• 文献检索
  • 文档翻译
  • 深度研究
  • 学术资讯
  • Suppr Zotero 插件Zotero 插件
  • 邀请有礼
  • 套餐&价格
  • 历史记录
应用&插件
Suppr Zotero 插件Zotero 插件浏览器插件Mac 客户端Windows 客户端微信小程序
定价
高级版会员购买积分包购买API积分包
服务
文献检索文档翻译深度研究API 文档MCP 服务
关于我们
关于 Suppr公司介绍联系我们用户协议隐私条款
关注我们

Suppr 超能文献

核心技术专利:CN118964589B侵权必究
粤ICP备2023148730 号-1Suppr @ 2026

文献检索

告别复杂PubMed语法,用中文像聊天一样搜索,搜遍4000万医学文献。AI智能推荐,让科研检索更轻松。

立即免费搜索

文件翻译

保留排版,准确专业,支持PDF/Word/PPT等文件格式,支持 12+语言互译。

免费翻译文档

深度研究

AI帮你快速写综述,25分钟生成高质量综述,智能提取关键信息,辅助科研写作。

立即免费体验

代谢综合征与帕金森病风险:一项全国性队列研究。

Metabolic syndrome and risk of Parkinson disease: A nationwide cohort study.

机构信息

Department of Family Medicine, Sahmyook Medical Center, Seoul, Republic of Korea.

Department of Family Medicine, Korea University Guro Hospital, College of Medicine, Korea University, Seoul, Republic of Korea.

出版信息

PLoS Med. 2018 Aug 21;15(8):e1002640. doi: 10.1371/journal.pmed.1002640. eCollection 2018 Aug.

DOI:10.1371/journal.pmed.1002640
PMID:30130376
原文链接:https://pmc.ncbi.nlm.nih.gov/articles/PMC6103502/
Abstract

BACKGROUND

The association of metabolic syndrome (MetS) with the development of Parkinson disease (PD) is currently unclear. We sought to determine whether MetS and its components are associated with the risk of incident PD using large-scale cohort data for the whole South Korean population.

METHODS AND FINDINGS

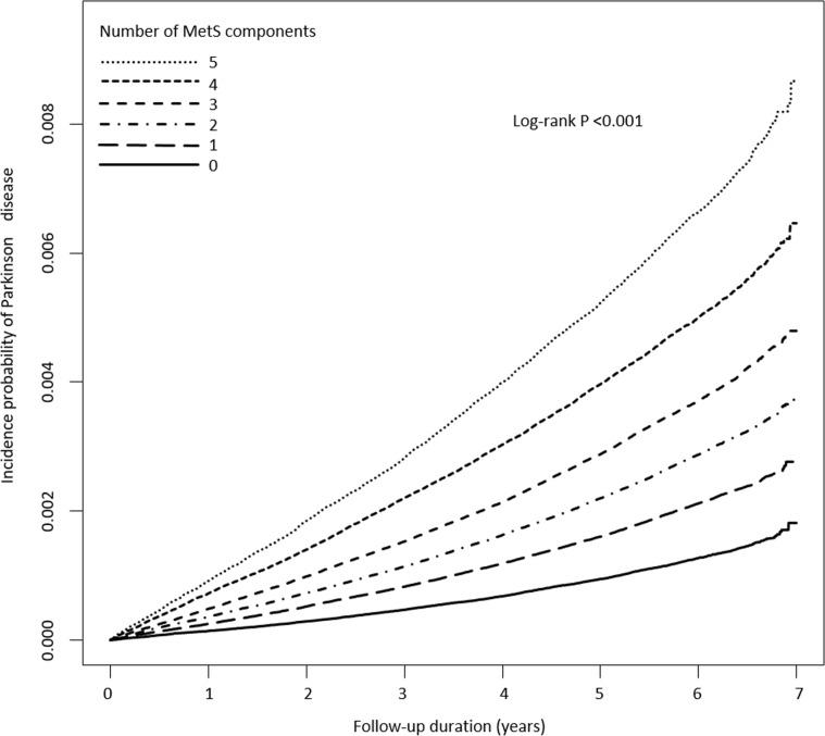
Health checkup data of 17,163,560 individuals aged ≥40 years provided by the National Health Insurance Service (NHIS) of South Korea between January 1, 2009, and December 31, 2012, were included, and participants were followed up until December 31, 2015. The mean follow-up duration was 5.3 years. The hazard ratio (HR) and 95% confidence interval (CI) of PD were estimated using a Cox proportional hazards model adjusted for potential confounders. We identified 44,205 incident PD cases during follow-up. Individuals with MetS (n = 5,848,508) showed an increased risk of PD development compared with individuals without MetS (n = 11,315,052), even after adjusting for potential confounders including age, sex, smoking, alcohol consumption, physical activity, income, body mass index, estimated glomerular filtration rate, and history of stroke (model 3; HR, 95% CI: 1.24, 1.21-1.27). Each MetS component was positively associated with PD risk (HR, 95% CI: 1.13, 1.10-1.16 for abdominal obesity; 1.13, 1.10-1.15 for hypertriglyceridemia; 1.23, 1.20-1.25 for low high-density lipoprotein cholesterol; 1.05, 1.03-1.08 for high blood pressure; 1.21, 1.18-1.23 for hyperglycemia). PD incidence positively correlated with the number of MetS components (log-rank p < 0.001), and we observed a gradual increase in the HR for incident PD with increasing number of components (p < 0.001). A significant interaction between age and MetS on the risk of incident PD was observed (p for interaction < 0.001), and people aged ≥65 years old with MetS showed the highest HR of incident PD of all subgroups compared to those <65 years old without MetS (reference subgroup). Limitations of this study include the possibilities of misdiagnosis of PD and reverse causality.

