• 文献检索
  • 文档翻译
  • 深度研究
  • 学术资讯
  • Suppr Zotero 插件Zotero 插件
  • 邀请有礼
  • 套餐&价格
  • 历史记录
应用&插件
Suppr Zotero 插件Zotero 插件浏览器插件Mac 客户端Windows 客户端微信小程序
定价
高级版会员购买积分包购买API积分包
服务
文献检索文档翻译深度研究API 文档MCP 服务
关于我们
关于 Suppr公司介绍联系我们用户协议隐私条款
关注我们

Suppr 超能文献

核心技术专利:CN118964589B侵权必究
粤ICP备2023148730 号-1Suppr @ 2026

文献检索

告别复杂PubMed语法,用中文像聊天一样搜索,搜遍4000万医学文献。AI智能推荐,让科研检索更轻松。

立即免费搜索

文件翻译

保留排版,准确专业,支持PDF/Word/PPT等文件格式,支持 12+语言互译。

免费翻译文档

深度研究

AI帮你快速写综述,25分钟生成高质量综述,智能提取关键信息,辅助科研写作。

立即免费体验

老年人血浆中循环微RNA水平随肌肉减少症而降低。

Circulating MicroRNAs in Plasma Decrease in Response to Sarcopenia in the Elderly.

作者信息

He Nana, Zhang Yue Lin, Zhang Yue, Feng Beili, Zheng Zaixing, Wang Dongjuan, Zhang Shun, Guo Qi, Ye Honghua

机构信息

Department of Experimental Medical Science, HwaMei Hospital, University of Chinese Academy of Sciences, Ningbo, China.

Key Laboratory of Diagnosis and Treatment of Digestive System Tumors of Zhejiang Province, Ningbo, China.

出版信息

Front Genet. 2020 Mar 5;11:167. doi: 10.3389/fgene.2020.00167. eCollection 2020.

DOI:10.3389/fgene.2020.00167
PMID:32194634
原文链接:https://pmc.ncbi.nlm.nih.gov/articles/PMC7066121/
Abstract

