Cho Hyeran, Lee Aeri, Kim Kyobum
Division of Bioengineering, College of Life Sciences and Bioengineering, Incheon National University, 119 Academy-ro, Yeonsu-gu, Incheon, 22012 South Korea.
Biomater Res. 2018 Mar 9;22:6. doi: 10.1186/s40824-018-0116-z. eCollection 2018.
Fetal bovine serum (FBS) is the most essential supplement in culture media for cellular proliferation, metabolism, and differentiation. However, due to a limited supply and subsequently rising prices, a series of studies have investigated a biological feasibility of replaceable serums to substitute FBS. Along with the increasing interests to manufacture stem cell-based cellular products, optimizing the composition of culture media including serums and exogenous growth factors (GFs) is of importance. In this experiment, the effect of bovine serum (BS) and newborn calf serum (NCS) on proliferation and chondrogenic differentiation capacity of human adipose derived stem cells (ADSCs) was evaluated, especially in the chondrogenically supplemented culture condition.
ADSCs were chondrogenically cultured with FBS, BS, and NCS for 14 days. For the acceleration of in vitro chondrogenesis, exogenous insulin-like growth factor and transforming growth factor-β3 were added. Viability and proliferation of ADSCs were evaluated using Live/Dead fluorescence staining and DNA amount, respectively. To investigate a chondrogenic differentiation, a series of assays were performed including a quantification of glycosaminoglycan deposition, alcian blue staining, and RT-PCR analysis for type II collagen, aggrecan and Sox-9 genes.
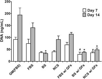
The results demonstrated that proliferation of ADSCs was facilitated in FBS condition as compared with other serum types. For chondrogenic marker gene expression, serum substitutes enhanced Sox-9 expression level on day 14. The deposition of glycosaminoglycan was more facilitated in BS condition regardless of additional chondrogenic GFs.
It could be presumably speculated that serum types and exogenous supplements of GFs could also be important parameters to optimize culture media composition, especially in order to maintain the enhanced levels of both proliferation and chondrogenic differentiation of ADSCs during expansion.
胎牛血清(FBS)是细胞培养基中细胞增殖、代谢和分化所必需的补充剂。然而,由于供应有限以及价格上涨,一系列研究探讨了用可替代血清取代FBS的生物学可行性。随着基于干细胞的细胞产品制造兴趣的增加,优化包括血清和外源性生长因子(GFs)在内的培养基组成至关重要。在本实验中,评估了牛血清(BS)和新生牛血清(NCS)对人脂肪来源干细胞(ADSCs)增殖和软骨分化能力的影响,特别是在软骨诱导补充培养条件下。
将ADSCs分别与FBS、BS和NCS进行软骨诱导培养14天。为加速体外软骨生成,添加外源性胰岛素样生长因子和转化生长因子-β3。分别使用活/死荧光染色和DNA含量评估ADSCs的活力和增殖。为研究软骨分化,进行了一系列检测,包括糖胺聚糖沉积定量、阿尔新蓝染色以及II型胶原蛋白、聚集蛋白聚糖和Sox-9基因的RT-PCR分析。
结果表明,与其他血清类型相比,ADSCs在FBS条件下的增殖更明显。对于软骨分化标志物基因表达,血清替代物在第14天增强了Sox-9的表达水平。无论是否添加软骨诱导GFs,在BS条件下糖胺聚糖的沉积更明显。
可以推测血清类型和GFs的外源性补充也是优化培养基组成的重要参数,特别是为了在扩增过程中维持ADSCs增殖和软骨分化的增强水平。