CMR Unit, Royal Brompton Hospital and NIHR Biomedical Research Unit, Royal Brompton and Harefield Hospitals, London, United Kingdom.
Norwich Medical School, University of East Anglia, Bob Champion Research & Education Building and Norfolk and Norwich University Hospital, Norwich, United Kingdom.
Sci Rep. 2018 Sep 28;8(1):14550. doi: 10.1038/s41598-018-32738-y.
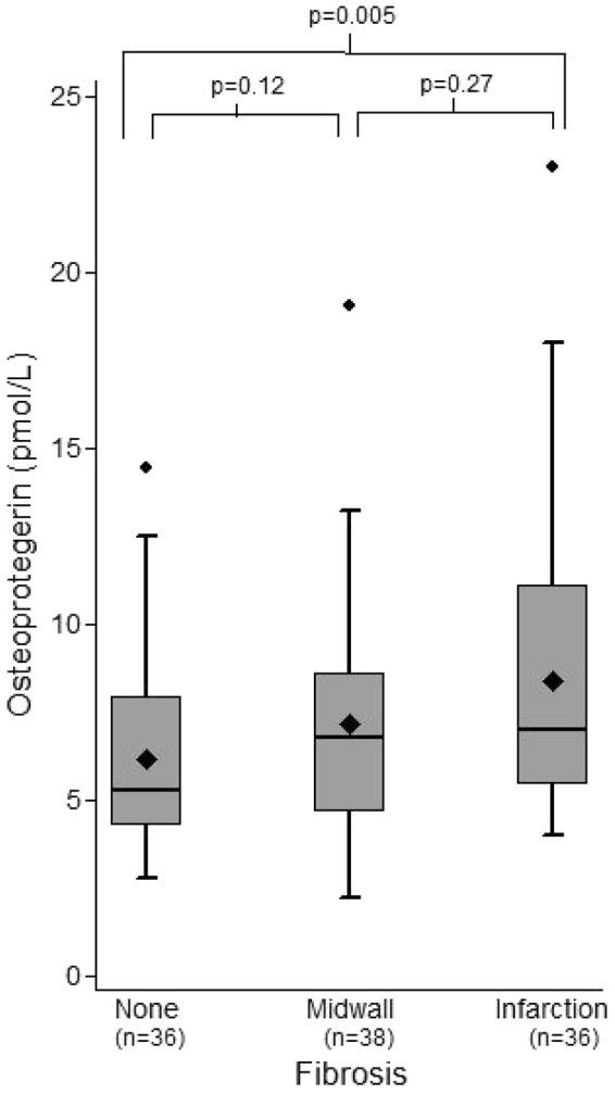
Left ventricular myocardial fibrosis in patients with aortic stenosis (AS) confers worse prognosis. Plasma osteoprotegerin (OPG), a cytokine from the TNF receptor family, correlates with the degree of valve calcification in AS, reflecting the activity of the tissue RANKL/RANK/OPG (receptor activator of nuclear factor κΒ ligand/RANK/osteoprotegerin) axis, and is associated with poorer outcomes in AS. Its association with myocardial fibrosis is unknown. We hypothesised that OPG levels would reflect the extent of myocardial fibrosis in AS. We included 110 consecutive patients with AS who had undergone late-gadolinium contrast enhanced cardiovascular magnetic resonance (LGE-CMR). Patients were characterised according to pattern of fibrosis (no fibrosis, midwall fibrosis, or chronic myocardial infarction fibrosis). Serum OPG was measured with ELISA and compared between groups defined by valve stenosis severity. Some 36 patients had no fibrosis, 38 had midwall fibrosis, and 36 had chronic infarction. Patients with midwall fibrosis did not have higher levels of OPG compared to those without fibrosis (6.78 vs. 5.25 pmol/L, p = 0.12). There was no difference between those with midwall or chronic myocardial infarction fibrosis (6.78 vs. 6.97 pmol/L, p = 0.27). However, OPG levels in patients with chronic myocardial infarction fibrosis were significantly higher than those without fibrosis (p = 0.005).
左心室心肌纤维化在主动脉瓣狭窄(AS)患者中预后更差。血浆护骨素(OPG)是肿瘤坏死因子受体家族的一种细胞因子,与 AS 中瓣膜钙化程度相关,反映了组织 RANKL/RANK/OPG(核因子κB 配体受体激活剂/RANK/护骨素)轴的活性,并与 AS 的不良预后相关。但其与心肌纤维化的关系尚不清楚。我们假设 OPG 水平将反映 AS 中心肌纤维化的程度。我们纳入了 110 例连续接受晚期钆对比增强心血管磁共振(LGE-CMR)检查的 AS 患者。根据纤维化模式(无纤维化、中膜纤维化或慢性心肌梗死纤维化)对患者进行特征描述。采用 ELISA 法检测血清 OPG 水平,并比较按瓣膜狭窄严重程度定义的组间差异。约 36 例患者无纤维化,38 例患者有中膜纤维化,36 例患者有慢性梗死。与无纤维化患者相比,中膜纤维化患者的 OPG 水平并未升高(6.78 比 5.25 pmol/L,p=0.12)。中膜或慢性心肌梗死纤维化患者之间无差异(6.78 比 6.97 pmol/L,p=0.27)。然而,慢性心肌梗死纤维化患者的 OPG 水平明显高于无纤维化患者(p=0.005)。