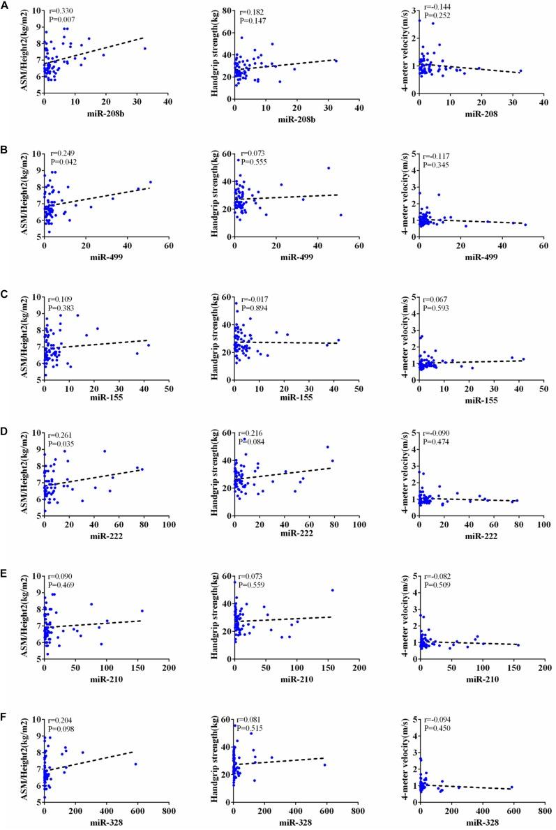
sarcopenia has been defined as the aging-related disease with the declined mass, strength, and function of skeletal muscle, which is a major cause of morbidity and mortality in elders. Current diagnostic criteria of sarcopenia have not been agreed internationally, and the clinical diagnostic biomarkers for sarcopenia have not been identified. Circulating miRNAs (miRNAs, miRs) have recently been characterized as novel biomarkers for sarcopenia. However, the change of circulating miRNAs in response to sarcopenia are still not fully understood. Here, we enrolled a total of 93 elderly patients clinically diagnosed with sarcopenia and matching 93 non-sarcopenia elderly in this study. Specifically, levels of candidate circulating miRNAs which were involved in angiogenesis, inflammation and enriched in muscle and/or cardiac tissues were detected in these two groups. In small-sample screening experiments, plasma miR-155, miR-208b, miR-222, miR-210, miR-328, and miR-499 levels were significantly down-regulated in sarcopenia compared to those who non-sarcopenia. In contrast, miR-1, mir-133a, miR-133b, miR-21, miR-146a, miR-126, miR-221, and miR-20a were not changed significantly. Subsequently, we expanded the sample size to further detection and verification, and found that plasma miR-155, miR-208b, miR-222, miR-210, miR-328, and miR-499 levels in the sarcopenia group were significantly reduced compared to the non-sarcoma group, which is consistent with the results of the small-sample screening experiment. In addition, we showed that ASM/Height2, handgrip strength, knee extension and 4-meter velocity in sarcopenia group were significantly lower than those in non-sarcopenia group. Here we correlated the decrease of miR-208b, miR-499, miR-155, miR-222, miR-328, and miR-210 in sarcopenia group and non-sarcopenia group with diagnostic indexes of sarcopenia (ASM/Height2, Handgrip strength and 4-meter velocity) after adjusting sex. The results showed that miR-208b and miR-155 changes were significantly correlated with handgrip strength in woman, miR-208b, miR-499, and miR-222 changes were significantly correlated with ASM/Height2 in man, while other miRNAs changes did not show a strong correlation with these diagnostic indexes. In conclusion, plasma miR-208b, miR-499, miR-155, miR-222, miR-328, and miR-210 decrease in response to sarcopenia in the elderly. Although further studies are needed to clarify the potential use of circulating miRNAs as biomarkers of sarcopenia, present findings set the stage for defining circulating miRNAs as biomarkers and suggesting their physiological roles in elderly with sarcopenia.

摘要

肌肉减少症被定义为与衰老相关的疾病,其特征是骨骼肌质量、力量和功能下降,这是老年人发病和死亡的主要原因。目前,肌肉减少症的诊断标准尚未在国际上达成共识,且尚未确定肌肉减少症的临床诊断生物标志物。循环微RNA(miRNA,miRs)最近被鉴定为肌肉减少症的新型生物标志物。然而,循环miRNA对肌肉减少症的反应变化仍未完全了解。在本研究中,我们共纳入了93例临床诊断为肌肉减少症的老年患者,并匹配了93例非肌肉减少症老年人。具体而言,在这两组中检测了参与血管生成、炎症且在肌肉和/或心脏组织中富集的候选循环miRNA水平。在小样本筛选实验中,与非肌肉减少症患者相比,肌肉减少症患者血浆中miR-155、miR-208b、miR-222、miR-210、miR-328和miR-499水平显著下调。相比之下,miR-1、mir-133a、miR-133b、miR-21、miR-146a、miR-126、miR-221和miR-20a无显著变化。随后,我们扩大样本量进行进一步检测和验证,发现肌肉减少症组血浆中miR-155、miR-208b、miR-222、miR-210、miR-328和miR-499水平显著低于非肌肉减少症组,这与小样本筛选实验结果一致。此外,我们发现肌肉减少症组的四肢骨骼肌质量/身高²、握力、膝关节伸展和4米步行速度显著低于非肌肉减少症组。在此,我们在调整性别后,将肌肉减少症组和非肌肉减少症组中miR-208b、miR-499、miR-155、miR-222、miR-328和miR-210的降低与肌肉减少症的诊断指标(四肢骨骼肌质量/身高²、握力和4米步行速度)进行关联。结果显示,miR-208b和miR-155的变化与女性握力显著相关,miR-208b、miR-499和miR-222的变化与男性四肢骨骼肌质量/身高²显著相关,而其他miRNA变化与这些诊断指标无强相关性。总之,老年人肌肉减少症会导致血浆中miR-208b、miR-499、miR-155、miR-222、miR-328和miR-210降低。尽管需要进一步研究以阐明循环miRNA作为肌肉减少症生物标志物的潜在用途,但目前的研究结果为将循环miRNA定义为生物标志物并揭示其在肌肉减少症老年人中的生理作用奠定了基础。

