• 文献检索
  • 文档翻译
  • 深度研究
  • 学术资讯
  • Suppr Zotero 插件Zotero 插件
  • 邀请有礼
  • 套餐&价格
  • 历史记录
应用&插件
Suppr Zotero 插件Zotero 插件浏览器插件Mac 客户端Windows 客户端微信小程序
定价
高级版会员购买积分包购买API积分包
服务
文献检索文档翻译深度研究API 文档MCP 服务
关于我们
关于 Suppr公司介绍联系我们用户协议隐私条款
关注我们

Suppr 超能文献

核心技术专利:CN118964589B侵权必究
粤ICP备2023148730 号-1Suppr @ 2026

文献检索

告别复杂PubMed语法,用中文像聊天一样搜索,搜遍4000万医学文献。AI智能推荐,让科研检索更轻松。

立即免费搜索

文件翻译

保留排版,准确专业,支持PDF/Word/PPT等文件格式,支持 12+语言互译。

免费翻译文档

深度研究

AI帮你快速写综述,25分钟生成高质量综述,智能提取关键信息,辅助科研写作。

立即免费体验

UHPLC-MS 代谢组指纹图谱:安第斯物种 Tetraglochin ameghinoi(Speg.)Speg. 主要化合物的分离及抗氧化活性

UHPLC-MS Metabolome Fingerprinting: The Isolation of Main Compounds and Antioxidant Activity of the Andean Species Tetraglochin ameghinoi (Speg.) Speg.

机构信息

Instituto de Biotecnología-Instituto de Ciencias Básicas, Universidad Nacional de San Juan, Av. Li bertador General San Martín 1109 (O), San Juan CP5400, Argentina.

Instituto de Farmacia, Facultad de Ciencias, Universidad Austral de Chile, Campus Isla Teja, Valdivia 5090000, Chile.

出版信息

Molecules. 2018 Mar 29;23(4):793. doi: 10.3390/molecules23040793.

DOI:10.3390/molecules23040793
PMID:29596368
原文链接:https://pmc.ncbi.nlm.nih.gov/articles/PMC6017344/
Abstract

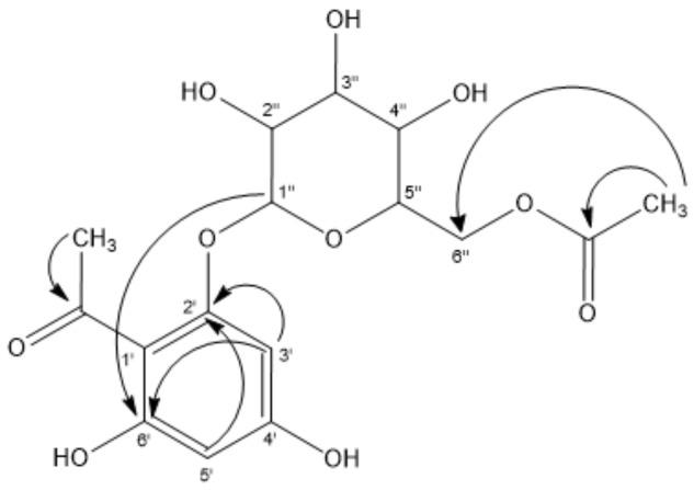
The seriated extracts of petroleum ether (PE-E), dichloromethane (DCM-E) and methanol extracts (MeOH-E) from the aerial parts of the native South American plant (Rosaceae), were evaluated regarding their antioxidant and antibacterial activities. The antioxidant properties were evaluated by free radical scavenging methods (DPPH and TEAC), ferric-reducing antioxidant power (FRAP) and lipoperoxidation in erythrocytes (LP), while the antibacterial activity was performed against Gram-positive and Gram-negative bacteria according to the Clinical and Laboratory Standards Institute (CLSI) guidelines. The chemical and biological analyses of this plant are very important since this bush is currently used in traditional medicine as a cholagogue and digestive. The polar MeOH-E showed the highest antioxidant activities (17.70 µg/mL in the DPPH assay, 381.43 ± 22.38 mM TE/g extract in the FRAP assay, 387.76 ± 91.93 mg TE/g extract in the TEAC assay and 93.23 + 6.77% in the LP assay) and it was selected for chromatographic isolation of its components. These components were found to be four acetophenones, including the new phloracetophenone glucoside: 4',6',-dihydroxy-2'--(6″-acetyl)--d-glucopyranosylacetophenone or IUPAC name: (6-(2-acetyl-3,5-dihydroxyphenoxy)-3,4,5-trihydroxytetrahydro-2H-pyran-2-yl)methyl acetate, whose structure was elucidated by NMR and MS methods. In addition, twenty-six compounds, including five of these acetophenone derivatives, two sugars, six flavonoids, eleven phenolic acids and two triterpenes, were identified based on UHPLC-OT-MS and PDA analysis on the MeOH-E. The results support the medicinal use of the plant.

