• 文献检索
  • 文档翻译
  • 深度研究
  • 学术资讯
  • Suppr Zotero 插件Zotero 插件
  • 邀请有礼
  • 套餐&价格
  • 历史记录
应用&插件
Suppr Zotero 插件Zotero 插件浏览器插件Mac 客户端Windows 客户端微信小程序
定价
高级版会员购买积分包购买API积分包
服务
文献检索文档翻译深度研究API 文档MCP 服务
关于我们
关于 Suppr公司介绍联系我们用户协议隐私条款
关注我们

Suppr 超能文献

核心技术专利:CN118964589B侵权必究
粤ICP备2023148730 号-1Suppr @ 2026

文献检索

告别复杂PubMed语法,用中文像聊天一样搜索,搜遍4000万医学文献。AI智能推荐,让科研检索更轻松。

立即免费搜索

文件翻译

保留排版,准确专业,支持PDF/Word/PPT等文件格式,支持 12+语言互译。

免费翻译文档

深度研究

AI帮你快速写综述,25分钟生成高质量综述,智能提取关键信息,辅助科研写作。

立即免费体验

二氢黄酮、黄酮和黄酮醇的潜在治疗性抗炎和免疫调节作用

Potential Therapeutic Anti-Inflammatory and Immunomodulatory Effects of Dihydroflavones, Flavones, and Flavonols.

作者信息

Zaragozá Cristina, Villaescusa Lucinda, Monserrat Jorge, Zaragozá Francisco, Álvarez-Mon Melchor

机构信息

Biomedical Sciences Department, Pharmacology Unit, University of Alcalá, Alcalá de Henares, 28871 Madrid, Spain.

Laboratory of Immune System Diseases and Oncology, Department of Medicine and Medical Specialties, University of Alcalá, Alcala de Henares, 28871 Madrid, Spain.

出版信息

Molecules. 2020 Feb 24;25(4):1017. doi: 10.3390/molecules25041017.

DOI:10.3390/molecules25041017
PMID:32102475
原文链接:https://pmc.ncbi.nlm.nih.gov/articles/PMC7070238/
Abstract

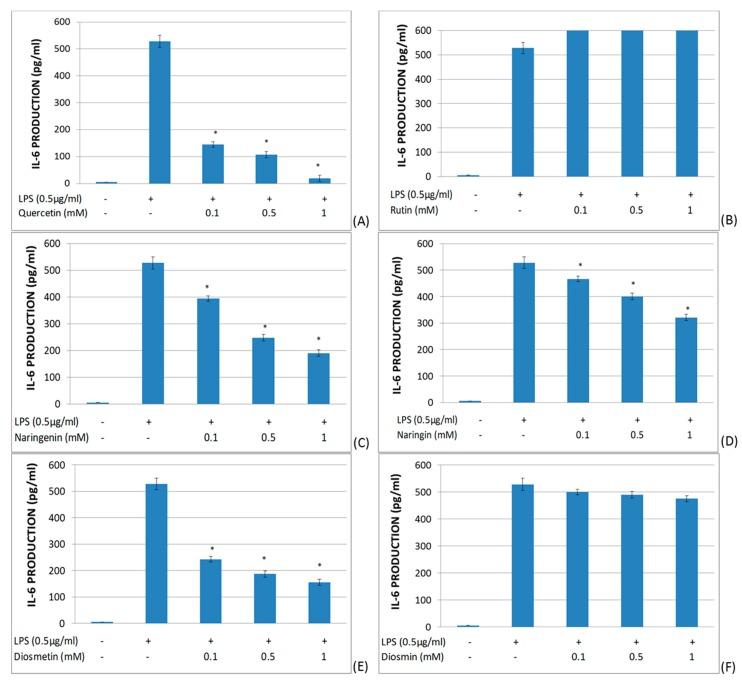
Systemic inflammation, circulating immune cell activation, and endothelial cell damage play a critical role in vascular pathogenesis. Flavonoids have shown anti-inflammatory effects. In this study, we investigated the effects of different flavonoids on the production of pro-inflammatory interleukin (IL) 1β, 6, and 8, and tumor necrosis factor α (TNF-α), in peripheral blood cells. Methods: We studied the whole blood from 36 healthy donors. Lipopolysaccharide (LPS)-stimulated (0.5 μg/mL) whole-blood aliquots were incubated in the presence or absence of different concentrations of quercetin, rutin, naringenin, naringin, diosmetin, and diosmin for 6 h. Cultures were centrifuged and the supernatant was collected in order to measure IL-1β, TNF-α, IL-6, and IL-8 production using specific immunoassay techniques. This production was significantly inhibited by quercetin, naringenin, naringin, and diosmetin, but in no case by rutin or diosmin. Flavonoids exert different effects, maybe due to the differences between aglycons and glucosides present in their chemical structures. However, these studies suggest that quercetin, naringenin, naringin, and diosmetin could have a potential therapeutic effect in the inflammatory process of cardiovascular disease.

