Suppr超能文献

海洋来源放线菌中的防污萘啶二酮类化合物。

Antifouling Napyradiomycins from Marine-Derived Actinomycetes .

机构信息

LAQV, Chemistry Department, Faculty for Sciences and Technology, NOVA University of Lisbon, 2829-516 Caparica, Portugal.

CIIMAR/CIMAR-Interdisciplinary Centre of Marine and Environmental Research, University of Porto, Terminal de Cruzeiros do Porto de Leixões, Avenida General Norton de Matos, 4450-208 Matosinhos, Portugal.

出版信息

Mar Drugs. 2020 Jan 18;18(1):63. doi: 10.3390/md18010063.

Abstract

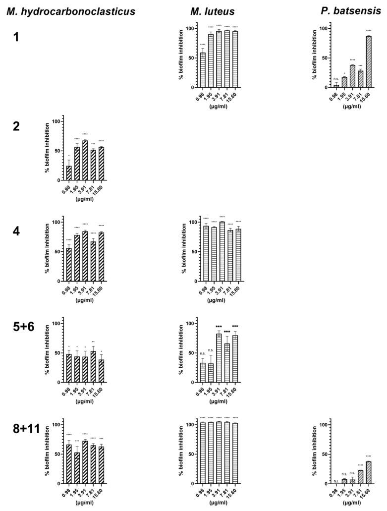
The undesired attachment of micro and macroorganisms on water-immersed surfaces, known as marine biofouling, results in severe prevention and maintenance costs (billions €/year) for aquaculture, shipping and other industries that rely on coastal and off-shore infrastructures. To date, there are no sustainable, cost-effective and environmentally safe solutions to address this challenging phenomenon. Therefore, we investigated the antifouling activity of napyradiomycin derivatives that were isolated from actinomycetes from ocean sediments collected off the Madeira Archipelago. Our results revealed that napyradiomycins inhibited ≥80% of the marine biofilm-forming bacteria assayed, as well as the settlement of larvae (EC < 5 µg/ml and LC/EC >15), without viability impairment. In silico prediction of toxicity end points are of the same order of magnitude of standard approved drugs and biocides. Altogether, napyradiomycins disclosed bioactivity against marine micro and macrofouling organisms, and non-toxic effects towards the studied species, displaying potential to be used in the development of antifouling products.

摘要

在浸水表面上,微生物和宏观生物的不期望的附着,称为海洋生物污损,导致水产养殖、航运和其他依赖沿海和近海基础设施的行业的严重预防和维护成本(数十亿欧元/年)。迄今为止,尚无可持续、具有成本效益和环境安全的解决方案来解决这一具有挑战性的现象。因此,我们研究了从马德拉群岛附近海洋沉积物中分离出的放线菌的萘啶霉素衍生物的抗污损活性。我们的结果表明,萘啶霉素抑制了 >80%的测试海洋生物膜形成细菌,以及幼虫的定殖(EC<5μg/ml 和 LC/EC>15),而不会损害其活力。毒性终点的计算预测与标准批准药物和杀生剂处于同一数量级。总之,萘啶霉素对海洋微生物和大型生物污损生物表现出生物活性,并且对所研究的物种没有毒性作用,显示出在开发防污产品中的应用潜力。

https://cdn.ncbi.nlm.nih.gov/pmc/blobs/3231/7024211/a04044873b95/marinedrugs-18-00063-g001.jpg

文献检索

告别复杂PubMed语法,用中文像聊天一样搜索,搜遍4000万医学文献。AI智能推荐,让科研检索更轻松。

立即免费搜索

文件翻译

保留排版,准确专业,支持PDF/Word/PPT等文件格式,支持 12+语言互译。

免费翻译文档

深度研究

AI帮你快速写综述,25分钟生成高质量综述,智能提取关键信息,辅助科研写作。

立即免费体验