26164937.
3
Phytochemical Analysis and Antioxidant and Antifungal Activities of Powders, Methanol Extracts, and Essential Oils from L. and Desf. Benth.植物化学成分分析及粉末、甲醇提取物和精油的抗氧化和抗真菌活性来自 L. 和 Desf. Benth.
Int J Mol Sci. 2024 Jul 22;25(14):7989. doi: 10.3390/ijms25147989.
4
Chemical and Bioactive Evaluation of Essential Oils from Edible and Aromatic Mediterranean Lamiaceae Plants.食用和芳香地中海唇形科植物精油的化学成分和生物活性评价。
Molecules. 2024 Jun 13;29(12):2827. doi: 10.3390/molecules29122827.
5
L. from Italy: A Comparative Chemical and Biological Study of Its Essential Oil in the Mediterranean Context.L. 来自意大利:在地中海背景下对其精油的比较化学和生物学研究。
Molecules. 2020 Dec 10;25(24):5826. doi: 10.3390/molecules25245826.
6
Antibiofilm activity of selected plant essential oils from the family against clinical isolates.所选植物精油的抗生物膜活性 来自家庭对 临床分离株。
Ann Agric Environ Med. 2021 Jun 14;28(2):260-266. doi: 10.26444/aaem/135892. Epub 2021 Apr 29.
7
Use of Pinus sylvestris L. (Pinaceae), Origanum vulgare L. (Lamiaceae), and Thymus vulgaris L. (Lamiaceae) essential oils and their main components to enhance itraconazole activity against azole susceptible/not-susceptible Cryptococcus neoformans strains.使用欧洲赤松(松科)、牛至(唇形科)和普通百里香(唇形科)精油及其主要成分来增强伊曲康唑对唑类敏感/不敏感新型隐球菌株的活性。
BMC Complement Altern Med. 2018 May 3;18(1):143. doi: 10.1186/s12906-018-2219-4.
8
Antimicrobial Activity and Chemical Composition of Three Essential Oils Extracted from Mediterranean Aromatic Plants.从地中海芳香植物中提取的三种精油的抗菌活性及化学成分
J Med Food. 2016 Nov;19(11):1096-1103. doi: 10.1089/jmf.2016.0066. Epub 2016 Oct 28.
9
Fumigant Antifungal Activity via Reactive Oxygen Species of and Essential Oils and Constituents against and .和精油及其成分通过活性氧气体灭真菌活性及其对 和 的抑制作用。
Biomolecules. 2019 Oct 3;9(10):561. doi: 10.3390/biom9100561.
10
Essential oils from Mediterranean lamiaceae as weed germination inhibitors.地中海唇形科植物精油作为杂草发芽抑制剂
J Agric Food Chem. 2003 Oct 8;51(21):6158-64. doi: 10.1021/jf0210728.

引用本文的文献

1
Dual Biocide Behaviour of Quaternary Ammonium Functionalized Mesoporous Silica Nanoparticles Loaded with Thymus Essential Oil for Stone Conservation.负载百里香精油的季铵官能化介孔二氧化硅纳米颗粒用于石材保护的双重杀菌行为
Nanomaterials (Basel). 2025 Jun 4;15(11):866. doi: 10.3390/nano15110866.
2
Analysis of the Antioxidant and Antimicrobial Activity, Cytotoxic, and Anti-Migratory Properties of the Essential Oils Obtained from Cultivated Medicinal Species.对从栽培药用植物中提取的精油的抗氧化、抗菌活性、细胞毒性和抗迁移特性的分析。
Plants (Basel). 2025 Mar 8;14(6):846. doi: 10.3390/plants14060846.
3
Effects of Thyme, Cumin, and Sumac Extracts on Apoptosis and Paraptosis in Hepatocellular Carcinoma: Synergistic, Antagonistic, or Additive Properties.