https://cdn.ncbi.nlm.nih.gov/pmc/blobs/04b8/7066121/da48ec3bf404/fgene-11-00167-g004.jpg
https://cdn.ncbi.nlm.nih.gov/pmc/blobs/04b8/7066121/bfeb59b9f05a/fgene-11-00167-g001.jpg
https://cdn.ncbi.nlm.nih.gov/pmc/blobs/04b8/7066121/7a18b13cafee/fgene-11-00167-g002.jpg
https://cdn.ncbi.nlm.nih.gov/pmc/blobs/04b8/7066121/433a378d978f/fgene-11-00167-g003.jpg
https://cdn.ncbi.nlm.nih.gov/pmc/blobs/04b8/7066121/da48ec3bf404/fgene-11-00167-g004.jpg
https://cdn.ncbi.nlm.nih.gov/pmc/blobs/04b8/7066121/bfeb59b9f05a/fgene-11-00167-g001.jpg
https://cdn.ncbi.nlm.nih.gov/pmc/blobs/04b8/7066121/7a18b13cafee/fgene-11-00167-g002.jpg
https://cdn.ncbi.nlm.nih.gov/pmc/blobs/04b8/7066121/433a378d978f/fgene-11-00167-g003.jpg
https://cdn.ncbi.nlm.nih.gov/pmc/blobs/04b8/7066121/da48ec3bf404/fgene-11-00167-g004.jpg

相似文献

1
Circulating MicroRNAs in Plasma Decrease in Response to Sarcopenia in the Elderly.老年人血浆中循环微RNA水平随肌肉减少症而降低。
Front Genet. 2020 Mar 5;11:167. doi: 10.3389/fgene.2020.00167. eCollection 2020.
2
Increasing Fracture Risk Associates With Plasma Circulating MicroRNAs in Aging People's Sarcopenia.骨折风险增加与老年人肌肉减少症中的血浆循环微小RNA相关。
Front Physiol. 2021 Jun 7;12:678610. doi: 10.3389/fphys.2021.678610. eCollection 2021.
3
Circulating MicroRNA-486 and MicroRNA-146a serve as potential biomarkers of sarcopenia in the older adults.循环 microRNA-486 和 microRNA-146a 可作为老年人肌少症的潜在生物标志物。
BMC Geriatr. 2021 Jan 30;21(1):86. doi: 10.1186/s12877-021-02040-0.
4
Circulating miR-29b decrease in response to sarcopenia in patients with cardiovascular risk factors in older Chinese.在中国老年心血管疾病风险患者中,循环miR-29b水平会因肌肉减少症而降低。
Front Cardiovasc Med. 2022 Dec 20;9:1094388. doi: 10.3389/fcvm.2022.1094388. eCollection 2022.
5
Circulating microRNAs in Response to Exercise Training in Healthy Adults.健康成年人运动训练后循环微RNA的变化
Front Genet. 2020 Mar 18;11:256. doi: 10.3389/fgene.2020.00256. eCollection 2020.
6
Circulatory microRNAs are not effective biomarkers of muscle size and function in middle-aged men.循环 microRNAs 不是中年男性肌肉大小和功能的有效生物标志物。
Am J Physiol Cell Physiol. 2019 Feb 1;316(2):C293-C298. doi: 10.1152/ajpcell.00395.2018. Epub 2019 Jan 2.
7
Circulating MicroRNAs as Biomarkers of Accelerated Sarcopenia in Chronic Heart Failure.循环 microRNAs 作为慢性心力衰竭加速性肌少症的生物标志物。
Glob Heart. 2021 Aug 30;16(1):56. doi: 10.5334/gh.943. eCollection 2021.
8
The Severity of Muscle Performance Deterioration in Sarcopenia Correlates With Circulating Muscle Tissue-Specific miRNAs.肌肉减少症中肌肉性能恶化的严重程度与循环肌肉组织特异性 miRNAs 相关。
Physiol Res. 2021 Nov 30;70(Suppl 1):S91-S98.
9
Dynamic Regulation of Circulating microRNAs During Acute Exercise and Long-Term Exercise Training in Basketball Athletes.篮球运动员急性运动和长期运动训练期间循环微RNA的动态调控
Front Physiol. 2018 Mar 26;9:282. doi: 10.3389/fphys.2018.00282. eCollection 2018.
10
Expression Patterns of Muscle-Specific miR-133b and miR-206 Correlate with Nutritional Status and Sarcopenia.肌肉特异性 miR-133b 和 miR-206 的表达模式与营养状况和肌肉减少症相关。
Nutrients. 2020 Jan 22;12(2):297. doi: 10.3390/nu12020297.

