Suppr超能文献

启发式信息聚类搜索方法在精确功能脑映射中的应用。

A heuristic information cluster search approach for precise functional brain mapping.

机构信息

Department of Computer and Information Sciences, College of Science and Technology, Temple University, Philadelphia, Pennsylvania.

Department of Psychology, College of Liberal Arts, Temple University, Philadelphia, Pennsylvania.

出版信息

Hum Brain Mapp. 2020 Jun 15;41(9):2263-2280. doi: 10.1002/hbm.24944. Epub 2020 Feb 7.

Abstract

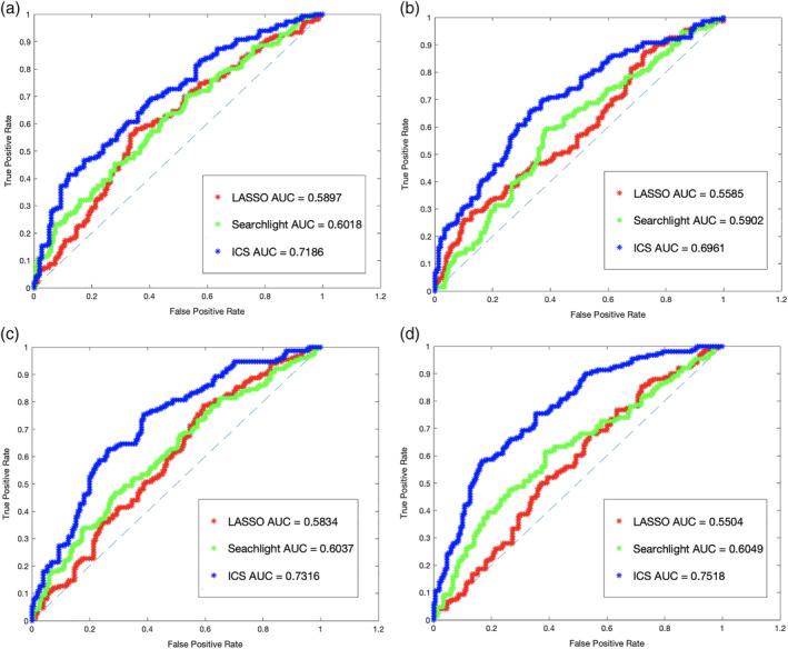
Detection of the relevant brain regions for characterizing the distinction between cognitive conditions is one of the most sought after objectives in neuroimaging research. A popular approach for achieving this goal is the multivariate pattern analysis which is currently conducted through a number of approaches such as the popular searchlight procedure. This is due to several advantages such as being automatic and flexible with regards to size of the search region. However, these approaches suffer from a number of limitations which can lead to misidentification of truly informative regions which in turn results in imprecise information maps. These limitations mainly stem from several factors such as the fact that the information value of the search spheres are assigned to the voxel at the center of them (in case of searchlight), the requirement for manual tuning of parameters such as searchlight radius and shape, and high complexity and low interpretability in commonly used machine learning-based approaches. Other drawbacks include overlooking the structure and interactions within the regions, and the disadvantages of using certain regularization techniques in analysis of datasets with characteristics of common functional magnetic resonance imaging data. In this article, we propose a fully data-driven maximum relevance minimum redundancy search algorithm for detecting precise information value of the clusters within brain regions while alleviating the above-mentioned limitations. Moreover, in order to make the proposed method faster, we propose an efficient algorithmic implementation. We evaluate and compare the proposed algorithm with the searchlight procedure as well as least absolute shrinkage and selection operator regularization-based mapping approach using both real and synthetic datasets. The analysis results of the proposed approach demonstrate higher information detection precision and map specificity compared to the benchmark approaches.

摘要

检测与认知条件区分相关的大脑区域是神经影像学研究中最受关注的目标之一。实现这一目标的一种流行方法是多元模式分析,目前通过多种方法进行,例如流行的搜索光程序。这是由于它具有自动性和灵活性,并且可以灵活调整搜索区域的大小等优点。然而,这些方法存在一些局限性,可能导致对真正有信息的区域的错误识别,从而导致信息图不精确。这些限制主要源于几个因素,例如搜索球体的信息价值被分配给球体中心的体素(在搜索光的情况下),需要手动调整搜索半径和形状等参数,以及在基于机器学习的常用方法中具有较高的复杂性和较低的可解释性。其他缺点包括忽略区域内的结构和相互作用,以及在分析具有常见功能磁共振成像数据特征的数据集时使用某些正则化技术的缺点。在本文中,我们提出了一种完全数据驱动的最大相关性最小冗余搜索算法,用于检测大脑区域内聚类的精确信息值,同时缓解上述限制。此外,为了使提出的方法更快,我们提出了一种有效的算法实现。我们使用真实和合成数据集,将提出的算法与搜索光程序以及基于最小绝对收缩和选择算子正则化的映射方法进行评估和比较。与基准方法相比,所提出方法的分析结果表明其具有更高的信息检测精度和图谱特异性。

https://cdn.ncbi.nlm.nih.gov/pmc/blobs/5c91/7267912/f1f8e16d5803/HBM-41-2263-g001.jpg

文献检索

告别复杂PubMed语法,用中文像聊天一样搜索,搜遍4000万医学文献。AI智能推荐,让科研检索更轻松。

立即免费搜索

文件翻译

保留排版,准确专业,支持PDF/Word/PPT等文件格式,支持 12+语言互译。

免费翻译文档

深度研究

AI帮你快速写综述,25分钟生成高质量综述,智能提取关键信息,辅助科研写作。

立即免费体验