本文引用的文献

1
Antibacterial activity and interactions of plant essential oil combinations against Gram-positive and Gram-negative bacteria.植物精油混合物对革兰氏阳性菌和革兰氏阴性菌的抗菌活性及相互作用。
J Food Drug Anal. 2017 Apr;25(2):403-408. doi: 10.1016/j.jfda.2016.06.002. Epub 2016 Jul 15.
2
Cytotoxic Effect of Thymus caramanicus Jalas on Human Oral Epidermoid Carcinoma KB Cells.卡拉曼尼库斯百里香对人口腔表皮样癌KB细胞的细胞毒性作用
Braz Dent J. 2017 Jan-Feb;28(1):72-77. doi: 10.1590/0103-6440201700737.
3
Thymus vulgaris L. essential oil and its main component thymol: Anthelmintic effects against Haemonchus contortus from sheep.
百里香、孜然和漆树提取物对肝细胞癌细胞凋亡和类凋亡的影响:协同、拮抗或相加特性
Food Sci Nutr. 2025 Mar 24;13(4):e70106. doi: 10.1002/fsn3.70106. eCollection 2025 Apr.
4
Screening of the Antimelanoma Activity of Monoterpenes-In Vitro Experiments on Four Human Melanoma Lines.单萜类化合物抗黑色素瘤活性的筛选——对四种人黑色素瘤细胞系的体外实验
Curr Issues Mol Biol. 2025 Feb 3;47(2):97. doi: 10.3390/cimb47020097.
5
Vapor-Phase Essential Oils as Antifungal Agents against Causing Postharvest Cherry Tomato Rot.气相精油作为抗导致采后樱桃番茄腐烂的真菌剂
Foods. 2024 Oct 9;13(19):3202. doi: 10.3390/foods13193202.
6
Isolation of Allelochemicals from and Their Allelopathy on Three Perennial Herbaceous Plants.从[具体来源未提及]中分离化感物质及其对三种多年生草本植物的化感作用
Plants (Basel). 2024 Sep 15;13(18):2585. doi: 10.3390/plants13182585.
7
Synergetic inhibitory effect of isopropyl methylphenol-based agents on biofilm formation by Streptococcus mutans.异丙甲酚基试剂对变异链球菌生物膜形成的协同抑制作用。
PLoS One. 2024 Sep 23;19(9):e0310926. doi: 10.1371/journal.pone.0310926. eCollection 2024.
8
Phenolic Content Analysis of Two Species Belonging to the Family: Antioxidant, Anticholinergic, and Antibacterial Activities.两种属于 Family 科的植物的酚类成分分析:抗氧化、抗胆碱能和抗菌活性。
Molecules. 2024 Jan 18;29(2):480. doi: 10.3390/molecules29020480.
9
Enhanced Natural Strength: Lamiaceae Essential Oils and Nanotechnology in In Vitro and In Vivo Medical Research.增强自然力量:唇形科精油与纳米技术在体外和体内医学研究中的应用。
Int J Mol Sci. 2023 Oct 17;24(20):15279. doi: 10.3390/ijms242015279.
10
allelopathy has a negative effect on the establishment of artificial grassland in natural grassland.化感作用对天然草地人工草地的建植有负面影响。
Plant Signal Behav. 2023 Dec 31;18(1):2163349. doi: 10.1080/15592324.2022.2163349.
百里香精油及其主要成分百里酚:对绵羊捻转血矛线虫的驱虫作用
Vet Parasitol. 2016 Sep 15;228:70-76. doi: 10.1016/j.vetpar.2016.08.011. Epub 2016 Aug 13.
4
Essential Oil of Thymus munbyanus subsp. coloratus from Algeria: Chemotypification and in vitro Biological Activities.来自阿尔及利亚的穆氏百里香亚种色叶百里香精油:化学分类及体外生物活性
Chem Biodivers. 2017 Mar;14(3). doi: 10.1002/cbdv.201600299. Epub 2017 Feb 16.
5
Thymol and Thymus Vulgaris L. activity against UVA- and UVB-induced damage in NCTC 2544 cell line.百里香酚和普通百里香对NCTC 2544细胞系中UVA和UVB诱导损伤的活性。
Mutat Res Genet Toxicol Environ Mutagen. 2015 Sep;791:30-7. doi: 10.1016/j.mrgentox.2015.07.009. Epub 2015 Jul 26.
6
Comparative inhibitory effects of Thymus vulgaris L. essential oil against Staphylococcus aureus, Listeria monocytogenes and mesophilic starter co-culture in cheese-mimicking models.百里香精油对奶酪模拟模型中金黄色葡萄球菌、单核细胞增生李斯特菌和嗜温性 starter 共培养物的比较抑制作用。
Food Microbiol. 2015 Dec;52:59-65. doi: 10.1016/j.fm.2015.07.003. Epub 2015 Jul 3.
7
Antioxidant and Antiproliferative Activities of the Essential Oils from Thymbra capitata and Thymus Species Grown in Portugal.葡萄牙种植的头状百里香和百里香属植物精油的抗氧化和抗增殖活性
Evid Based Complement Alternat Med. 2015;2015:851721. doi: 10.1155/2015/851721. Epub 2015 Jul 2.
8
Antifungal properties and inhibitory effects upon aflatoxin production of Thymus vulgaris L. by Aspergillus flavus Link.百里香对黄曲霉Link.产黄曲霉毒素的抗真菌特性及抑制作用
Food Chem. 2015 Apr 15;173:1006-10. doi: 10.1016/j.foodchem.2014.10.135. Epub 2014 Nov 3.
9
Differential effect of manool--a diterpene from Salvia officinalis, on genotoxicity induced by methyl methanesulfonate in V79 and HepG2 cells.鼠尾草中的二萜类化合物马尼醇对甲磺酸甲酯在V79和HepG2细胞中诱导的遗传毒性的差异作用。
Food Chem Toxicol. 2014 Oct;72:8-12. doi: 10.1016/j.fct.2014.06.025. Epub 2014 Jul 5.
10
Essential oil of common sage (Salvia officinalis L.) from Jordan: assessment of safety in mammalian cells and its antifungal and anti-inflammatory potential.约旦普通鼠尾草(Salvia officinalis L.)精油:哺乳动物细胞安全性评估及其抗真菌和抗炎潜力。
Biomed Res Int. 2013;2013:538940. doi: 10.1155/2013/538940. Epub 2013 Oct 9.