摘要

从南美本土植物(蔷薇科)的地上部分提取的石油醚(PE-E)、二氯甲烷(DCM-E)和甲醇提取物(MeOH-E),对其抗氧化和抗菌活性进行了评估。抗氧化性能通过自由基清除方法(DPPH 和 TEAC)、铁还原抗氧化能力(FRAP)和红细胞中的脂质过氧化(LP)进行评估,而抗菌活性则根据临床和实验室标准协会(CLSI)指南针对革兰氏阳性和革兰氏阴性细菌进行。由于这种灌木目前在传统医学中被用作利胆剂和消化剂,因此对这种植物进行化学和生物学分析非常重要。极性 MeOH-E 显示出最高的抗氧化活性(DPPH 测定中为 17.70 µg/mL,FRAP 测定中为 381.43 ± 22.38 mM TE/g 提取物,TEAC 测定中为 387.76 ± 91.93 mg TE/g 提取物,LP 测定中为 93.23 ± 6.77%),因此被选中用于其成分的色谱分离。这些成分被发现是四种苯乙酮,包括新的苯乙酮葡萄糖苷:4',6',-二羟基-2'--(6″-乙酰)--d-吡喃葡萄糖基苯乙酮或 IUPAC 名称:(6-(2-乙酰基-3,5-二羟基苯氧基)-3,4,5-三羟基四氢-2H-吡喃-2-基)甲基乙酸酯,其结构通过 NMR 和 MS 方法阐明。此外,基于 UHPLC-OT-MS 和 MeOH-E 上的 PDA 分析,共鉴定出 26 种化合物,包括这 5 种苯乙酮衍生物、2 种糖、6 种类黄酮、11 种酚酸和 2 种三萜。结果支持植物的药用用途。

https://cdn.ncbi.nlm.nih.gov/pmc/blobs/1760/6017344/28506dc0d0ec/molecules-23-00793-g003.jpg
https://cdn.ncbi.nlm.nih.gov/pmc/blobs/1760/6017344/c6b445793fef/molecules-23-00793-g001.jpg
https://cdn.ncbi.nlm.nih.gov/pmc/blobs/1760/6017344/65e88af0a484/molecules-23-00793-g002.jpg
https://cdn.ncbi.nlm.nih.gov/pmc/blobs/1760/6017344/28506dc0d0ec/molecules-23-00793-g003.jpg
https://cdn.ncbi.nlm.nih.gov/pmc/blobs/1760/6017344/c6b445793fef/molecules-23-00793-g001.jpg
https://cdn.ncbi.nlm.nih.gov/pmc/blobs/1760/6017344/65e88af0a484/molecules-23-00793-g002.jpg
https://cdn.ncbi.nlm.nih.gov/pmc/blobs/1760/6017344/28506dc0d0ec/molecules-23-00793-g003.jpg

