• 文献检索
  • 文档翻译
  • 深度研究
  • 学术资讯
  • Suppr Zotero 插件Zotero 插件
  • 邀请有礼
  • 套餐&价格
  • 历史记录
应用&插件
Suppr Zotero 插件Zotero 插件浏览器插件Mac 客户端Windows 客户端微信小程序
定价
高级版会员购买积分包购买API积分包
服务
文献检索文档翻译深度研究API 文档MCP 服务
关于我们
关于 Suppr公司介绍联系我们用户协议隐私条款
关注我们

Suppr 超能文献

核心技术专利:CN118964589B侵权必究
粤ICP备2023148730 号-1Suppr @ 2026

文献检索

告别复杂PubMed语法,用中文像聊天一样搜索,搜遍4000万医学文献。AI智能推荐,让科研检索更轻松。

立即免费搜索

文件翻译

保留排版,准确专业,支持PDF/Word/PPT等文件格式,支持 12+语言互译。

免费翻译文档

深度研究

AI帮你快速写综述,25分钟生成高质量综述,智能提取关键信息,辅助科研写作。

立即免费体验

吞咽启动可提示意识障碍的预后:一项自身对照研究。

The Initiation of Swallowing Can Indicate the Prognosis of Disorders of Consciousness: A Self-Controlled Study.

作者信息

Wang Jianan, Wang Jing, Hu Xiaohua, Xu Lingqi, Tian Jinna, Li Jiayin, Fang Danruo, Huang Wangshan, Sun Yuxiao, He Minhui, Laureys Steven, Di Haibo

机构信息

International Unresponsive Wakefulness Syndrome and Consciousness Science Institute, Hangzhou Normal University, Hangzhou, China.

Rehabilitation Center for Brain Damage, Wujing Hospital of Hangzhou City, Hangzhou, China.

出版信息

Front Neurol. 2019 Nov 14;10:1184. doi: 10.3389/fneur.2019.01184. eCollection 2019.

DOI:10.3389/fneur.2019.01184
PMID:31798516
原文链接:https://pmc.ncbi.nlm.nih.gov/articles/PMC6868083/
Abstract

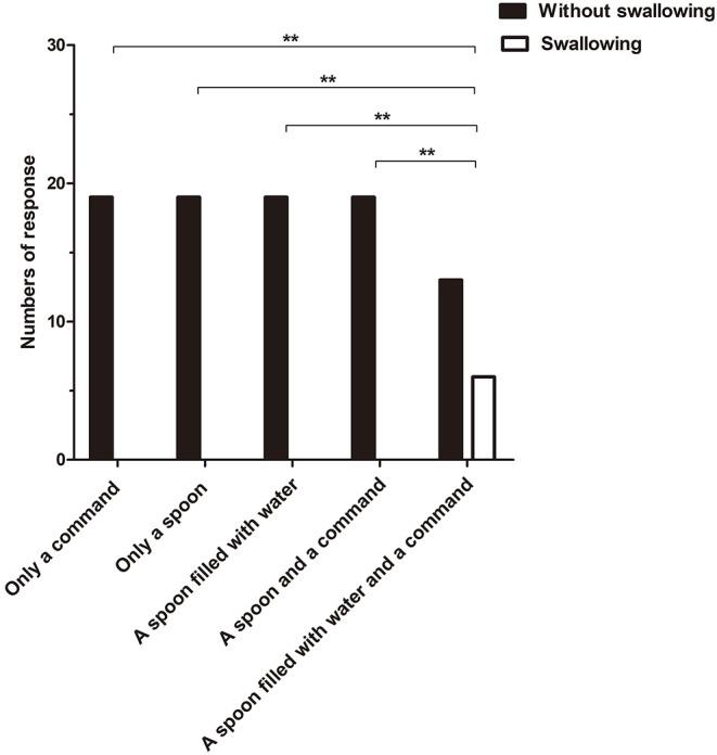
To detect the initiation of swallowing in patients with disorders of consciousness (DOC) as well as the relationship between the initiation of swallowing and the prognosis of DOC patients. Nineteen DOC patients were included in this study, and a self-controlled trial compared five different stimuli. The five different stimuli were as follows: (1) one command, as recommended by the Coma Recovery Scale-Revised (CRS-R), which was "open your mouth"; (2) placing a spoon in front of the patient's mouth without a command; (3) placing a spoon filled with water in front of the patient's mouth without a command; (4) one command-"there is a spoon; open your mouth"-with a spoon in front of the patient's mouth; (5) one command, "there is a spoon with water; open your mouth," with a spoon filled with water in front of the patient's mouth. All 19 patients were given these five stimuli randomly, and any one of the commands was presented four times to a patient, one at a time, at 15-s intervals. The sensitivity and specificity of the initiation of swallowing in detecting conscious awareness were determined. None of the patients responded to the first four stimuli. However, six patients showed initiated swallowing toward the fifth stimulus. Among those six, five patients showed improvement in their consciousness state 6 months later. The sensitivity and specificity of the initiation of swallowing for DOC patients was 83.33% [95% CIs (36%, 100%)] and 92.31% [95% CIs (64%, 100%)], respectively. The initiation of swallowing can be an early indication of conscious behavior and can likely provide evidence of conscious awareness. www.ClinicalTrials.gov, identifier: NCT03508336; Date of registration: 2018/4/16.

