• 文献检索
  • 文档翻译
  • 深度研究
  • 学术资讯
  • Suppr Zotero 插件Zotero 插件
  • 邀请有礼
  • 套餐&价格
  • 历史记录
应用&插件
Suppr Zotero 插件Zotero 插件浏览器插件Mac 客户端Windows 客户端微信小程序
定价
高级版会员购买积分包购买API积分包
服务
文献检索文档翻译深度研究API 文档MCP 服务
关于我们
关于 Suppr公司介绍联系我们用户协议隐私条款
关注我们

Suppr 超能文献

核心技术专利:CN118964589B侵权必究
粤ICP备2023148730 号-1Suppr @ 2026

文献检索

告别复杂PubMed语法,用中文像聊天一样搜索,搜遍4000万医学文献。AI智能推荐,让科研检索更轻松。

立即免费搜索

文件翻译

保留排版,准确专业,支持PDF/Word/PPT等文件格式,支持 12+语言互译。

免费翻译文档

深度研究

AI帮你快速写综述,25分钟生成高质量综述,智能提取关键信息,辅助科研写作。

立即免费体验

GABA(γ-氨基丁酸)作为一种热保护剂,可提高热应激绿豆植株的生殖功能。

GABA (γ-aminobutyric acid), as a thermo-protectant, to improve the reproductive function of heat-stressed mungbean plants.

机构信息

Department of Botany, Panjab University, Chandigarh, 160014, India.

World Vegetable Center, South Asia, ICRISAT Campus, 502 324, Hyderabad, AP, India.

出版信息

Sci Rep. 2019 May 24;9(1):7788. doi: 10.1038/s41598-019-44163-w.

DOI:10.1038/s41598-019-44163-w
PMID:31127130
原文链接:https://pmc.ncbi.nlm.nih.gov/articles/PMC6534552/
Abstract

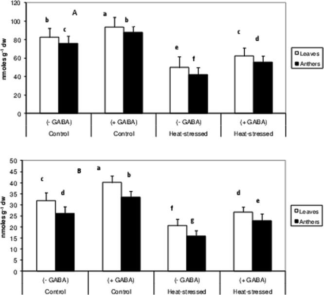
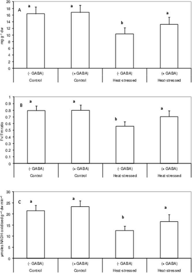
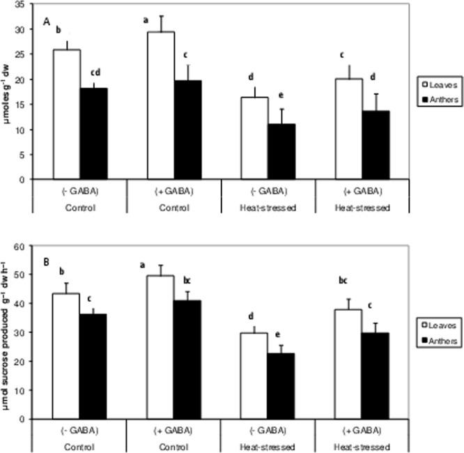
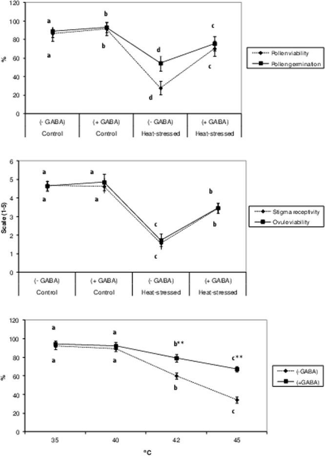
Rising global temperatures are proving to be detrimental for the agriculture. Hence, strategies are needed to induce thermotolerance in food crops to sustain the food production. GABA (γ-aminobutyric acid), a non-protein amino acid, can partially protect plants from high-temperature stress. This study hypothesises that declining GABA concentrations in the cells of heat-stressed mungbean plants increases the heat-sensitivity of reproductive function. Mungbean plants were grown in a natural, outdoor environment (29.3/16.1 ± 1 °C as mean day/night temperature, 1350-1550 µmol m s light intensity, 60-65% as mean relative humidity) until the start of the reproductive stage. Subsequently, two temperature treatments were imposed in a controlled environment-control (35/23 °C) and heat stress (45/28 °C)-at about 800 µmol m s light intensity and 65-70% as mean relative humidity, until pod maturity. In heat-stressed (HS) plants, endogenous GABA concentrations in leaf and anther samples had declined by 49 and 60%, respectively, and to a much lesser degree in the plants, exogenously supplemented with 1 mM GABA. The reproductive function of GABA-treated heat-stressed plants improved significantly in terms of pollen germination, pollen viability, stigma receptivity and ovule viability, compared to untreated HS controls. In addition, GABA-treated heat-stressed plants had less damage to membranes, photosynthetic machinery (chlorophyll concentration, chlorophyll fluorescence, RuBisCO activity were functionally normal) and carbon assimilation (sucrose synthesis and its utilisation) than the untreated HS controls. Leaf water status improved significantly with GABA application, including enhanced accumulation of osmolytes such as proline and trehalose due to increase in the activities of their biosynthetic enzymes. GABA-treated heat-stressed plants produced more pods (28%) and seed weight (27%) plant than the untreated controls. This study is the first to report the involvement of GABA in protecting reproductive function in mungbean under heat stress, as a result of improved leaf turgor, carbon fixation and assimilation processes, through the augmentation of several enzymes related to these physiological processes.