相似文献

1
UHPLC-MS Metabolome Fingerprinting: The Isolation of Main Compounds and Antioxidant Activity of the Andean Species Tetraglochin ameghinoi (Speg.) Speg.UHPLC-MS 代谢组指纹图谱:安第斯物种 Tetraglochin ameghinoi(Speg.)Speg. 主要化合物的分离及抗氧化活性
Molecules. 2018 Mar 29;23(4):793. doi: 10.3390/molecules23040793.
2
Antioxidant, Gastroprotective, Cytotoxic Activities and UHPLC PDA-Q Orbitrap Mass Spectrometry Identification of Metabolites in Decoction.水煎液的抗氧化、胃保护、细胞毒性活性及 UHPLC PDA-Q 轨道阱质谱联用鉴定代谢产物
Molecules. 2019 Mar 19;24(6):1085. doi: 10.3390/molecules24061085.
3
UHPLC-Q/Orbitrap/MS/MS Fingerprinting, Free Radical Scavenging, and Antimicrobial Activity of (Hook. & Arn.) DC. (Asteraceae) Lyophilized Decoction from Argentina and Chile.阿根廷和智利的菊科植物(Hook. & Arn.)DC. 冻干煎剂的超高效液相色谱-四极杆/轨道阱串联质谱指纹图谱、自由基清除及抗菌活性
Antioxidants (Basel). 2019 Nov 28;8(12):593. doi: 10.3390/antiox8120593.
4
UHPLC-HESI-OT-MS-MS Biomolecules Profiling, Antioxidant and Antibacterial Activity of the "Orange-Yellow Resin" from Cav.超高效液相色谱-高分辨电喷雾电离-轨道阱质谱联用技术对来自卡瓦胡椒的“橙黄色树脂”进行生物分子剖析、抗氧化及抗菌活性研究
Antioxidants (Basel). 2020 Feb 1;9(2):123. doi: 10.3390/antiox9020123.
5
UHPLC-ESI-OT-MS Phenolics Profiling, Free Radical Scavenging, Antibacterial and Nematicidal Activities of "Yellow-Brown Resins" from spp.来自[物种名称]的“黄棕色树脂”的超高效液相色谱-电喷雾离子化-飞行时间质谱酚类分析、自由基清除、抗菌和杀线虫活性
Antioxidants (Basel). 2021 Jan 28;10(2):185. doi: 10.3390/antiox10020185.
6
Exploring the metabolomic diversity of plant species across spatial (leaf and stem) components and phylogenic groups.探究植物物种在空间(叶和茎)成分和系统发育群之间的代谢组多样性。
BMC Plant Biol. 2020 Jan 28;20(1):39. doi: 10.1186/s12870-019-2231-y.
7
Anti-inflammatory, anticholinesterase, antioxidant and phytochemical properties of medicinal plants used for pain-related ailments in South Africa.南非用于治疗与疼痛相关疾病的药用植物的抗炎、抗胆碱酯酶、抗氧化和植物化学特性。
J Ethnopharmacol. 2010 Feb 3;127(2):235-41. doi: 10.1016/j.jep.2009.11.015. Epub 2009 Nov 20.
8
Metabolomic Profiling of Antioxidant Compounds in Five Species.五种物种抗氧化化合物的代谢组学分析
Molecules. 2021 Oct 14;26(20):6214. doi: 10.3390/molecules26206214.
9
Metabolite fingerprinting, pathway analyses, and bioactivity correlations for plant species belonging to the Cornaceae, Fabaceae, and Rosaceae families.山茱萸科、豆科和蔷薇科植物的代谢物指纹图谱、代谢途径分析及生物活性相关性
Plant Cell Rep. 2016 Sep;35(9):1917-31. doi: 10.1007/s00299-016-2006-y. Epub 2016 Jun 25.
10
Antimicrobial and antioxidant activity and chemical characterisation of Erythrina stricta Roxb. (Fabaceae).刺桐(豆科)的抗菌、抗氧化活性及化学特性
J Ethnopharmacol. 2016 Jun 5;185:171-81. doi: 10.1016/j.jep.2016.03.011. Epub 2016 Mar 8.

