Department of Medical Oncology, Amsterdam UMC, Vrije Universiteit Amsterdam/Cancer Center Amsterdam, The Netherlands.
Department of Medical Oncology, Erasmus MC Cancer Institute, Rotterdam, The Netherlands.
Mol Oncol. 2020 Mar;14(3):490-503. doi: 10.1002/1878-0261.12617. Epub 2020 Feb 7.
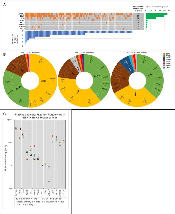
We determined whether progression-free survival (PFS) in metastatic breast cancer (MBC) patients receiving everolimus plus exemestane (EVE/EXE) varies depending on circulating tumour DNA (ctDNA) characteristics. Baseline plasma cell-free DNA (cfDNA) from 164 postmenopausal women with ER-positive, HER2-negative MBC refractory to a nonsteroidal aromatase inhibitor and treated with standard EVE/EXE (Everolimus Biomarker Study, Eudract 2013-004120-11) was characterised for 10 relevant breast cancer genes by next-generation sequencing with molecular barcoding. ctDNA molecule numbers, number of mutations and specific variants were related with PFS and overall survival (OS). Missense hotspot mutations in cfDNA were detected in 125 patients. The median of 54 ctDNA molecules per mL plasma distinguished patients with high and low/no ctDNA load. Patients with low/no ctDNA load (N = 102) showed longer median PFS of 5.7 months (P = 0.006) and OS of 124.8 months (P = 0.008) than patients with high ctDNA load (N = 62; 4.4 months and 107.7 months, respectively) in multivariate analyses. Patients with < 3 specific mutations (N = 135) had longer median PFS of 5.4 months compared to those with ≥ 3 mutations (3.4 months; P < 0.001). In conclusion, MBC patients with low/no ctDNA load or < 3 hotspot mutations experience longer PFS while treated with EVE/EXE.
我们旨在确定转移性乳腺癌(MBC)患者在接受依维莫司联合依西美坦(EVE/EXE)治疗时,无进展生存期(PFS)是否因循环肿瘤 DNA(ctDNA)特征而异。164 名绝经后 ER 阳性、HER2 阴性 MBC 患者的基线血浆无细胞 DNA(cfDNA)在经过非甾体芳香酶抑制剂治疗后出现耐药,且接受标准 EVE/EXE 治疗(依维莫司生物标志物研究,Eudract 2013-004120-11),采用分子条码的下一代测序对 10 个相关乳腺癌基因进行了特征分析。ctDNA 分子数量、突变数量和特定变体与 PFS 和总生存期(OS)相关。cfDNA 中检测到错义热点突变的有 125 名患者。54 个 ctDNA 分子/毫升血浆的中位数区分了高 ctDNA 负荷和低/no ctDNA 负荷患者。低/no ctDNA 负荷(N=102)患者的中位 PFS 为 5.7 个月(P=0.006),OS 为 124.8 个月(P=0.008),均长于高 ctDNA 负荷患者(N=62;4.4 个月和 107.7 个月),多变量分析结果。突变数<3 的患者(N=135)的中位 PFS 为 5.4 个月,长于突变数≥3 的患者(3.4 个月;P<0.001)。总之,在接受 EVE/EXE 治疗时,ctDNA 负荷低/no 或突变数<3 的 MBC 患者 PFS 更长。