摘要

全球气温上升对农业造成了不利影响。因此,需要采取策略诱导粮食作物耐热性,以维持粮食生产。γ-氨基丁酸(GABA)是一种非蛋白氨基酸,它可以部分保护植物免受高温胁迫。本研究假设受热胁迫的绿豆细胞中 GABA 浓度的降低会增加生殖功能对高温的敏感性。绿豆植株在自然户外环境中生长(平均日/夜温度为 29.3/16.1°C,光照强度为 1350-1550 μmol m s,平均相对湿度为 60-65%),直到生殖阶段开始。随后,在控制环境中对其进行两种温度处理-对照(35/23°C)和热应激(45/28°C)-光照强度约为 800 μmol m s,平均相对湿度为 65-70%,直到豆荚成熟。在热应激(HS)植株中,叶片和花粉囊样品中的内源性 GABA 浓度分别下降了 49%和 60%,而用 1mM GABA 外源处理的植株中 GABA 浓度下降程度要小得多。与未处理的 HS 对照相比,用 GABA 处理的热应激植株的花粉萌发、花粉活力、柱头可接受性和胚珠活力显著提高。此外,与未处理的 HS 对照相比,用 GABA 处理的热应激植株的细胞膜、光合作用(叶绿素浓度、叶绿素荧光、RuBisCO 活性功能正常)和碳同化(蔗糖合成及其利用)损伤较小。用 GABA 处理后,叶片水势显著改善,由于其生物合成酶活性的提高,脯氨酸和海藻糖等渗透物质的积累也得到增强。与未处理的对照相比,用 GABA 处理的热应激植株产生的豆荚(28%)和种子重量(27%)更多。本研究首次报道了 GABA 通过增强与这些生理过程相关的几种酶的活性,改善绿豆叶片膨压、碳固定和同化过程,从而在热胁迫下保护绿豆生殖功能的作用。

