Technological Institute of Materials (ITM), Universitat Politècnica de València (UPV), Plaza Ferrándiz y Carbonell 1, 03801 Alcoy, Spain.
Novel Materials and Nanotechnology Group, Institute of Agrochemistry and Food Technology (IATA), Spanish National Research Council (CSIC), Calle Catedrático Agustín Escardino Benlloch 7, 46980 Paterna, Spain.
Int J Mol Sci. 2019 Mar 19;20(6):1378. doi: 10.3390/ijms20061378.
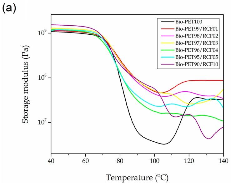
This study presents the valorization of cotton waste from the textile industry for the development of sustainable and cost-competitive biopolymer composites. The as-received linter of recycled cotton was first chopped to obtain short fibers, called recycled cotton fibers (RCFs), which were thereafter melt-compounded in a twin-screw extruder with partially bio-based polyethylene terephthalate (bio-PET) and shaped into pieces by injection molding. It was observed that the incorporation of RCF, in the 1⁻10 wt% range, successfully increased rigidity and hardness of bio-PET. However, particularly at the highest fiber contents, the ductility and toughness of the pieces were considerably impaired due to the poor interfacial adhesion of the fibers to the biopolyester matrix. Interestingly, RCF acted as an effective nucleating agent for the bio-PET crystallization and it also increased thermal resistance. In addition, the overall dimensional stability of the pieces was improved as a function of the fiber loading. Therefore, bio-PET pieces containing 3⁻5 wt% RCF presented very balanced properties in terms of mechanical strength, toughness, and thermal resistance. The resultant biopolymer composite pieces can be of interest in rigid food packaging and related applications, contributing positively to the optimization of the integrated biorefinery system design and also to the valorization of textile wastes.
本研究提出了一种从纺织工业中回收棉废料的方法,用于开发可持续且具有成本竞争力的生物聚合物复合材料。首先将回收棉的原棉切成短纤维,称为回收棉纤维(RCF),然后将其在双螺杆挤出机中与部分生物基聚对苯二甲酸乙二醇酯(bio-PET)共混熔融,并通过注塑成型制成块状。研究结果表明,在 1⁻10 wt%范围内添加 RCF 可成功提高 bio-PET 的刚性和硬度。然而,特别是在纤维含量最高的情况下,由于纤维与生物聚酯基体之间的界面附着力差,这些制品的延展性和韧性会大大受损。有趣的是,RCF 可作为 bio-PET 结晶的有效成核剂,并提高其耐热性。此外,随着纤维负载量的增加,这些制品的整体尺寸稳定性也得到了改善。因此,含有 3⁻5 wt% RCF 的 bio-PET 制品在机械强度、韧性和耐热性方面具有非常平衡的性能。所得的生物聚合物复合材料制品在刚性食品包装和相关应用中具有一定的应用价值,这对优化集成生物炼制系统设计以及提高纺织废料的附加值具有积极意义。