CONCLUSIONS

Our population-based large-scale cohort study suggests that MetS and its components may be risk factors of PD development.

摘要

背景

代谢综合征(MetS)与帕金森病(PD)的发展之间的关系目前尚不清楚。我们试图通过对整个韩国人群的大规模队列数据来确定 MetS 及其成分是否与 PD 的发病风险相关。

方法和发现

我们纳入了韩国国民健康保险服务(NHIS)在 2009 年 1 月 1 日至 2012 年 12 月 31 日期间提供的 17163560 名年龄≥40 岁的个体的健康检查数据,并对其进行了随访,直至 2015 年 12 月 31 日。使用 Cox 比例风险模型估计 PD 的风险比(HR)和 95%置信区间(CI),并对潜在混杂因素进行了调整。在随访期间,我们共发现 44205 例 PD 病例。与无 MetS 的个体(n=11315052)相比,患有 MetS(n=5848508)的个体 PD 发病风险增加,即使在校正了年龄、性别、吸烟、饮酒、体力活动、收入、体重指数、估算肾小球滤过率和卒中史等潜在混杂因素后(模型 3;HR,95%CI:1.24,1.21-1.27)。每个 MetS 成分与 PD 风险呈正相关(腹型肥胖:HR,95%CI:1.13,1.10-1.16;高甘油三酯血症:HR,95%CI:1.13,1.10-1.15;低高密度脂蛋白胆固醇血症:HR,95%CI:1.23,1.20-1.25;高血压:HR,95%CI:1.05,1.03-1.08;高血糖:HR,1.21,1.18-1.23)。PD 的发病率与 MetS 成分的数量呈正相关(对数秩检验 p<0.001),并且我们观察到随着成分数量的增加,PD 发病的 HR 逐渐增加(p<0.001)。年龄和 MetS 对 PD 发病风险的交互作用具有统计学意义(p<0.001),与<65 岁无 MetS 的人群相比,≥65 岁有 MetS 的人群发生 PD 的 HR 最高(参考亚组)。本研究的局限性包括 PD 诊断的可能性和反向因果关系。

结论

我们的基于人群的大规模队列研究表明,MetS 及其成分可能是 PD 发展的危险因素。

https://cdn.ncbi.nlm.nih.gov/pmc/blobs/731c/6103502/575075c94c0a/pmed.1002640.g002.jpg
https://cdn.ncbi.nlm.nih.gov/pmc/blobs/731c/6103502/8f3a4c86ba16/pmed.1002640.g001.jpg
https://cdn.ncbi.nlm.nih.gov/pmc/blobs/731c/6103502/575075c94c0a/pmed.1002640.g002.jpg
https://cdn.ncbi.nlm.nih.gov/pmc/blobs/731c/6103502/8f3a4c86ba16/pmed.1002640.g001.jpg
https://cdn.ncbi.nlm.nih.gov/pmc/blobs/731c/6103502/575075c94c0a/pmed.1002640.g002.jpg