https://cdn.ncbi.nlm.nih.gov/pmc/blobs/696e/6534552/90019a5ad42d/41598_2019_44163_Fig10_HTML.jpg
https://cdn.ncbi.nlm.nih.gov/pmc/blobs/696e/6534552/2b3b107fb6cc/41598_2019_44163_Fig1_HTML.jpg
https://cdn.ncbi.nlm.nih.gov/pmc/blobs/696e/6534552/0e21ba20ce34/41598_2019_44163_Fig2_HTML.jpg
https://cdn.ncbi.nlm.nih.gov/pmc/blobs/696e/6534552/7061d1c7afb7/41598_2019_44163_Fig3_HTML.jpg
https://cdn.ncbi.nlm.nih.gov/pmc/blobs/696e/6534552/5cc642c0cbfa/41598_2019_44163_Fig4_HTML.jpg
https://cdn.ncbi.nlm.nih.gov/pmc/blobs/696e/6534552/964beacd0901/41598_2019_44163_Fig5_HTML.jpg
https://cdn.ncbi.nlm.nih.gov/pmc/blobs/696e/6534552/d2ebf7fb86a2/41598_2019_44163_Fig6_HTML.jpg
https://cdn.ncbi.nlm.nih.gov/pmc/blobs/696e/6534552/a234d57f88a6/41598_2019_44163_Fig7_HTML.jpg
https://cdn.ncbi.nlm.nih.gov/pmc/blobs/696e/6534552/17a19c5e32f8/41598_2019_44163_Fig8_HTML.jpg
https://cdn.ncbi.nlm.nih.gov/pmc/blobs/696e/6534552/20ba044e8bbc/41598_2019_44163_Fig9_HTML.jpg
https://cdn.ncbi.nlm.nih.gov/pmc/blobs/696e/6534552/90019a5ad42d/41598_2019_44163_Fig10_HTML.jpg
https://cdn.ncbi.nlm.nih.gov/pmc/blobs/696e/6534552/2b3b107fb6cc/41598_2019_44163_Fig1_HTML.jpg
https://cdn.ncbi.nlm.nih.gov/pmc/blobs/696e/6534552/0e21ba20ce34/41598_2019_44163_Fig2_HTML.jpg
https://cdn.ncbi.nlm.nih.gov/pmc/blobs/696e/6534552/7061d1c7afb7/41598_2019_44163_Fig3_HTML.jpg
https://cdn.ncbi.nlm.nih.gov/pmc/blobs/696e/6534552/5cc642c0cbfa/41598_2019_44163_Fig4_HTML.jpg
https://cdn.ncbi.nlm.nih.gov/pmc/blobs/696e/6534552/964beacd0901/41598_2019_44163_Fig5_HTML.jpg
https://cdn.ncbi.nlm.nih.gov/pmc/blobs/696e/6534552/d2ebf7fb86a2/41598_2019_44163_Fig6_HTML.jpg
https://cdn.ncbi.nlm.nih.gov/pmc/blobs/696e/6534552/a234d57f88a6/41598_2019_44163_Fig7_HTML.jpg
https://cdn.ncbi.nlm.nih.gov/pmc/blobs/696e/6534552/17a19c5e32f8/41598_2019_44163_Fig8_HTML.jpg
https://cdn.ncbi.nlm.nih.gov/pmc/blobs/696e/6534552/20ba044e8bbc/41598_2019_44163_Fig9_HTML.jpg
https://cdn.ncbi.nlm.nih.gov/pmc/blobs/696e/6534552/90019a5ad42d/41598_2019_44163_Fig10_HTML.jpg

相似文献

1
GABA (γ-aminobutyric acid), as a thermo-protectant, to improve the reproductive function of heat-stressed mungbean plants.GABA(γ-氨基丁酸)作为一种热保护剂,可提高热应激绿豆植株的生殖功能。
Sci Rep. 2019 May 24;9(1):7788. doi: 10.1038/s41598-019-44163-w.
2