摘要

检测意识障碍(DOC)患者吞咽动作的起始情况以及吞咽动作起始与DOC患者预后之间的关系。本研究纳入了19例DOC患者,并采用自身对照试验比较了五种不同的刺激方式。五种不同的刺激方式如下:(1)按照修订版昏迷恢复量表(CRS-R)的建议发出一个指令,即“张开嘴”;(2)在未发出指令的情况下将一把勺子放在患者嘴前;(3)在未发出指令的情况下将一把盛有水的勺子放在患者嘴前;(4)发出一个指令——“有一把勺子;张开嘴”,同时在患者嘴前放一把勺子;(5)发出一个指令,“有一把盛有水的勺子;张开嘴”,同时在患者嘴前放一把盛有水的勺子。对所有19例患者随机给予这五种刺激,每个指令对一名患者各呈现4次,每次间隔15秒依次呈现。确定吞咽动作起始在检测意识觉醒方面的敏感性和特异性。前四种刺激方式下所有患者均无反应。然而,有6例患者对第五种刺激表现出吞咽动作起始。在这6例患者中,5例患者在6个月后意识状态有所改善。DOC患者吞咽动作起始的敏感性和特异性分别为83.33% [95%置信区间(36%,100%)]和92.31% [95%置信区间(64%,100%)]。吞咽动作起始可能是意识行为的早期指标,并可能为意识觉醒提供证据。ClinicalTrials.gov网站,标识符:NCT03508336;注册日期:2018年4月16日。

https://cdn.ncbi.nlm.nih.gov/pmc/blobs/e995/6868083/0df2abf39031/fneur-10-01184-g0002.jpg
https://cdn.ncbi.nlm.nih.gov/pmc/blobs/e995/6868083/d20316eae7c1/fneur-10-01184-g0001.jpg
https://cdn.ncbi.nlm.nih.gov/pmc/blobs/e995/6868083/0df2abf39031/fneur-10-01184-g0002.jpg
https://cdn.ncbi.nlm.nih.gov/pmc/blobs/e995/6868083/d20316eae7c1/fneur-10-01184-g0001.jpg
https://cdn.ncbi.nlm.nih.gov/pmc/blobs/e995/6868083/0df2abf39031/fneur-10-01184-g0002.jpg