相似文献

1
Metabolic syndrome and risk of Parkinson disease: A nationwide cohort study.代谢综合征与帕金森病风险:一项全国性队列研究。
PLoS Med. 2018 Aug 21;15(8):e1002640. doi: 10.1371/journal.pmed.1002640. eCollection 2018 Aug.
2
Association between metabolic syndrome and incidence of ocular motor nerve palsy.代谢综合征与动眼神经麻痹发病率之间的关联。
Sci Rep. 2021 Nov 29;11(1):23033. doi: 10.1038/s41598-021-02517-3.
3
Evaluation of the association between periodontitis and risk of Parkinson's disease: a nationwide retrospective cohort study.牙周炎与帕金森病风险相关性的评估:一项全国性回顾性队列研究。
Sci Rep. 2021 Aug 16;11(1):16594. doi: 10.1038/s41598-021-96147-4.
4
Metabolic Syndrome and Parkinson's Disease Incidence: A Nationwide Study Using Propensity Score Matching.代谢综合征与帕金森病发病风险的关系:基于倾向评分匹配的全国性研究
Metab Syndr Relat Disord. 2021 Feb;19(1):1-7. doi: 10.1089/met.2020.0060. Epub 2020 Sep 1.
5
Dairy product intake is inversely associated with metabolic syndrome in Korean adults: Anseong and Ansan cohort of the Korean Genome and Epidemiology Study.乳制品摄入与韩国成年人代谢综合征呈负相关:韩国基因与流行病学研究的安城和安山队列研究。
J Korean Med Sci. 2013 Oct;28(10):1482-8. doi: 10.3346/jkms.2013.28.10.1482. Epub 2013 Sep 25.
6
Components of metabolic syndrome and their relation to the risk of incident cerebral infarction.代谢综合征的组成部分及其与脑梗死事件风险的关系。
Endocr J. 2021 Mar 28;68(3):253-259. doi: 10.1507/endocrj.EJ20-0486. Epub 2020 Oct 10.
7
Metabolic Syndrome and the Risk of Thyroid Cancer: A Nationwide Population-Based Cohort Study.代谢综合征与甲状腺癌风险:一项全国范围内基于人群的队列研究。
Thyroid. 2020 Oct;30(10):1496-1504. doi: 10.1089/thy.2019.0699. Epub 2020 Jul 15.
8
The severity of periodontitis and metabolic syndrome in Korean population: The Dong-gu study.韩国人群中牙周炎和代谢综合征的严重程度:Dong-gu 研究。
J Periodontal Res. 2018 Jun;53(3):362-368. doi: 10.1111/jre.12521. Epub 2017 Dec 10.
9
[Association between lifestyle factors assessed by standard question items of specific health checkup and the incidence of metabolic syndrome and hypertension in community dwellers: A five-year cohort study of National Health Insurance beneficiaries in Habikino City].[通过特定健康检查的标准问题项目评估的生活方式因素与社区居民代谢综合征和高血压发病率之间的关联:羽曳野市国民健康保险受益人的五年队列研究]
Nihon Koshu Eisei Zasshi. 2017;64(5):258-269. doi: 10.11236/jph.64.5_258.
10
Chronic medical conditions and metabolic syndrome as risk factors for incidence of major depressive disorder: A longitudinal study based on 4.7 million adults in South Korea.慢性疾病和代谢综合征作为发生重度抑郁症的风险因素:基于韩国 470 万成年人的纵向研究。
J Affect Disord. 2019 Oct 1;257:486-494. doi: 10.1016/j.jad.2019.07.003. Epub 2019 Jul 2.

引用本文的文献

1
Updates on Parkinson's Disease.帕金森病的最新进展
Neuropsychiatr Dis Treat. 2025 Sep 4;21:1945-1953. doi: 10.2147/NDT.S540718. eCollection 2025.
2
Multiomic Analysis Reveals Molecular Pathways Associated with Intestinal Aggregation of α-Synuclein.多组学分析揭示与α-突触核蛋白肠道聚集相关的分子途径。
bioRxiv. 2025 Aug 30:2025.08.27.672706. doi: 10.1101/2025.08.27.672706.
3
Metabolic Syndrome and Incidence of Parkinson Disease: A Community-Based Longitudinal Study and Meta-Analysis.代谢综合征与帕金森病发病率:一项基于社区的纵向研究及荟萃分析

