Suppr超能文献

基于模型和无模型机器学习技术在帕金森病临床结局的诊断预测和分类中的应用。

Model-based and Model-free Machine Learning Techniques for Diagnostic Prediction and Classification of Clinical Outcomes in Parkinson's Disease.

机构信息

Statistics Online Computational Resource, Department of Health Behavior and Biological Sciences, University of Michigan, Ann Arbor, MI, United States.

Department of Biostatistics, University of Michigan, Ann Arbor, MI, United States.

出版信息

Sci Rep. 2018 May 8;8(1):7129. doi: 10.1038/s41598-018-24783-4.

Abstract

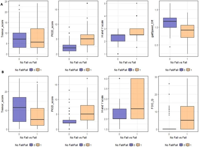
In this study, we apply a multidisciplinary approach to investigate falls in PD patients using clinical, demographic and neuroimaging data from two independent initiatives (University of Michigan and Tel Aviv Sourasky Medical Center). Using machine learning techniques, we construct predictive models to discriminate fallers and non-fallers. Through controlled feature selection, we identified the most salient predictors of patient falls including gait speed, Hoehn and Yahr stage, postural instability and gait difficulty-related measurements. The model-based and model-free analytical methods we employed included logistic regression, random forests, support vector machines, and XGboost. The reliability of the forecasts was assessed by internal statistical (5-fold) cross validation as well as by external out-of-bag validation. Four specific challenges were addressed in the study: Challenge 1, develop a protocol for harmonizing and aggregating complex, multisource, and multi-site Parkinson's disease data; Challenge 2, identify salient predictive features associated with specific clinical traits, e.g., patient falls; Challenge 3, forecast patient falls and evaluate the classification performance; and Challenge 4, predict tremor dominance (TD) vs. posture instability and gait difficulty (PIGD). Our findings suggest that, compared to other approaches, model-free machine learning based techniques provide a more reliable clinical outcome forecasting of falls in Parkinson's patients, for example, with a classification accuracy of about 70-80%.

摘要

在这项研究中,我们应用多学科方法,使用来自两个独立计划(密歇根大学和特拉维夫索拉斯基医学中心)的临床、人口统计学和神经影像学数据来研究 PD 患者的跌倒情况。我们使用机器学习技术构建预测模型来区分跌倒者和非跌倒者。通过受控特征选择,我们确定了最能预测患者跌倒的因素,包括步态速度、Hoehn 和 Yahr 分期、姿势不稳和与步态困难相关的测量。我们采用的基于模型和无模型分析方法包括逻辑回归、随机森林、支持向量机和 XGboost。预测的可靠性通过内部统计(5 折)交叉验证以及外部袋外验证来评估。该研究解决了四个具体挑战:挑战 1,制定了一个协调和聚合复杂、多源和多站点帕金森病数据的协议;挑战 2,确定与特定临床特征相关的显著预测特征,例如患者跌倒;挑战 3,预测患者跌倒并评估分类性能;挑战 4,预测震颤优势(TD)与姿势不稳和步态困难(PIGD)。我们的研究结果表明,与其他方法相比,基于无模型机器学习的技术为帕金森病患者跌倒的临床结果提供了更可靠的预测,例如,分类准确率约为 70-80%。

https://cdn.ncbi.nlm.nih.gov/pmc/blobs/45bc/5940671/5d5c06167f35/41598_2018_24783_Fig1_HTML.jpg

文献AI研究员

20分钟写一篇综述,助力文献阅读效率提升50倍。

立即体验

用中文搜PubMed

大模型驱动的PubMed中文搜索引擎

马上搜索

文档翻译

学术文献翻译模型,支持多种主流文档格式。

立即体验