Securing reproductive function in mungbean grown under high temperature environment with exogenous application of proline.外源脯氨酸处理提高高温环境下绿豆生殖功能的研究
Plant Physiol Biochem. 2019 Jul;140:136-150. doi: 10.1016/j.plaphy.2019.05.009. Epub 2019 May 10.
3
Heat Priming of Lentil ( Medik.) Seeds and Foliar Treatment with γ-Aminobutyric Acid (GABA), Confers Protection to Reproductive Function and Yield Traits under High-Temperature Stress Environments.高温预处理兵豆(Medik.)种子并叶面喷施γ-氨基丁酸(GABA)可提高其在高温胁迫环境下的生殖功能和产量性状。
Int J Mol Sci. 2021 May 29;22(11):5825. doi: 10.3390/ijms22115825.
4
Nitric oxide secures reproductive efficiency in heat-stressed lentil ( Medik.) plants by enhancing the photosynthetic ability to improve yield traits.一氧化氮通过增强光合能力来提高产量性状,从而确保热胁迫下小扁豆(Medik.)植株的繁殖效率。
Physiol Mol Biol Plants. 2021 Nov;27(11):2549-2566. doi: 10.1007/s12298-021-01098-9. Epub 2021 Nov 13.
5
Identification of High-Temperature Tolerant Lentil ( Medik.) Genotypes through Leaf and Pollen Traits.通过叶片和花粉性状鉴定耐高温小扁豆(Medik.)基因型
Front Plant Sci. 2017 May 19;8:744. doi: 10.3389/fpls.2017.00744. eCollection 2017.
6
Understanding the effect of heat stress during seed filling on nutritional composition and seed yield in chickpea (Cicer arietinum L.).了解种子灌浆期热应激对鹰嘴豆(Cicer arietinum L.)营养成分和种子产量的影响。
Sci Rep. 2023 Sep 18;13(1):15450. doi: 10.1038/s41598-023-42586-0.
7
Impact of heat stress during seed filling on seed quality and seed yield in lentil (Lens culinaris Medikus) genotypes.热胁迫对菜豆(Lens culinaris Medikus)基因型种子灌浆期种子质量和产量的影响。
J Sci Food Agric. 2018 Oct;98(13):5134-5141. doi: 10.1002/jsfa.9054. Epub 2018 May 24.
8
Exogenous γ-aminobutyric acid (GABA) mitigated salinity-induced impairments in mungbean plants by regulating their nitrogen metabolism and antioxidant potential.外源γ-氨基丁酸(GABA)通过调节绿豆植株的氮代谢和抗氧化能力,减轻了盐分诱导的损伤。
Front Plant Sci. 2023 Jan 18;13:1081188. doi: 10.3389/fpls.2022.1081188. eCollection 2022.
9
γ-Aminobutyric Acid Enhances Heat Tolerance Associated with the Change of Proteomic Profiling in Creeping Bentgrass.γ-氨基丁酸增强匍匐翦股颖耐热性与蛋白质组图谱变化的关系
Molecules. 2020 Sep 18;25(18):4270. doi: 10.3390/molecules25184270.
10
Reproductive heat tolerance in a Mojave Desert annual plant, Trianthema portulacastrum.繁殖热耐受性在莫哈韦沙漠一年生植物,三齿萼车前。
Am J Bot. 2018 Dec;105(12):2018-2024. doi: 10.1002/ajb2.1199. Epub 2018 Dec 3.