本文引用的文献

1
Estimating the causal influence of body mass index on risk of Parkinson disease: A Mendelian randomisation study.评估体重指数对帕金森病风险的因果影响:一项孟德尔随机化研究。
PLoS Med. 2017 Jun 13;14(6):e1002314. doi: 10.1371/journal.pmed.1002314. eCollection 2017 Jun.
2
Mitochondrial dysfunction and oxidative stress in metabolic disorders - A step towards mitochondria based therapeutic strategies.代谢紊乱中的线粒体功能障碍和氧化应激——迈向基于线粒体的治疗策略的一步。
Biochim Biophys Acta Mol Basis Dis. 2017 May;1863(5):1066-1077. doi: 10.1016/j.bbadis.2016.11.010. Epub 2016 Nov 9.
3
The epidemiology of Parkinson's disease: risk factors and prevention.
Neurology. 2025 Sep 23;105(6):e214033. doi: 10.1212/WNL.0000000000214033. Epub 2025 Aug 20.
4
Branched-Chain Amino Acids in Parkinson's Disease: Molecular Mechanisms and Therapeutic Potential.帕金森病中的支链氨基酸:分子机制与治疗潜力
Int J Mol Sci. 2025 Jul 21;26(14):6992. doi: 10.3390/ijms26146992.
5
Metabolic Syndrome and Parkinson's Disease: Two Villains Join Forces.代谢综合征与帕金森病:两大“反派”联手
Brain Sci. 2025 Jun 30;15(7):706. doi: 10.3390/brainsci15070706.
6
Lower prevalence of metabolic syndrome and its components in the prediagnostic phase of Parkinson's disease.帕金森病诊断前阶段代谢综合征及其组分的患病率较低。
NPJ Parkinsons Dis. 2025 Jun 4;11(1):147. doi: 10.1038/s41531-025-01003-1.
7
Exploring Risk and Protective Factors in Parkinson's Disease.探索帕金森病的风险因素和保护因素。
Cells. 2025 May 14;14(10):710. doi: 10.3390/cells14100710.
8
The role of geriatric nutritional risk index in predicting survival of type B aortic dissection patients after thoracic endovascular aortic repair.老年营养风险指数在预测B型主动脉夹层患者胸主动脉腔内修复术后生存情况中的作用。
J Nutr Health Aging. 2025 May 14;29(7):100572. doi: 10.1016/j.jnha.2025.100572.
9
OAB-14 Attenuated Glymphatic System Disorder, Neuroinflammation and Dyskinesia in Parkinson's Disease Model Mice Induced by Rotenone.OAB - 14减轻鱼藤酮诱导的帕金森病模型小鼠的类淋巴系统紊乱、神经炎症和运动障碍。
Neurochem Res. 2025 Apr 12;50(2):142. doi: 10.1007/s11064-025-04388-w.
10
The Acari Hypothesis, VII: accounting for the comorbidity of allergy with other contemporary medical conditions, especially metabolic syndrome.螨类假说,VII:解释过敏与其他当代医学病症(尤其是代谢综合征)的共病现象。
Front Allergy. 2025 Mar 27;6:1537467. doi: 10.3389/falgy.2025.1537467. eCollection 2025.
帕金森病的流行病学:危险因素和预防。
Lancet Neurol. 2016 Nov;15(12):1257-1272. doi: 10.1016/S1474-4422(16)30230-7. Epub 2016 Oct 11.
4
Insulin resistance and Parkinson's disease: A new target for disease modification?胰岛素抵抗与帕金森病:疾病修饰的新靶点?
Prog Neurobiol. 2016 Oct-Nov;145-146:98-120. doi: 10.1016/j.pneurobio.2016.10.001. Epub 2016 Oct 3.
5
Statin Use and the Risk of Parkinson's Disease: An Updated Meta-Analysis.他汀类药物的使用与帕金森病风险:一项更新的荟萃分析。
PLoS One. 2016 Mar 28;11(3):e0152564. doi: 10.1371/journal.pone.0152564. eCollection 2016.
6
Introduction to the Analysis of Survival Data in the Presence of Competing Risks.存在竞争风险时生存数据的分析导论
Circulation. 2016 Feb 9;133(6):601-9. doi: 10.1161/CIRCULATIONAHA.115.017719.
7
Prospective study on the components of metabolic syndrome and the incidence of Parkinson's disease.代谢综合征各组分与帕金森病发病率的前瞻性研究。
Parkinsonism Relat Disord. 2015 Oct;21(10):1148-55. doi: 10.1016/j.parkreldis.2015.07.017. Epub 2015 Jul 21.
8
Biological factors underlying sex differences in neurological disorders.神经系统疾病中性别差异的生物学因素。
Int J Biochem Cell Biol. 2015 Aug;65:139-50. doi: 10.1016/j.biocel.2015.05.024. Epub 2015 May 28.
9
2014 clinical practice guidelines for overweight and obesity in Korea.2014 年韩国超重和肥胖临床实践指南。
Endocrinol Metab (Seoul). 2014 Dec 29;29(4):405-9. doi: 10.3803/EnM.2014.29.4.405.
10
Cardiovascular risk factors and the risk of Parkinson's disease.心血管危险因素与帕金森病风险
Eur J Clin Nutr. 2015 Jun;69(6):729-33. doi: 10.1038/ejcn.2014.259. Epub 2014 Dec 17.