Suppr超能文献

高脂饮食诱导小鼠大脑皮层和突触部分发生神经炎症和线粒体损伤。

High-Fat Diet Induces Neuroinflammation and Mitochondrial Impairment in Mice Cerebral Cortex and Synaptic Fraction.

作者信息

Cavaliere Gina, Trinchese Giovanna, Penna Eduardo, Cimmino Fabiano, Pirozzi Claudio, Lama Adriano, Annunziata Chiara, Catapano Angela, Mattace Raso Giuseppina, Meli Rosaria, Monda Marcellino, Messina Giovanni, Zammit Christian, Crispino Marianna, Mollica Maria Pina

机构信息

Department of Biology, University of Naples Federico II, Naples, Italy.

Department of Pharmacy, University of Naples Federico II, Naples, Italy.

出版信息

Front Cell Neurosci. 2019 Nov 12;13:509. doi: 10.3389/fncel.2019.00509. eCollection 2019.

Abstract

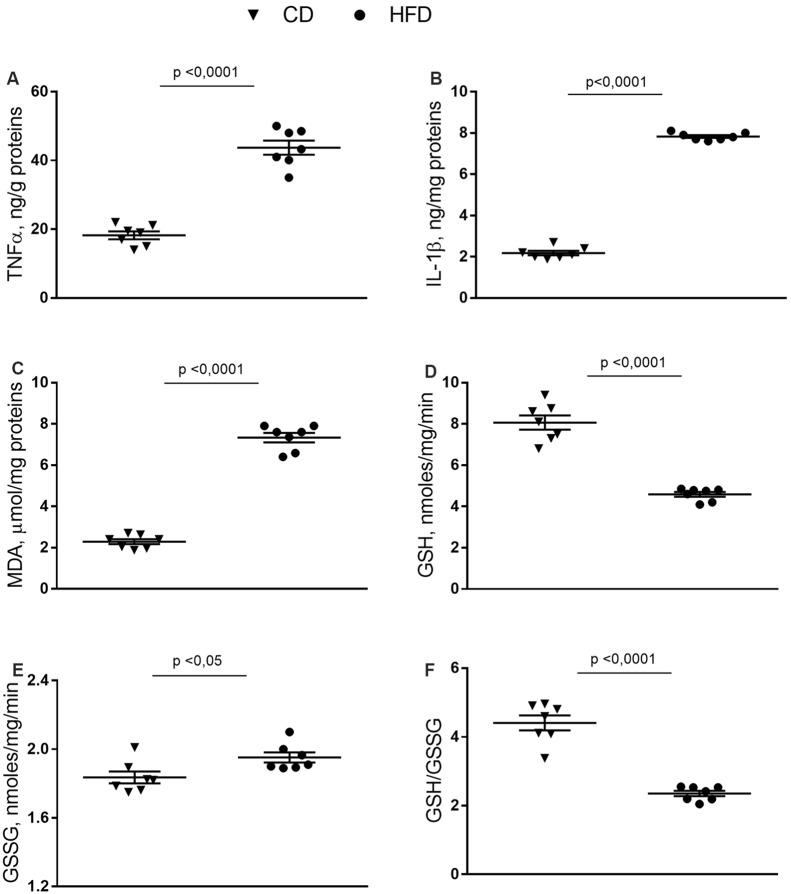
Brain mitochondrial dysfunction is involved in the development of neurological and neurodegenerative diseases. Mitochondria specifically located at synapses play a key role in providing energy to support synaptic functions and plasticity, thus their defects may lead to synaptic failure, which is a common hallmark of neurodegenerative diseases. High-Fat Diet (HFD) consumption increases brain oxidative stress and impairs brain mitochondrial functions, although the underlying mechanisms are not completely understood. The aim of our study is to analyze neuroinflammation and mitochondrial dysfunctions in brain cortex and synaptosomal fraction isolated from a mouse model of diet-induced obesity. Male C57Bl/6 mice were divided into two groups fed a standard diet or HFD for 18 weeks. At the end of the treatment, inflammation (detected by ELISA), antioxidant state (measured by enzymatic activity), mitochondrial functions and efficiency (detected by oxidative capacity and Seahorse analysis), and brain-derived neurotrophic factor (BDNF) pathway (analyzed by western blot) were determined in brain cortex and synaptosomal fraction. In HFD animals, we observed an increase in inflammatory parameters and oxidative stress and a decrease in mitochondrial oxidative capacity both in the brain cortex and synaptosomal fraction. These alterations parallel with modulation of BDNF, a brain key signaling molecule that is linking synaptic plasticity and energy metabolism. Neuroinflammation HFD-dependent negatively affects BDNF pathway and mitochondrial activity in the brain cortex. The effect is even more pronounced in the synaptic region, where the impaired energy supply may have a negative impact on neuronal plasticity.

摘要

脑线粒体功能障碍与神经和神经退行性疾病的发展有关。特别位于突触处的线粒体在提供能量以支持突触功能和可塑性方面起着关键作用,因此它们的缺陷可能导致突触功能衰竭,这是神经退行性疾病的一个常见特征。食用高脂饮食(HFD)会增加脑氧化应激并损害脑线粒体功能,尽管其潜在机制尚未完全了解。我们研究的目的是分析从饮食诱导肥胖小鼠模型分离的脑皮质和突触体部分中的神经炎症和线粒体功能障碍。将雄性C57Bl/6小鼠分为两组,分别喂食标准饮食或HFD 18周。在治疗结束时,测定脑皮质和突触体部分中的炎症(通过ELISA检测)、抗氧化状态(通过酶活性测量)、线粒体功能和效率(通过氧化能力和海马分析检测)以及脑源性神经营养因子(BDNF)途径(通过蛋白质印迹分析)。在HFD组动物中,我们观察到脑皮质和突触体部分的炎症参数增加和氧化应激增加,以及线粒体氧化能力下降。这些改变与BDNF的调节平行,BDNF是一种连接突触可塑性和能量代谢的脑关键信号分子。HFD依赖的神经炎症对脑皮质中的BDNF途径和线粒体活性产生负面影响。这种影响在突触区域更为明显,在该区域能量供应受损可能对神经元可塑性产生负面影响。

https://cdn.ncbi.nlm.nih.gov/pmc/blobs/6d73/6861522/7d68568bb0d8/fncel-13-00509-g0001.jpg

文献AI研究员

20分钟写一篇综述,助力文献阅读效率提升50倍。

立即体验

用中文搜PubMed

大模型驱动的PubMed中文搜索引擎

马上搜索

文档翻译

学术文献翻译模型,支持多种主流文档格式。

立即体验