引用本文的文献

1
Circulating miR-144-3p as a Novel Independent Biomarker Associated With Low Muscle Strength Among Older Adults.循环miR-144-3p作为老年人肌肉力量低下相关的新型独立生物标志物
J Cachexia Sarcopenia Muscle. 2025 Aug;16(4):e70026. doi: 10.1002/jcsm.70026.
2
Molecular constraints of sarcopenia in the ageing muscle.衰老肌肉中肌肉减少症的分子限制因素
Front Aging. 2025 Jul 3;6:1588014. doi: 10.3389/fragi.2025.1588014. eCollection 2025.
3
Molecular mechanisms and therapeutic strategies of gut microbiota modulation in Sarcopenia (Review).

本文引用的文献

1
Defining sarcopenia: some caveats and challenges.定义肌肉减少症:一些注意事项和挑战。
Curr Opin Clin Nutr Metab Care. 2020 Mar;23(2):127-132. doi: 10.1097/MCO.0000000000000621.
2
Sarcopenia Indicators as Predictors of Functional Decline and Need for Care among Older People.肌少症指标可预测老年人的功能下降和护理需求。
J Nutr Health Aging. 2019;23(10):916-922. doi: 10.1007/s12603-019-1280-0.
3
Sarcopenia for predicting falls and hospitalization in community-dwelling older adults: EWGSOP versus EWGSOP2.肌少症预测社区居住老年人跌倒和住院:EWGSOP 与 EWGSOP2。
肌肉减少症中肠道微生物群调节的分子机制和治疗策略(综述)
Oncol Lett. 2024 Dec 17;29(3):104. doi: 10.3892/ol.2024.14850. eCollection 2025 Mar.
4
Association of circulating hsa-miRNAs with sarcopenia: the SarcoPhAge study.循环 hsa-miRNAs 与肌肉减少症的关联:SarcoPhAge 研究。
Aging Clin Exp Res. 2024 Mar 14;36(1):70. doi: 10.1007/s40520-024-02711-z.
5
Diagnostic Criteria and Measurement Techniques of Sarcopenia: A Critical Evaluation of the Up-to-Date Evidence.肌少症的诊断标准和测量技术:对最新证据的批判性评估。
Nutrients. 2024 Feb 1;16(3):436. doi: 10.3390/nu16030436.
6
Plasma microRNA signature associated with skeletal muscle wasting in post-menopausal osteoporotic women.与绝经后骨质疏松症妇女骨骼肌减少相关的血浆 microRNA 特征。
J Cachexia Sarcopenia Muscle. 2024 Apr;15(2):690-701. doi: 10.1002/jcsm.13421. Epub 2024 Jan 25.
7
The role of non-coding RNAs in muscle aging: regulatory mechanisms and therapeutic potential.非编码RNA在肌肉衰老中的作用:调控机制与治疗潜力
Front Mol Biosci. 2024 Jan 9;10:1308274. doi: 10.3389/fmolb.2023.1308274. eCollection 2023.
8
Circulating cell-free nucleic acids of plasma in human aging, healthy aging and longevity: current state of knowledge.人类衰老、健康衰老和长寿过程中血浆循环游离核酸:知识现状