引用本文的文献

1
Alkaloid Profile, Anticholinesterase and Antioxidant Activities, and Sexual Propagation in (Amaryllidaceae).石蒜科植物的生物碱谱、抗胆碱酯酶和抗氧化活性以及有性繁殖
Plants (Basel). 2025 Jan 19;14(2):281. doi: 10.3390/plants14020281.
2
Gillies ex Hooker et Arnott (Oxalidaceae): Chemical Analysis, Biological In Vitro and In Vivo Properties and Behavioral Effects.吉利斯氏钩枝酢浆草(酢浆草科):化学分析、体外和体内生物学特性及行为效应
Antioxidants (Basel). 2024 Dec 7;13(12):1494. doi: 10.3390/antiox13121494.
3
Correlation Analysis Among the Chemical Composition and Cytotoxic and Antioxidative Activities of a Decoction for Endorsing Its Potential Application in Oncology.

本文引用的文献

1
Hepatoprotective effects of kaempferol 3-O-rutinoside and kaempferol 3-O-glucoside from Carthamus tinctorius L. on CCl-induced oxidative liver injury in mice.来自红花的山柰酚3 - O -芸香糖苷和山柰酚3 - O -葡萄糖苷对小鼠四氯化碳诱导的氧化性肝损伤的保肝作用。
J Food Drug Anal. 2015 Jun;23(2):310-317. doi: 10.1016/j.jfda.2014.10.002. Epub 2014 Dec 3.
2
Flavonoids: promising natural compounds against viral infections.黄酮类化合物:对抗病毒感染的有前景的天然化合物。
Arch Virol. 2017 Sep;162(9):2539-2551. doi: 10.1007/s00705-017-3417-y. Epub 2017 May 25.
3
The Protective Effects of p-Coumaric Acid on Acute Liver and Kidney Damages Induced by Cisplatin.
用于支持其在肿瘤学中潜在应用的汤剂的化学成分、细胞毒性和抗氧化活性之间的相关性分析
Plants (Basel). 2024 Oct 31;13(21):3062. doi: 10.3390/plants13213062.
4
Ultra-High-Resolution Liquid Chromatography Coupled with Electrospray Ionization Quadrupole Time-of-Flight Mass Spectrometry Analysis of (Hook. & Arn.) DC. (Asteraceae) and Antioxidant and Hypocholesterolemic Properties.超高效液相色谱联用电喷雾电离四极杆飞行时间质谱法分析(Hook. & Arn.)DC.(菊科)及其抗氧化和降胆固醇特性
Antioxidants (Basel). 2023 Dec 28;13(1):50. doi: 10.3390/antiox13010050.
5
Dormancy release of seeds of Podophyllum hexandrum Royle accompanied by changes in phytochemicals and inorganic elements.伴随着化学成分和无机元素变化的珠芽蓼种子休眠解除。
PLoS One. 2023 Nov 16;18(11):e0294673. doi: 10.1371/journal.pone.0294673. eCollection 2023.
6
UHPLC-ESI-OT-MS Phenolics Profiling, Free Radical Scavenging, Antibacterial and Nematicidal Activities of "Yellow-Brown Resins" from spp.来自[物种名称]的“黄棕色树脂”的超高效液相色谱-电喷雾离子化-飞行时间质谱酚类分析、自由基清除、抗菌和杀线虫活性
Antioxidants (Basel). 2021 Jan 28;10(2):185. doi: 10.3390/antiox10020185.
7
Metabolomic Analysis, Fast Isolation of Phenolic Compounds, and Evaluation of Biological Activities of the Bark From Cav. (Cunoniaceae).对Cav.( Cunoniaceae)树皮的代谢组学分析、酚类化合物的快速分离及生物活性评估。
Front Pharmacol. 2020 May 27;11:780. doi: 10.3389/fphar.2020.00780. eCollection 2020.
8