摘要

全身炎症、循环免疫细胞活化和内皮细胞损伤在血管发病机制中起关键作用。黄酮类化合物已显示出抗炎作用。在本研究中,我们调查了不同黄酮类化合物对外周血细胞中促炎白细胞介素(IL)-1β、6和8以及肿瘤坏死因子α(TNF-α)产生的影响。方法:我们研究了36名健康供体的全血。在存在或不存在不同浓度的槲皮素、芦丁、柚皮素、柚皮苷、香叶木素和地奥司明的情况下,将脂多糖(LPS)刺激(0.5μg/mL)的全血等分试样孵育6小时。将培养物离心并收集上清液,以便使用特定免疫测定技术测量IL-1β、TNF-α、IL-6和IL-8的产生。槲皮素、柚皮素、柚皮苷和香叶木素可显著抑制这种产生,但芦丁或地奥司明在任何情况下均无此作用。黄酮类化合物发挥不同作用,可能是由于其化学结构中存在的苷元和糖苷之间的差异。然而,这些研究表明,槲皮素、柚皮素、柚皮苷和香叶木素在心血管疾病的炎症过程中可能具有潜在的治疗作用。

https://cdn.ncbi.nlm.nih.gov/pmc/blobs/6f0a/7070238/5f48628f47a1/molecules-25-01017-g006.jpg
https://cdn.ncbi.nlm.nih.gov/pmc/blobs/6f0a/7070238/523f99888468/molecules-25-01017-g001.jpg
https://cdn.ncbi.nlm.nih.gov/pmc/blobs/6f0a/7070238/740ad2b0d230/molecules-25-01017-g002.jpg
https://cdn.ncbi.nlm.nih.gov/pmc/blobs/6f0a/7070238/0e0b7e4da1b6/molecules-25-01017-g003.jpg
https://cdn.ncbi.nlm.nih.gov/pmc/blobs/6f0a/7070238/0b827b972699/molecules-25-01017-g004.jpg
https://cdn.ncbi.nlm.nih.gov/pmc/blobs/6f0a/7070238/9a1f8320fdd0/molecules-25-01017-g005.jpg
https://cdn.ncbi.nlm.nih.gov/pmc/blobs/6f0a/7070238/5f48628f47a1/molecules-25-01017-g006.jpg
https://cdn.ncbi.nlm.nih.gov/pmc/blobs/6f0a/7070238/523f99888468/molecules-25-01017-g001.jpg
https://cdn.ncbi.nlm.nih.gov/pmc/blobs/6f0a/7070238/740ad2b0d230/molecules-25-01017-g002.jpg
https://cdn.ncbi.nlm.nih.gov/pmc/blobs/6f0a/7070238/0e0b7e4da1b6/molecules-25-01017-g003.jpg
https://cdn.ncbi.nlm.nih.gov/pmc/blobs/6f0a/7070238/0b827b972699/molecules-25-01017-g004.jpg
https://cdn.ncbi.nlm.nih.gov/pmc/blobs/6f0a/7070238/9a1f8320fdd0/molecules-25-01017-g005.jpg
https://cdn.ncbi.nlm.nih.gov/pmc/blobs/6f0a/7070238/5f48628f47a1/molecules-25-01017-g006.jpg