相似文献

1
The Initiation of Swallowing Can Indicate the Prognosis of Disorders of Consciousness: A Self-Controlled Study.吞咽启动可提示意识障碍的预后:一项自身对照研究。
Front Neurol. 2019 Nov 14;10:1184. doi: 10.3389/fneur.2019.01184. eCollection 2019.
2
Functional MRI Motor Imagery Tasks to Detect Command Following in Traumatic Disorders of Consciousness.用于检测意识创伤性障碍中指令执行情况的功能磁共振成像运动想象任务
Front Neurol. 2017 Dec 18;8:688. doi: 10.3389/fneur.2017.00688. eCollection 2017.
3
Sensitivity and Specificity of the Coma Recovery Scale--Revised Total Score in Detection of Conscious Awareness.昏迷恢复量表修订版总分在意识觉察检测中的敏感性和特异性
Arch Phys Med Rehabil. 2016 Mar;97(3):490-492.e1. doi: 10.1016/j.apmr.2015.08.422. Epub 2015 Sep 3.
4
The misdiagnosis of prolonged disorders of consciousness by a clinical consensus compared with repeated coma-recovery scale-revised assessment.临床共识与反复昏迷恢复量表修订评估相比,对迁延性意识障碍的误诊。
BMC Neurol. 2020 Sep 12;20(1):343. doi: 10.1186/s12883-020-01924-9.
5
Olfactory Stimulation and the Diagnosis of Patients With Disorders of Consciousness: A Double-Blind, Randomized Clinical Trial.嗅觉刺激与意识障碍患者的诊断:一项双盲随机临床试验
Front Neurosci. 2022 Feb 17;16:712891. doi: 10.3389/fnins.2022.712891. eCollection 2022.
6
The Development and Validation of the SWADOC: A Study Protocol for a Multicenter Prospective Cohort Study.SWADOC的开发与验证:一项多中心前瞻性队列研究的研究方案
Front Neurol. 2021 Apr 29;12:662634. doi: 10.3389/fneur.2021.662634. eCollection 2021.
7
How brain-computer interface technology may improve the diagnosis of the disorders of consciousness: A comparative study.脑机接口技术如何改善意识障碍的诊断:一项比较研究。
Front Neurosci. 2022 Aug 11;16:959339. doi: 10.3389/fnins.2022.959339. eCollection 2022.
8
Swallowing in individuals with disorders of consciousness: A cohort study.意识障碍患者的吞咽问题:一项队列研究。
Ann Phys Rehabil Med. 2021 Jul;64(4):101403. doi: 10.1016/j.rehab.2020.04.008. Epub 2020 Jul 18.
9
Behavioral and Resting State Functional Connectivity Effects of High Frequency rTMS on Disorders of Consciousness: A Sham-Controlled Study.高频重复经颅磁刺激对意识障碍的行为和静息态功能连接效应:一项假刺激对照研究。
Front Neurol. 2018 Nov 21;9:982. doi: 10.3389/fneur.2018.00982. eCollection 2018.
10
Assessment scales for disorders of consciousness: evidence-based recommendations for clinical practice and research.意识障碍评估量表:临床实践和研究的循证推荐。
Arch Phys Med Rehabil. 2010 Dec;91(12):1795-813. doi: 10.1016/j.apmr.2010.07.218.

引用本文的文献

1
Swallowing function management in patients with disorders of consciousness: a scoping review.意识障碍患者吞咽功能管理:一项范围综述
Front Neurosci. 2025 Apr 16;19:1595393. doi: 10.3389/fnins.2025.1595393. eCollection 2025.
2
Clinical and ethical challenges in decision-making for patients with disorders of consciousness and locked-in syndrome from Chinese neurologists' perspectives.从中国神经科医生的角度看意识障碍和闭锁综合征患者决策中的临床与伦理挑战
Ther Adv Neurol Disord. 2024 Oct 9;17:17562864241283328. doi: 10.1177/17562864241283328. eCollection 2024.
3
Swallowing Assessment in Post-Comatose Patients: A Feasibility Study on the SWADOC Tool.

