Suppr超能文献

布雷尔氏疏螺旋体属再研究。

The genus Borrelia reloaded.

机构信息

Bavarian Health and Food Safety Authority and National Reference Center for Borrelia, Oberschleissheim, Germany.

Vector & Waterborne Pathogens Research Group, School of Veterinary & Life Sciences, Murdoch University, South St, Murdoch, Australia.

出版信息

PLoS One. 2018 Dec 26;13(12):e0208432. doi: 10.1371/journal.pone.0208432. eCollection 2018.

Abstract

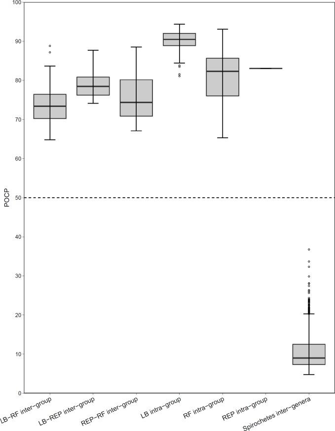
The genus Borrelia, originally described by Swellengrebel in 1907, contains tick- or louse-transmitted spirochetes belonging to the relapsing fever (RF) group of spirochetes, the Lyme borreliosis (LB) group of spirochetes and spirochetes that form intermittent clades. In 2014 it was proposed that the genus Borrelia should be separated into two genera; Borrelia Swellengrebel 1907 emend. Adeolu and Gupta 2014 containing RF spirochetes and Borreliella Adeolu and Gupta 2014 containing LB group of spirochetes. In this study we conducted an analysis based on a method that is suitable for bacterial genus demarcation, the percentage of conserved proteins (POCP). We included RF group species, LB group species and two species belonging to intermittent clades, Borrelia turcica Güner et al. 2004 and Candidatus Borrelia tachyglossi Loh et al. 2017. These analyses convincingly showed that all groups of spirochetes belong into one genus and we propose to emend, and re-unite all groups in, the genus Borrelia.

摘要

博莱氏菌属,最初由斯威伦格伦贝尔于 1907 年描述,包含蜱或虱传播的螺旋体,属于回归热(RF)组螺旋体、莱姆病(LB)组螺旋体和形成间歇性进化枝的螺旋体。2014 年,有人提出博莱氏菌属应分为两个属;博莱氏菌属斯威伦格伦贝尔 1907 年修正,阿德奥卢和古普塔 2014 年包含 RF 螺旋体和伯氏菌属阿德奥卢和古普塔 2014 年包含 LB 组螺旋体。在本研究中,我们基于一种适用于细菌属划分的方法,即保守蛋白百分比(POCP)进行了分析。我们包括 RF 组物种、LB 组物种以及属于间歇性进化枝的两个物种,即土耳其博莱氏菌 Güner 等人 2004 年和候选博莱氏菌 tachyglossiLoh 等人 2017 年。这些分析令人信服地表明,所有螺旋体群都属于一个属,我们建议对博莱氏菌属进行修正,并重新将所有群归为博莱氏菌属。

https://cdn.ncbi.nlm.nih.gov/pmc/blobs/e6db/6306154/772dbb8542ff/pone.0208432.g001.jpg

文献AI研究员

20分钟写一篇综述,助力文献阅读效率提升50倍。

立即体验

用中文搜PubMed

大模型驱动的PubMed中文搜索引擎

马上搜索

文档翻译

学术文献翻译模型,支持多种主流文档格式。

立即体验