UHPLC-HESI-OT-MS-MS Biomolecules Profiling, Antioxidant and Antibacterial Activity of the "Orange-Yellow Resin" from Cav.超高效液相色谱-高分辨电喷雾电离-轨道阱质谱联用技术对来自卡瓦胡椒的“橙黄色树脂”进行生物分子剖析、抗氧化及抗菌活性研究
Antioxidants (Basel). 2020 Feb 1;9(2):123. doi: 10.3390/antiox9020123.
9
UHPLC-Q/Orbitrap/MS/MS Fingerprinting, Free Radical Scavenging, and Antimicrobial Activity of (Hook. & Arn.) DC. (Asteraceae) Lyophilized Decoction from Argentina and Chile.阿根廷和智利的菊科植物(Hook. & Arn.)DC. 冻干煎剂的超高效液相色谱-四极杆/轨道阱串联质谱指纹图谱、自由基清除及抗菌活性
Antioxidants (Basel). 2019 Nov 28;8(12):593. doi: 10.3390/antiox8120593.
10
Antioxidant, Gastroprotective, Cytotoxic Activities and UHPLC PDA-Q Orbitrap Mass Spectrometry Identification of Metabolites in Decoction.水煎液的抗氧化、胃保护、细胞毒性活性及 UHPLC PDA-Q 轨道阱质谱联用鉴定代谢产物
Molecules. 2019 Mar 19;24(6):1085. doi: 10.3390/molecules24061085.
对香豆酸对顺铂诱导的急性肝肾损伤的保护作用
Biomedicines. 2017 Apr 28;5(2):18. doi: 10.3390/biomedicines5020018.
4
Hepatoprotective effect of Coreopsis tinctoria flowers against carbon tetrachloride-induced liver damage in mice.波斯菊花朵对四氯化碳诱导的小鼠肝损伤的保肝作用。
BMC Complement Altern Med. 2017 Mar 4;17(1):139. doi: 10.1186/s12906-017-1604-8.
5
A novel method for the quantitation of gingerol glucuronides in human plasma or urine based on stable isotope dilution assays.一种基于稳定同位素稀释分析法的定量测定人血浆或尿液中姜辣素葡萄糖醛酸苷的新方法。
J Chromatogr B Analyt Technol Biomed Life Sci. 2016 Nov 15;1036-1037:1-9. doi: 10.1016/j.jchromb.2016.09.033. Epub 2016 Sep 26.
6
Secondary Metabolites in Ramalina terebrata Detected by UHPLC/ESI/MS/MS and Identification of Parietin as Tau Protein Inhibitor.利用超高效液相色谱/电喷雾电离串联质谱法检测树花菜中的次生代谢产物并鉴定出苔红素为tau蛋白抑制剂
Int J Mol Sci. 2016 Aug 18;17(8):1303. doi: 10.3390/ijms17081303.
7
Co-pigmentation of pelargonidin derivatives in strawberry and red radish model solutions by the addition of phenolic fractions from mango peels.芒果皮酚类物质添加到草莓和红萝卜模型溶液中对矢车菊素衍生物的共沉淀作用。
Food Chem. 2016 Dec 15;213:625-634. doi: 10.1016/j.foodchem.2016.06.097. Epub 2016 Jun 28.
8
Phenolic Compounds in Chilean Mistletoe (Quintral, Tristerix tetrandus) Analyzed by UHPLC-Q/Orbitrap/MS/MS and Its Antioxidant Properties.超高效液相色谱-四极杆/静电场轨道阱高分辨质谱联用分析智利寄生槲(Quintral,Tristerix tetrandus)中的酚类化合物及其抗氧化性能。
Molecules. 2016 Feb 23;21(3):245. doi: 10.3390/molecules21030245.
9
Seasonal Variation of Triterpenes and Phenolic Compounds in Australian Centella asiatica (L.) Urb.澳大利亚积雪草中三萜类化合物和酚类化合物的季节性变化
Phytochem Anal. 2015 Nov-Dec;26(6):436-43. doi: 10.1002/pca.2578. Epub 2015 Jul 29.
10
Dietary flavonoid aglycones and their glycosides: Which show better biological significance?饮食类黄酮苷元和糖苷:哪一种具有更好的生物学意义?
Crit Rev Food Sci Nutr. 2017 Jun 13;57(9):1874-1905. doi: 10.1080/10408398.2015.1032400.