Suppr超能文献

肺动脉高压左心室功能和力学的预后价值:一项心血管磁共振特征追踪的初步研究。

Prognostic Value of Left Ventricular Function and Mechanics in Pulmonary Hypertension: A Pilot Cardiovascular Magnetic Resonance Feature Tracking Study.

机构信息

Department of Radiology, Medical Academy, Lithuanian University of Health Sciences, LT 44307 Kaunas, Lithuania.

Department of Cardiology, Medical Academy, Lithuanian University of Health Sciences, LT 44307 Kaunas, Lithuania.

出版信息

Medicina (Kaunas). 2019 Mar 20;55(3):73. doi: 10.3390/medicina55030073.

Abstract

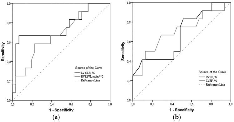
: Cardiovascular magnetic resonance (CMR) - based feature tracking (FT) can detect left ventricular (LV) strain abnormalities in pulmonary hypertension (PH) patients, but little is known about the prognostic value of LV function and mechanics in PH patients. The aim of this study was to evaluate LV systolic function by conventional CMR and LV global strains by CMR-based FT analysis in precapillary PH patients, thereby defining the prognostic value of LV function and mechanics. : We prospectively enrolled 43 patients with precapillary PH (mean pulmonary artery pressure (mPAP) 55.91 ± 15.87 mmHg, pulmonary arterial wedge pressure (PAWP) ≤15 mmHg) referred to CMR for PH evaluation. Using FT software, the LV global longitudinal strain (GLS) and global circumferential strain (GCS), also right ventricular (RV) GLS were analyzed. : Patients were classified into two groups according to survival (survival/non-survival). LV GLS was significantly reduced in the non-survival group (-12.4% [-19.0⁻(-7.8)] vs. -18.4% [-22.5⁻(-15.5)], = 0.009). By ROC curve analysis, LV GLS > -14.2% (CI: 3.229 to 37.301, p < 0.001) was found to be robust predictor of mortality in PH patients. Univariable analysis using the Cox model showed that severely reduced LV GLS > -14.2%, with good sensitivity (77.8%) and high specificity (93.5%) indicated an increase of the risk of death by 11-fold. LV GLS significantly correlated in PH patients with RV ESVI ( = 0.322, = 0.035), RV EF ( = 0.444, < 0.003). : LV systolic function and LV global longitudinal strain measurements using CMR-FT correlates with RV dysfunction and is associated with poor clinical outcomes in precapillary PH patients.

摘要

: 心血管磁共振(CMR)-基于特征追踪(FT)可检测肺动脉高压(PH)患者左心室(LV)应变异常,但关于 PH 患者 LV 功能和力学的预后价值知之甚少。本研究旨在通过 CMR 评估毛细血管前 PH 患者的 LV 收缩功能,以及通过 CMR 基于 FT 分析评估 LV 整体应变,从而定义 LV 功能和力学的预后价值。 : 我们前瞻性纳入 43 例毛细血管前 PH 患者(平均肺动脉压(mPAP)55.91 ± 15.87 mmHg,肺动脉楔压(PAWP)≤15 mmHg),进行 CMR 评估 PH。使用 FT 软件分析 LV 整体纵向应变(GLS)和整体周向应变(GCS),以及右心室(RV)GLS。 : 根据生存情况(生存/非生存)将患者分为两组。非生存组的 LV GLS 明显降低(-12.4% [-19.0⁻(-7.8)] vs. -18.4% [-22.5⁻(-15.5)], = 0.009)。通过 ROC 曲线分析,发现 LV GLS > -14.2%(CI:3.229 至 37.301,p < 0.001)是 PH 患者死亡率的可靠预测因子。使用 Cox 模型进行单变量分析显示,严重降低的 LV GLS > -14.2%,具有较高的敏感性(77.8%)和特异性(93.5%),表明死亡风险增加 11 倍。LV GLS 在 PH 患者中与 RV ESVI( = 0.322, = 0.035)、RV EF( = 0.444, < 0.003)显著相关。 : CMR-FT 测量的 LV 收缩功能和 LV 整体纵向应变与 RV 功能障碍相关,与毛细血管前 PH 患者的不良临床结局相关。

https://cdn.ncbi.nlm.nih.gov/pmc/blobs/b931/6473343/7ad51c101ecf/medicina-55-00073-g001.jpg

文献AI研究员

20分钟写一篇综述,助力文献阅读效率提升50倍。

立即体验

用中文搜PubMed

大模型驱动的PubMed中文搜索引擎

马上搜索

文档翻译

学术文献翻译模型,支持多种主流文档格式。

立即体验