Suppr超能文献

COPD 患者报告结局、健康状况、呼吸困难和呼吸系统症状有何不同?一项工作人群中的观察性研究。

How different are COPD-specific patient reported outcomes, health status, dyspnoea and respiratory symptoms? An observational study in a working population.

机构信息

Department of Respiratory Medicine, National Center for Geriatrics and Gerontology, Obu, Aichi, Japan

Department of Respiratory Medicine, Kawasaki Medical School, Kurashiki, Japan.

出版信息

BMJ Open. 2019 Jul 24;9(7):e025132. doi: 10.1136/bmjopen-2018-025132.

Abstract

OBJECTIVES

We hypothesised that chronic obstructive pulmonary disease (COPD)-specific health status measured by the COPD assessment test (CAT), respiratory symptoms by the evaluating respiratory symptoms in COPD (E-RS) and dyspnoea by Dyspnoea-12 (D-12) are independently based on specific conceptual frameworks and are not interchangeable. We aimed to discover whether health status, dyspnoea or respiratory symptoms could be related to smoking status and airflow limitation in a working population.

DESIGN

This is an observational, cross-sectional study.

PARTICIPANTS

1566 healthy industrial workers were analysed.

RESULTS

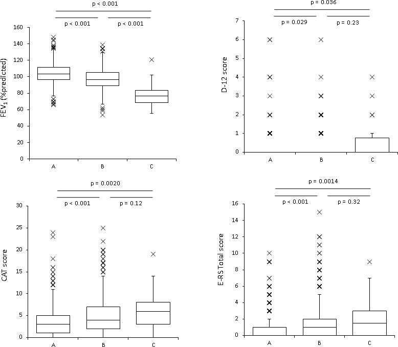
Relationships between D-12, CAT and E-RS total were statistically significant but weak (Spearman's correlation coefficient=0.274 to 0.446). In 646 healthy non-smoking subjects, as the reference scores for healthy non-smoking subjects, that is, upper threshold, the bootstrap 95th percentile values were 1.00 for D-12, 9.88 for CAT and 4.44 for E-RS. Of the 1566 workers, 85 (5.4%) were diagnosed with COPD using the fixed ratio of the forced expiratory volume in one second/forced vital capacity <0.7, and 34 (2.2%) using the lower limit of normal. The CAT and E-RS total were significantly worse in non-COPD smokers and subjects with COPD than non-COPD never smokers, although the D-12 was not as sensitive. There were no significant differences between non-COPD smokers and subjects with COPD on any of the measures.

CONCLUSIONS

Assessment of health status and respiratory symptoms would be preferable to dyspnoea in view of smoking status and airflow limitation in a working population. However, these patient-reported measures were inadequate in differentiating between smokers and subjects with COPD identified by spirometry.

摘要

目的

我们假设慢性阻塞性肺疾病(COPD)特异性健康状况由 COPD 评估测试(CAT)测量,呼吸症状由评估 COPD 中的呼吸症状(E-RS)测量,呼吸困难由 Dyspnoea-12(D-12)测量,这些均基于特定的概念框架,彼此不可互换。我们旨在探讨在工作人群中,健康状况、呼吸困难或呼吸症状是否与吸烟状况和气流受限相关。

设计

这是一项观察性、横断面研究。

参与者

分析了 1566 名健康的产业工人。

结果

D-12、CAT 和 E-RS 总分之间存在统计学上显著但较弱的相关性(Spearman 相关系数为 0.274 至 0.446)。在 646 名健康不吸烟者中,作为健康不吸烟者的参考评分,即上限,Bootstrap 95%分位数值为 1.00 的 D-12、9.88 的 CAT 和 4.44 的 E-RS。在 1566 名工人中,根据固定的一秒用力呼气量/用力肺活量比值<0.7,85 名(5.4%)被诊断为 COPD,34 名(2.2%)使用正常下限。非 COPD 吸烟者和 COPD 患者的 CAT 和 E-RS 总分明显较差,而非 COPD 从不吸烟者,尽管 D-12 不那么敏感。在任何一项测量中,非 COPD 吸烟者和 COPD 患者之间均无显著差异。

结论

在工作人群中,考虑到吸烟状况和气流受限,评估健康状况和呼吸症状可能优于呼吸困难。然而,这些患者报告的测量方法在区分通过肺活量测定法确定的吸烟者和 COPD 患者方面不够充分。

https://cdn.ncbi.nlm.nih.gov/pmc/blobs/405e/6661613/e6f19025a309/bmjopen-2018-025132f01.jpg

文献检索

告别复杂PubMed语法,用中文像聊天一样搜索,搜遍4000万医学文献。AI智能推荐,让科研检索更轻松。

立即免费搜索

文件翻译

保留排版,准确专业,支持PDF/Word/PPT等文件格式,支持 12+语言互译。

免费翻译文档

深度研究

AI帮你快速写综述,25分钟生成高质量综述,智能提取关键信息,辅助科研写作。

立即免费体验