Front Genet. 2023 Nov 28;14:1321280. doi: 10.3389/fgene.2023.1321280. eCollection 2023.
9
Sharing Circulating Micro-RNAs between Osteoporosis and Sarcopenia: A Systematic Review.骨质疏松症与肌肉减少症之间循环微小RNA的共享:一项系统综述
Life (Basel). 2023 Feb 21;13(3):602. doi: 10.3390/life13030602.
10
Empagliflozin Improves the MicroRNA Signature of Endothelial Dysfunction in Patients with Heart Failure with Preserved Ejection Fraction and Diabetes.恩格列净改善射血分数保留的心力衰竭合并糖尿病患者内皮功能障碍的微小 RNA 特征。
J Pharmacol Exp Ther. 2023 Jan;384(1):116-122. doi: 10.1124/jpet.121.001251. Epub 2022 Jul 25.
Sci Rep. 2019 Nov 27;9(1):17636. doi: 10.1038/s41598-019-53522-6.
4
Muscle mass adjustment method affects association of sarcopenia and sarcopenic obesity with metabolic syndrome.肌肉量调整方法影响肌肉减少症和肌肉减少性肥胖与代谢综合征的关联。
Geriatr Gerontol Int. 2019 Mar;19(3):272. doi: 10.1111/ggi.13609.
5
A Cross-Sectional Study of the Association between Arterial Stiffness and Sarcopenia in Chinese Community-Dwelling Elderly Using the Asian Working Group for Sarcopenia Criteria.基于亚洲肌少症工作组标准的中国社区老年人动脉僵硬度与肌少症相关性的横断面研究。
J Nutr Health Aging. 2019;23(2):195-201. doi: 10.1007/s12603-018-1147-9.
6
MicroRNAs in heart and circulation during physical exercise.体育锻炼期间心脏和循环系统中的微小RNA
J Sport Health Sci. 2018 Oct;7(4):433-441. doi: 10.1016/j.jshs.2018.09.008. Epub 2018 Sep 25.
7
The effect of fitness level on cardiac autonomic regulation, IL-6, total antioxidant capacity, and muscle damage responses to a single bout of high-intensity interval training.体能水平对心脏自主神经调节、白细胞介素-6、总抗氧化能力以及单次高强度间歇训练的肌肉损伤反应的影响。
J Sport Health Sci. 2018 Jul;7(3):363-371. doi: 10.1016/j.jshs.2016.11.001. Epub 2016 Nov 3.
8
Sarcopenia: revised European consensus on definition and diagnosis.肌少症:定义和诊断的欧洲共识修订版。
Age Ageing. 2019 Jan 1;48(1):16-31. doi: 10.1093/ageing/afy169.
9
MicroRNAs in Skeletal Muscle Aging: Current Issues and Perspectives.骨骼肌衰老中的 microRNAs:当前问题与展望。
J Gerontol A Biol Sci Med Sci. 2019 Jun 18;74(7):1008-1014. doi: 10.1093/gerona/gly207.
10
Potential Role of MicroRNA in the Anabolic Capacity of Skeletal Muscle With Aging.微小 RNA 在衰老骨骼肌合成代谢能力中的潜在作用。
Exerc Sport Sci Rev. 2018 Apr;46(2):86-91. doi: 10.1249/JES.0000000000000147.