Suppr超能文献

基于壳聚糖的药物递送纳米材料。

Chitosan-Based Nanomaterials for Drug Delivery.

机构信息

Key Laboratory of Marine Drugs, Ministry of Education & Shandong Provincial Key Laboratory of Glycoscience and Glycotechnology, School of Medicine and Pharmacy, Ocean University of China, Qingdao 266003, China.

Laboratory for Marine Drugs and Bioproducts, Qingdao National Laboratory for Marine Science and Technology, Qingdao 266237, China.

出版信息

Molecules. 2018 Oct 16;23(10):2661. doi: 10.3390/molecules23102661.

Abstract

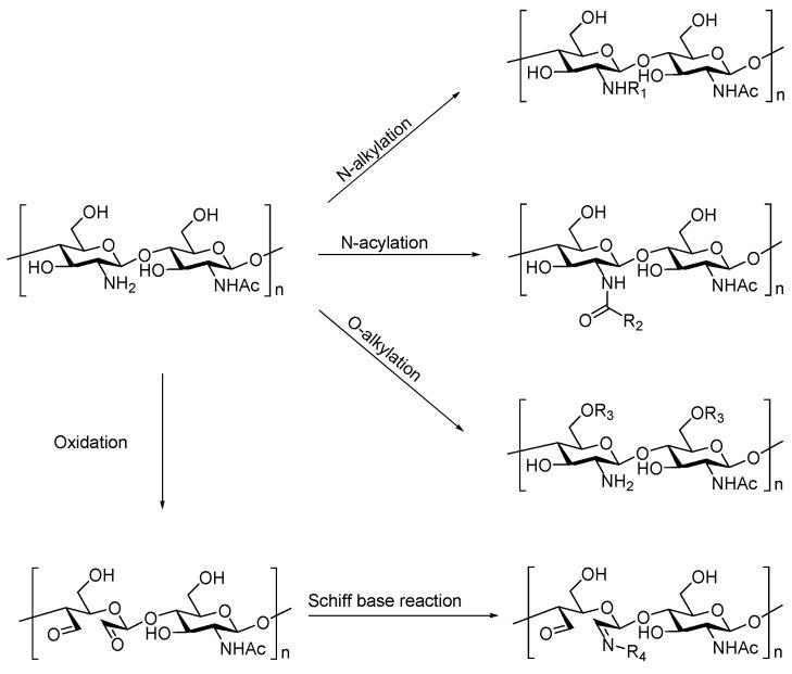
This review discusses different forms of nanomaterials generated from chitosan and its derivatives for controlled drug delivery. Nanomaterials are drug carriers with multiple features, including target delivery triggered by environmental, pH, thermal responses, enhanced biocompatibility, and the ability to cross the blood-brain barrier. Chitosan (CS), a natural polysaccharide largely obtained from marine crustaceans, is a promising drug delivery vector for therapeutics and diagnostics, owing to its biocompatibility, biodegradability, low toxicity, and structural variability. This review describes various approaches to obtain novel CS derivatives, including their distinct advantages, as well as different forms of nanomaterials recently developed from CS. The advanced applications of CS-based nanomaterials are presented here in terms of their specific functions. Recent studies have proven that nanotechnology combined with CS and its derivatives could potentially circumvent obstacles in the transport of drugs thereby improving the drug efficacy. CS-based nanomaterials have been shown to be highly effective in targeted drug therapy.

摘要

这篇综述讨论了壳聚糖及其衍生物衍生的用于控制药物释放的不同形式的纳米材料。纳米材料是具有多种特性的药物载体,包括环境、pH 值、热响应触发的靶向递送、增强的生物相容性以及穿透血脑屏障的能力。壳聚糖(CS)是一种天然多糖,主要从海洋甲壳类动物中获得,由于其生物相容性、可生物降解性、低毒性和结构可变性,是治疗和诊断的有前途的药物输送载体。本综述描述了获得新型 CS 衍生物的各种方法,包括它们的独特优势,以及最近从 CS 开发的不同形式的纳米材料。根据其特定功能介绍了基于 CS 的纳米材料的先进应用。最近的研究证明,纳米技术与 CS 及其衍生物的结合有可能克服药物运输中的障碍,从而提高药物疗效。基于 CS 的纳米材料已被证明在靶向药物治疗中非常有效。

https://cdn.ncbi.nlm.nih.gov/pmc/blobs/fa74/6222903/71ac7b751786/molecules-23-02661-g001.jpg

文献检索

告别复杂PubMed语法,用中文像聊天一样搜索,搜遍4000万医学文献。AI智能推荐,让科研检索更轻松。

立即免费搜索

文件翻译

保留排版,准确专业,支持PDF/Word/PPT等文件格式,支持 12+语言互译。

免费翻译文档

深度研究

AI帮你快速写综述,25分钟生成高质量综述,智能提取关键信息,辅助科研写作。

立即免费体验