本文引用的文献

1
Personalized objects can optimize the diagnosis of EMCS in the assessment of functional object use in the CRS-R: a double blind, randomized clinical trial.在CRS-R中功能物体使用评估中,个性化物体可优化最小意识状态的诊断:一项双盲随机临床试验。
BMC Neurol. 2018 Apr 12;18(1):38. doi: 10.1186/s12883-018-1040-5.
2
Multicentre registry of brain-injured patients with disorder of consciousness: rationale and preliminary data.意识障碍脑损伤患者的多中心注册研究:原理与初步数据。
Funct Neurol. 2018 Jan/Mar;33(1):19-30. doi: 10.11138/fneur/2018.33.1.019.
3
Chinese translation of the Coma Recovery Scale-Revised.
昏迷后患者的吞咽评估:关于SWADOC工具的可行性研究
J Clin Med. 2024 May 31;13(11):3268. doi: 10.3390/jcm13113268.
4
Feeding modality evolution in traumatic brain injury patients with severe alteration of consciousness: A observational study.意识严重改变的创伤性脑损伤患者的喂养方式演变:一项观察性研究。
Medicine (Baltimore). 2023 Aug 25;102(34):e33831. doi: 10.1097/MD.0000000000033831.
5
Prognosis prediction for impaired consciousness recovery in stroke patients using videofluoroscopic swallowing study: A retrospective observational study.使用视频透视吞咽研究预测脑卒中患者意识恢复障碍的预后:一项回顾性观察研究。
Medicine (Baltimore). 2023 May 19;102(20):e33860. doi: 10.1097/MD.0000000000033860.
6
Feasibility study of the Nox-T3 device to detect swallowing and respiration pattern in neurologically impaired patients in the acute phase.Nox-T3 设备在急性神经功能障碍患者中检测吞咽和呼吸模式的可行性研究。
Sci Rep. 2023 May 5;13(1):7325. doi: 10.1038/s41598-023-32628-y.
7
Subthalamic nucleus deep brain stimulation programming settings do not correlate with Parkinson's disease severity.苍白球内侧部脑深部电刺激术的刺激参数与帕金森病严重程度无关。
Acta Neurochir (Wien). 2022 Sep;164(9):2271-2278. doi: 10.1007/s00701-022-05279-7. Epub 2022 Jun 25.
8
Screening Tools Designed to Assess and Evaluate Oropharyngeal Dysphagia in Adult Patients: A Scoping Review.旨在评估和评价成年患者口咽吞咽困难的筛查工具:一项范围综述
Nurs Rep. 2022 Apr 2;12(2):245-258. doi: 10.3390/nursrep12020025.
9
The Development and Validation of the SWADOC: A Study Protocol for a Multicenter Prospective Cohort Study.SWADOC的开发与验证:一项多中心前瞻性队列研究的研究方案
Front Neurol. 2021 Apr 29;12:662634. doi: 10.3389/fneur.2021.662634. eCollection 2021.
《昏迷恢复量表修订版》的中文翻译。
Brain Inj. 2017;31(3):363-365. doi: 10.1080/02699052.2016.1255780. Epub 2017 Jan 26.
4
An Auditory BCI System for Assisting CRS-R Behavioral Assessment in Patients with Disorders of Consciousness.用于辅助意识障碍患者 CRS-R 行为评估的听觉脑机接口系统。
Sci Rep. 2016 Sep 13;6:32917. doi: 10.1038/srep32917.
5
Swallowing Disorders in Severe Brain Injury in the Arousal Phase.觉醒期重度脑损伤患者的吞咽障碍
Dysphagia. 2016 Aug;31(4):511-20. doi: 10.1007/s00455-016-9707-9. Epub 2016 Apr 18.
6
Is non-invasive neuromuscular electrical stimulation effective in severe chronic neurogenic dysphagia? Reporton a post-traumatic brain injury patient.非侵入性神经肌肉电刺激对严重慢性神经源性吞咽困难有效吗?关于一名创伤性脑损伤患者的报告。
NeuroRehabilitation. 2016;38(1):53-7. doi: 10.3233/NRE-151295.
7
Sensitivity and Specificity of the Coma Recovery Scale--Revised Total Score in Detection of Conscious Awareness.昏迷恢复量表修订版总分在意识觉察检测中的敏感性和特异性
Arch Phys Med Rehabil. 2016 Mar;97(3):490-492.e1. doi: 10.1016/j.apmr.2015.08.422. Epub 2015 Sep 3.
8
Central Nervous System Control of Voice and Swallowing.中枢神经系统对语音和吞咽的控制。
J Clin Neurophysiol. 2015 Aug;32(4):294-303. doi: 10.1097/WNP.0000000000000186.
9
Cerebral response to subject's own name showed high prognostic value in traumatic vegetative state.大脑对受试者自身名字的反应在创伤性植物状态中显示出较高的预后价值。
BMC Med. 2015 Apr 15;13:83. doi: 10.1186/s12916-015-0330-7.
10
Measuring consciousness in severely damaged brains.测量严重受损大脑中的意识。
Annu Rev Neurosci. 2014;37:457-78. doi: 10.1146/annurev-neuro-062012-170339. Epub 2014 Jun 23.