相似文献

1
Potential Therapeutic Anti-Inflammatory and Immunomodulatory Effects of Dihydroflavones, Flavones, and Flavonols.二氢黄酮、黄酮和黄酮醇的潜在治疗性抗炎和免疫调节作用
Molecules. 2020 Feb 24;25(4):1017. doi: 10.3390/molecules25041017.
2
Interactions of beta-carotene and flavonoids on the secretion of pro-inflammatory mediators in an in vitro system.β-胡萝卜素与类黄酮在体外系统中对促炎介质分泌的相互作用。
Chem Biol Interact. 2009 May 15;179(2-3):386-93. doi: 10.1016/j.cbi.2008.12.006. Epub 2008 Dec 16.
3
Assessment of anti-inflammatory and antioxidant activity of quercetin-rutin blend (SophorOx™) - an cell based assay.槲皮素-芦丁混合物(SophorOx™)抗炎抗氧化活性评估-基于细胞的检测方法。
J Complement Integr Med. 2022 Feb 18;19(3):637-644. doi: 10.1515/jcim-2021-0568. eCollection 2022 Sep 1.
4
Anti-inflammatory activity of IL-37 in asthmatic children: Correlation with inflammatory cytokines TNF-α, IL-β, IL-6 and IL-17A.IL-37在哮喘儿童中的抗炎活性:与炎性细胞因子TNF-α、IL-β、IL-6和IL-17A的相关性
Immunobiology. 2016 Feb;221(2):182-7. doi: 10.1016/j.imbio.2015.09.009. Epub 2015 Sep 8.
5
The role of quercetin, flavonols and flavones in modulating inflammatory cell function.槲皮素、黄酮醇和黄酮在调节炎症细胞功能中的作用。
Inflamm Allergy Drug Targets. 2010 Sep;9(4):263-85. doi: 10.2174/187152810793358741.
6
Dihydroxylated phenolic acids derived from microbial metabolism reduce lipopolysaccharide-stimulated cytokine secretion by human peripheral blood mononuclear cells.微生物代谢产生的二羟基化酚酸可减少脂多糖刺激的人外周血单核细胞分泌细胞因子。
Br J Nutr. 2009 Jul;102(2):201-6. doi: 10.1017/S0007114508162110.
7
Effects of the second-generation synthetic lipid A analogue E5564 on responses to endotoxin in [corrected] equine whole blood and monocytes.第二代合成类脂A类似物E5564对[校正后]马全血和单核细胞内毒素反应的影响。
Am J Vet Res. 2008 Jun;69(6):796-803. doi: 10.2460/ajvr.69.6.796.
8
Concentration-dependent roles for heparin in modifying lipopolysaccharide-induced activation of mononuclear cells in whole blood.肝素在调节脂多糖诱导的全血单核细胞活化中的浓度依赖性作用。
Thromb Haemost. 2008 Mar;99(3):570-5. doi: 10.1160/TH07-06-0424.
9
Inhibition of Proinflammatory Cytokine Release by Flavones and Flavanones from the Leaves of Dracaena steudneri Engl.瑞香科缬草属 Dracaena steudneri Engl. 叶中类黄酮和黄烷酮抑制促炎细胞因子释放
Planta Med. 2021 Mar;87(3):209-217. doi: 10.1055/a-1306-1368. Epub 2020 Dec 7.
10
Binding and antiplatelet activity of quercetin, rutin, diosmetin, and diosmin flavonoids.槲皮素、芦丁、香叶木素和橙皮苷黄酮的结合和抗血小板活性。
Biomed Pharmacother. 2021 Sep;141:111867. doi: 10.1016/j.biopha.2021.111867. Epub 2021 Jul 3.

引用本文的文献

1
Endothelial and Cardiovascular Effects of Naringin: A Systematic Review.柚皮苷对内皮细胞和心血管系统的影响:一项系统综述。
Nutrients. 2025 Aug 17;17(16):2658. doi: 10.3390/nu17162658.
2
Dihydromyricetin/Protein Pickering Emulsions: Interfacial Behavior, Rheology, and Bioaccessibility.二氢杨梅素/蛋白质皮克林乳液:界面行为、流变学及生物可及性
Foods. 2025 Jul 18;14(14):2520. doi: 10.3390/foods14142520.
3
Spent Hop ( L.) Extract and Its Flaxseed Polysaccharide-Based Encapsulates Attenuate Inflammatory Bowel Diseases Through the Nuclear Factor-Kappa B, Extracellular Signal-Regulated Kinase, and Protein Kinase B Signalling Pathways.