引用本文的文献

1
Chemical application improves stress resilience in plants.化学物质的应用可提高植物的抗逆性。
Plant Mol Biol. 2025 Mar 19;115(2):47. doi: 10.1007/s11103-025-01566-w.
2
Physiological and transcriptomic evidence revealed the role of exogenous GABA in enhancing salt tolerance in strawberry seedlings.生理和转录组学证据揭示了外源γ-氨基丁酸在增强草莓幼苗耐盐性中的作用。
BMC Genomics. 2025 Feb 25;26(1):196. doi: 10.1186/s12864-025-11368-5.
3
Characterization of microalgal β-carotene and astaxanthin: exploring their health-promoting properties under the effect of salinity and light intensity.

本文引用的文献

1
Changes in photosynthetic parameters and antioxidant activities following heat-shock treatment in tomato plants.番茄植株热激处理后光合参数和抗氧化活性的变化
Funct Plant Biol. 2006 Mar;33(2):177-187. doi: 10.1071/FP05067.
2
Heat-stress-induced reproductive failures in chickpea (Cicer arietinum) are associated with impaired sucrose metabolism in leaves and anthers.热胁迫导致鹰嘴豆(Cicer arietinum)生殖失败,这与叶片和花药中蔗糖代谢受损有关。
Funct Plant Biol. 2013 Dec;40(12):1334-1349. doi: 10.1071/FP13082.
3
Individual and combined effects of transient drought and heat stress on carbon assimilation and seed filling in chickpea.
微藻β-胡萝卜素和虾青素的特性:探索盐度和光照强度影响下它们的健康促进特性。
Biotechnol Biofuels Bioprod. 2025 Feb 14;18(1):18. doi: 10.1186/s13068-025-02612-x.
4
GABA transport: beyond stress? A closer look at AtGAT2.γ-氨基丁酸转运:超越应激?深入探究拟南芥γ-氨基丁酸转运蛋白2
J Exp Bot. 2024 Oct 30;75(20):6195-6198. doi: 10.1093/jxb/erae390.
5
Relationship between the GABA Pathway and Signaling of Other Regulatory Molecules.GABA 途径与其他调节分子信号之间的关系。
Int J Mol Sci. 2024 Oct 6;25(19):10749. doi: 10.3390/ijms251910749.
6
Gamma-aminobutyric acid interactions with phytohormones and its role in modulating abiotic and biotic stress in plants.γ-氨基丁酸与植物激素的相互作用及其在调节植物非生物和生物胁迫中的作用。
Stress Biol. 2024 Aug 19;4(1):36. doi: 10.1007/s44154-024-00180-y.
7
Foliar Application of Chitosan (CTS), γ-Aminobutyric Acid (GABA), or Sodium Chloride (NaCl) Mitigates Summer Bentgrass Decline in the Subtropical Zone.壳聚糖(CTS)、γ-氨基丁酸(GABA)或氯化钠(NaCl)叶面喷施减轻亚热带地区夏季翦股颖衰退
Plants (Basel). 2024 Jun 27;13(13):1773. doi: 10.3390/plants13131773.
8
Emerging Trends in Non-Protein Amino Acids as Potential Priming Agents: Implications for Stress Management Strategies and Unveiling Their Regulatory Functions.非蛋白氨基酸作为潜在引发剂的新兴趋势:对压力管理策略的影响及其调控功能的揭示。
Int J Mol Sci. 2024 Jun 4;25(11):6203. doi: 10.3390/ijms25116203.
9
The potassium transporter TaNHX2 interacts with TaGAD1 to promote drought tolerance via modulating stomatal aperture in wheat.钾转运蛋白 TaNHX2 与 TaGAD1 互作通过调节小麦气孔开度促进耐旱性。
Sci Adv. 2024 Apr 12;10(15):eadk4027. doi: 10.1126/sciadv.adk4027.
10
Enhancing crop resilience by harnessing the synergistic effects of biostimulants against abiotic stress.通过利用生物刺激剂对非生物胁迫的协同效应来增强作物抗逆性。
Front Plant Sci. 2023 Dec 18;14:1276117. doi: 10.3389/fpls.2023.1276117. eCollection 2023.
短暂干旱和热胁迫对鹰嘴豆碳同化和种子灌浆的单独及综合影响。
Funct Plant Biol. 2014 Oct;41(11):1148-1167. doi: 10.1071/FP13340.
4
Identification of High-Temperature Tolerant Lentil ( Medik.) Genotypes through Leaf and Pollen Traits.通过叶片和花粉性状鉴定耐高温小扁豆(Medik.)基因型
Front Plant Sci. 2017 May 19;8:744. doi: 10.3389/fpls.2017.00744. eCollection 2017.
5
γ-Aminobutyric Acid Imparts Partial Protection from Salt Stress Injury to Maize Seedlings by Improving Photosynthesis and Upregulating Osmoprotectants and Antioxidants.γ-氨基丁酸通过提高光合作用和上调渗透保护物质和抗氧化剂来部分保护玉米幼苗免受盐胁迫伤害。
Sci Rep. 2017 Mar 8;7:43609. doi: 10.1038/srep43609.
6
γ-Aminobutyric acid (GABA) signalling in plants.植物中的γ-氨基丁酸(GABA)信号传导
Cell Mol Life Sci. 2017 May;74(9):1577-1603. doi: 10.1007/s00018-016-2415-7. Epub 2016 Nov 12.
7
Salinity and High Temperature Tolerance in Mungbean [Vigna radiata (L.) Wilczek] from a Physiological Perspective.从生理角度看绿豆[绿豆(Vigna radiata (L.) Wilczek)]的耐盐性和耐高温性
Front Plant Sci. 2016 Jun 29;7:957. doi: 10.3389/fpls.2016.00957. eCollection 2016.
8
Plant hormone-mediated regulation of stress responses.植物激素介导的应激反应调控。
BMC Plant Biol. 2016 Apr 14;16:86. doi: 10.1186/s12870-016-0771-y.
9
Role of proline and GABA in sexual reproduction of angiosperms.脯氨酸和γ-氨基丁酸在被子植物有性生殖中的作用。
Front Plant Sci. 2015 Sep 4;6:680. doi: 10.3389/fpls.2015.00680. eCollection 2015.
10
Proline induces heat tolerance in chickpea (Cicer arietinum L.) plants by protecting vital enzymes of carbon and antioxidative metabolism.脯氨酸通过保护碳代谢和抗氧化代谢的重要酶来诱导鹰嘴豆(Cicer arietinum L.)植物的耐热性。
Physiol Mol Biol Plants. 2011 Jul;17(3):203-13. doi: 10.1007/s12298-011-0078-2. Epub 2011 Jul 9.