MRC-PHE Centre for Environment and Health, Imperial College London, London, United Kingdom.
Department of Epidemiology and Biostatistics, School of Public Health, Imperial College London, London, United Kingdom.
Elife. 2018 Oct 30;7:e35500. doi: 10.7554/eLife.35500.
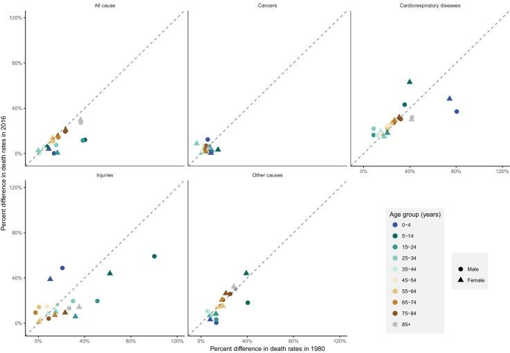
In temperate climates, winter deaths exceed summer ones. However, there is limited information on the timing and the relative magnitudes of maximum and minimum mortality, by local climate, age group, sex and medical cause of death. We used geo-coded mortality data and wavelets to analyse the seasonality of mortality by age group and sex from 1980 to 2016 in the USA and its subnational climatic regions. Death rates in men and women ≥ 45 years peaked in December to February and were lowest in June to August, driven by cardiorespiratory diseases and injuries. In these ages, percent difference in death rates between peak and minimum months did not vary across climate regions, nor changed from 1980 to 2016. Under five years, seasonality of all-cause mortality largely disappeared after the 1990s. In adolescents and young adults, especially in males, death rates peaked in June/July and were lowest in December/January, driven by injury deaths.
在温带气候中,冬季的死亡人数超过夏季。然而,关于当地气候、年龄组、性别和死亡原因的最高和最低死亡率的时间和相对幅度的信息有限。我们使用地理编码的死亡率数据和小波分析,分析了 1980 年至 2016 年美国及其国家气候区域按年龄组和性别划分的死亡率季节性。45 岁及以上男性和女性的死亡率峰值出现在 12 月至 2 月,最低值出现在 6 月至 8 月,主要由心肺疾病和伤害导致。在这些年龄段,死亡率峰值和最低月份之间的百分比差异在气候区域之间没有差异,也没有从 1980 年到 2016 年发生变化。5 岁以下儿童的全因死亡率季节性在 20 世纪 90 年代后基本消失。在青少年和年轻人中,尤其是男性,死亡率峰值出现在 6 月/7 月,最低值出现在 12 月/1 月,主要由伤害导致的死亡导致。