本文引用的文献

1
Neuroprotective Effects of Quercetin in Alzheimer's Disease.槲皮素在阿尔茨海默病中的神经保护作用。
Biomolecules. 2019 Dec 30;10(1):59. doi: 10.3390/biom10010059.
2
Tissue-level inflammation and ventricular remodeling in hypertrophic cardiomyopathy.肥厚型心肌病中的组织水平炎症和心室重构。
J Thromb Thrombolysis. 2020 Feb;49(2):177-183. doi: 10.1007/s11239-019-02026-1.
3
The Interaction of Flavonols with Membrane Components: Potential Effect on Antioxidant Activity.黄酮醇与膜成分的相互作用:对抗氧化活性的潜在影响。
废啤酒花(L.)提取物及其基于亚麻籽多糖的包封物通过核因子-κB、细胞外信号调节激酶和蛋白激酶B信号通路减轻炎症性肠病
Cells. 2025 Jul 17;14(14):1099. doi: 10.3390/cells14141099.
4
Pomelo Peel and Soybean Meal Fermented Compound as Feedstuff for Large Yellow Croaker (): A Study on Growth and Intestinal Health.柚皮与豆粕发酵复合物作为大黄鱼饲料的研究():生长与肠道健康研究
Aquac Nutr. 2025 Jul 11;2025:6556868. doi: 10.1155/anu/6556868. eCollection 2025.
5
Bioactive components and clinical potential of species.物种的生物活性成分与临床潜力。
Front Pharmacol. 2025 May 16;16:1585697. doi: 10.3389/fphar.2025.1585697. eCollection 2025.
6
Modification of biopharmaceutical parameters of flavonoids: a review.黄酮类化合物生物制药参数的修饰:综述
Front Chem. 2025 Apr 29;13:1602967. doi: 10.3389/fchem.2025.1602967. eCollection 2025.
7
Organic Functional Groups and Their Substitution Sites in Natural Flavonoids: A Review on Their Contributions to Antioxidant, Anti-Inflammatory, and Analgesic Capabilities.天然黄酮类化合物中的有机官能团及其取代位点:关于它们对抗氧化、抗炎和镇痛能力贡献的综述
Food Sci Nutr. 2025 Apr 30;13(5):e70191. doi: 10.1002/fsn3.70191. eCollection 2025 May.
8
Anti-Epstein-Barr Virus Activities of Flavones and Flavonols with Effects on Virus-Related Cancers.黄酮类和黄酮醇类化合物的抗爱泼斯坦-巴尔病毒活性及其对病毒相关癌症的影响
Molecules. 2025 Feb 26;30(5):1058. doi: 10.3390/molecules30051058.
9
Inhibitory effects of nafcillin and diosmin on biofilm formation by Salmonella Typhimurium.萘夫西林和地奥司明对鼠伤寒沙门氏菌生物膜形成的抑制作用。
BMC Microbiol. 2024 Dec 18;24(1):522. doi: 10.1186/s12866-024-03646-1.
10
Determination of Biologically Active Compounds and Antioxidant Capacity In Vitro in Fruit of Small Cranberries ( L.) Growing in Natural Habitats in Lithuania.立陶宛自然栖息地生长的小红莓果实中生物活性化合物的测定及体外抗氧化能力分析
Antioxidants (Basel). 2024 Aug 28;13(9):1045. doi: 10.3390/antiox13091045.
J Membr Biol. 2020 Feb;253(1):57-71. doi: 10.1007/s00232-019-00105-1. Epub 2020 Jan 2.
4
Identification and characterization of chemical components in the bioactive fractions of that possess anticancer activity.鉴定和表征具有抗癌活性的生物活性部位中的化学成分。
Int J Biol Sci. 2020 Jan 1;16(1):61-73. doi: 10.7150/ijbs.38475. eCollection 2020.
5
Protective effects of a polyphenol-enriched fraction of the fruit peel of Annona crassiflora Mart. on acute and persistent inflammatory pain.富含安农西亚红厚壳果果皮多酚的部分对急性和持续性炎症性疼痛的保护作用。
Inflammopharmacology. 2020 Jun;28(3):759-771. doi: 10.1007/s10787-019-00673-7. Epub 2019 Dec 16.
6
Current Position on the Role of Monomeric C-reactive Protein in Vascular Pathology and Atherothrombosis.单体 C 反应蛋白在血管病理学和动脉血栓形成中的作用的当前立场。
Curr Pharm Des. 2020;26(1):37-43. doi: 10.2174/1381612825666191216144055.
7
Abnormal Distribution and Function of Circulating Monocytes and Enhanced Bacterial Translocation in Major Depressive Disorder.重度抑郁症患者循环单核细胞的异常分布与功能及细菌易位增强
Front Psychiatry. 2019 Nov 15;10:812. doi: 10.3389/fpsyt.2019.00812. eCollection 2019.
8
Anti-Inflammatory Derivatives with Dual Mechanism of Action from the Metabolomic Screening of .从代谢组学筛选中得到具有双重作用机制的抗炎衍生物。
Molecules. 2019 Nov 29;24(23):4375. doi: 10.3390/molecules24234375.
9
In vivo formed metabolites of polyphenols and their biological efficacy.多酚的体内形成代谢物及其生物功效。
Food Funct. 2019 Nov 1;10(11):6999-7021. doi: 10.1039/c9fo01733j. Epub 2019 Oct 29.
10
The pharmacokinetics of flavanones.黄烷酮类的药代动力学。
Crit Rev Food Sci Nutr. 2020;60(18):3155-3171. doi: 10.1080/10408398.2019.1679085. Epub 2019 Oct 25.