Suppr超能文献

球虫疫苗开发中前景广阔的植物源佐剂

Promising Plant-Derived Adjuvants in the Development of Coccidial Vaccines.

作者信息

Sander Valeria A, Corigliano Mariana G, Clemente Marina

机构信息

Unidad de Biotecnología 6-UB6, Instituto Tecnológico Chascomús (INTECh), Consejo Nacional de Investigaciones Científicas y Técnicas (CONICET)-Universidad Nacional de General San Martín (UNSAM), Chascomús, Argentina.

出版信息

Front Vet Sci. 2019 Feb 12;6:20. doi: 10.3389/fvets.2019.00020. eCollection 2019.

Abstract

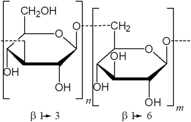
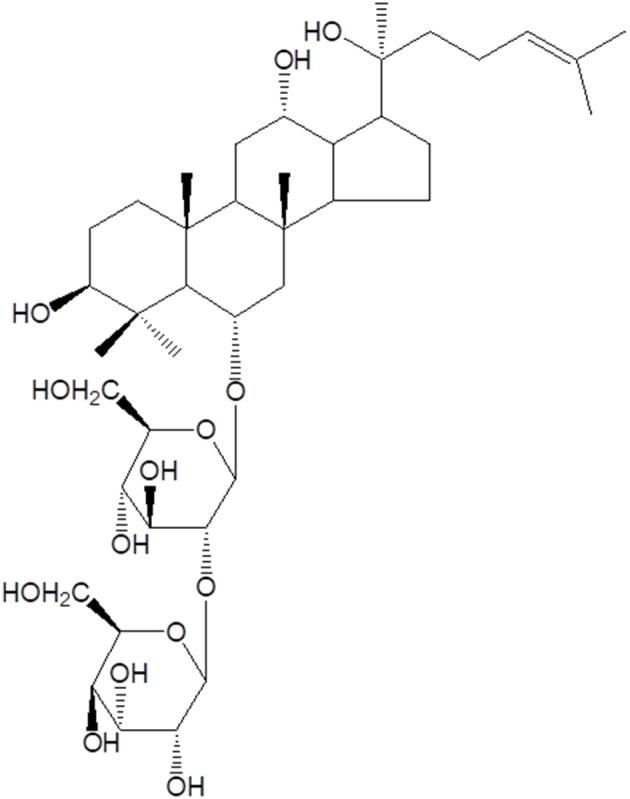
Coccidial parasites cause medical and veterinary diseases worldwide, frequently leading to severe illness and important economic losses. At present, drugs, chemotherapeutics and prophylactic vaccines are still missing for most of the coccidial infections. Moreover, the development and administration of drugs and chemotherapeutics against these diseases would not be adequate in livestock, since they may generate unacceptable residues in milk and meat that would avoid their commercialization. In this scenario, prophylactic vaccines emerge as the most suitable approach. Subunit vaccines have proven to be biologically safe and economically viable, allowing researchers to choose among the best antigens against each pathogen. However, they are generally poorly immunogenic and require the addition of adjuvant compounds to the vaccine formulation. During the last decades, research involving plant immunomodulatory compounds has become an important field of study based on their potential pharmaceutical applications. Some plant molecules such as saponins, polysaccharides, lectins and heat shock proteins are being explored as candidates for adjuvant/carriers formulations. Moreover, plant-derived immune stimulatory compounds open the possibility to attain the main goal in adjuvant research: a safe and non-toxic adjuvant capable of strongly boosting and directing immune responses that could be incorporated into different vaccine formulations, including mucosal vaccines. Here, we review the immunomodulatory properties of several plant molecules and discuss their application and future perspective as adjuvants in the development of vaccines against coccidial infections.

摘要

球虫寄生虫在全球范围内引发医学和兽医学疾病,常常导致严重疾病和重大经济损失。目前,大多数球虫感染仍缺乏药物、化学治疗剂和预防性疫苗。此外,针对这些疾病的药物和化学治疗剂在牲畜中的开发和应用并不充分,因为它们可能在牛奶和肉类中产生不可接受的残留,从而影响其商业化。在这种情况下,预防性疫苗成为最合适的方法。亚单位疫苗已被证明具有生物安全性和经济可行性,使研究人员能够从针对每种病原体的最佳抗原中进行选择。然而,它们通常免疫原性较差,需要在疫苗配方中添加佐剂化合物。在过去几十年中,基于植物免疫调节化合物的潜在药物应用,相关研究已成为一个重要的研究领域。一些植物分子,如皂苷、多糖、凝集素和热休克蛋白,正被探索作为佐剂/载体配方的候选物。此外,植物来源的免疫刺激化合物为实现佐剂研究的主要目标提供了可能性:一种安全无毒的佐剂,能够强烈增强和引导免疫反应,并可纳入不同的疫苗配方,包括黏膜疫苗。在此,我们综述了几种植物分子的免疫调节特性,并讨论了它们作为佐剂在抗球虫感染疫苗开发中的应用及未来前景。

https://cdn.ncbi.nlm.nih.gov/pmc/blobs/ccad/6379251/347e38a4498f/fvets-06-00020-g0001.jpg

文献检索

告别复杂PubMed语法,用中文像聊天一样搜索,搜遍4000万医学文献。AI智能推荐,让科研检索更轻松。

立即免费搜索

文件翻译

保留排版,准确专业,支持PDF/Word/PPT等文件格式,支持 12+语言互译。

免费翻译文档

深度研究

AI帮你快速写综述,25分钟生成高质量综述,智能提取关键信息,辅助科研写作。

立即免费体验