Suppr超能文献

预测心脏手术后急性肾损伤的机器学习方法的推导与验证

Derivation and Validation of Machine Learning Approaches to Predict Acute Kidney Injury after Cardiac Surgery.

作者信息

Lee Hyung-Chul, Yoon Hyun-Kyu, Nam Karam, Cho Youn Joung, Kim Tae Kyong, Kim Won Ho, Bahk Jae-Hyon

机构信息

Department of Anesthesiology and Pain Medicine, Seoul National University Hospital, Seoul National University College of Medicine, Seoul 03080, Korea.

出版信息

J Clin Med. 2018 Oct 3;7(10):322. doi: 10.3390/jcm7100322.

Abstract

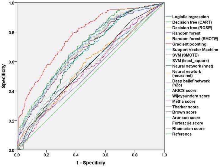
Machine learning approaches were introduced for better or comparable predictive ability than statistical analysis to predict postoperative outcomes. We sought to compare the performance of machine learning approaches with that of logistic regression analysis to predict acute kidney injury after cardiac surgery. We retrospectively reviewed 2010 patients who underwent open heart surgery and thoracic aortic surgery. Baseline medical condition, intraoperative anesthesia, and surgery-related data were obtained. The primary outcome was postoperative acute kidney injury (AKI) defined according to the Kidney Disease Improving Global Outcomes criteria. The following machine learning techniques were used: decision tree, random forest, extreme gradient boosting, support vector machine, neural network classifier, and deep learning. The performance of these techniques was compared with that of logistic regression analysis regarding the area under the receiver-operating characteristic curve (AUC). During the first postoperative week, AKI occurred in 770 patients (38.3%). The best performance regarding AUC was achieved by the gradient boosting machine to predict the AKI of all stages (0.78, 95% confidence interval (CI) 0.75⁻0.80) or stage 2 or 3 AKI. The AUC of logistic regression analysis was 0.69 (95% CI 0.66⁻0.72). Decision tree, random forest, and support vector machine showed similar performance to logistic regression. In our comprehensive comparison of machine learning approaches with logistic regression analysis, gradient boosting technique showed the best performance with the highest AUC and lower error rate. We developed an Internet⁻based risk estimator which could be used for real-time processing of patient data to estimate the risk of AKI at the end of surgery.

摘要

为了获得比统计分析更好或相当的预测能力以预测术后结果,引入了机器学习方法。我们试图比较机器学习方法与逻辑回归分析在预测心脏手术后急性肾损伤方面的性能。我们回顾性分析了2010例接受心脏直视手术和胸主动脉手术的患者。收集了基线医疗状况、术中麻醉和手术相关数据。主要结局是根据改善全球肾脏病预后组织(KDIGO)标准定义的术后急性肾损伤(AKI)。使用了以下机器学习技术:决策树、随机森林、极端梯度提升、支持向量机、神经网络分类器和深度学习。将这些技术的性能与逻辑回归分析在受试者操作特征曲线(AUC)下面积方面的性能进行了比较。术后第一周,770例患者(38.3%)发生了AKI。梯度提升机在预测所有阶段的AKI(0.78,95%置信区间(CI)0.75⁻0.80)或2期或3期AKI方面的AUC表现最佳。逻辑回归分析的AUC为0.69(95%CI 0.66⁻0.72)。决策树、随机森林和支持向量机的表现与逻辑回归相似。在我们对机器学习方法与逻辑回归分析的综合比较中,梯度提升技术表现最佳,AUC最高且错误率较低。我们开发了一种基于互联网的风险评估器,可用于实时处理患者数据,以估计手术结束时AKI的风险。

https://cdn.ncbi.nlm.nih.gov/pmc/blobs/a6b2/6210196/df50d1d3b8f8/jcm-07-00322-g001.jpg

文献检索

告别复杂PubMed语法,用中文像聊天一样搜索,搜遍4000万医学文献。AI智能推荐,让科研检索更轻松。

立即免费搜索

文件翻译

保留排版,准确专业,支持PDF/Word/PPT等文件格式,支持 12+语言互译。

免费翻译文档

深度研究

AI帮你快速写综述,25分钟生成高质量综述,智能提取关键信息,辅助科研写作。

立即免费体验