• 文献检索
  • 文档翻译
  • 深度研究
  • 学术资讯
  • Suppr Zotero 插件Zotero 插件
  • 邀请有礼
  • 套餐&价格
  • 历史记录
应用&插件
Suppr Zotero 插件Zotero 插件浏览器插件Mac 客户端Windows 客户端微信小程序
定价
高级版会员购买积分包购买API积分包
服务
文献检索文档翻译深度研究API 文档MCP 服务
关于我们
关于 Suppr公司介绍联系我们用户协议隐私条款
关注我们

Suppr 超能文献

核心技术专利:CN118964589B侵权必究
粤ICP备2023148730 号-1Suppr @ 2026

文献检索

告别复杂PubMed语法,用中文像聊天一样搜索,搜遍4000万医学文献。AI智能推荐,让科研检索更轻松。

立即免费搜索

文件翻译

保留排版,准确专业,支持PDF/Word/PPT等文件格式,支持 12+语言互译。

免费翻译文档

深度研究

AI帮你快速写综述,25分钟生成高质量综述,智能提取关键信息,辅助科研写作。

立即免费体验

探索超声、微波和超声-微波辅助提取技术以提高褐藻中生物活性化合物和抗氧化剂的提取率。

Exploring Ultrasound, Microwave and Ultrasound-Microwave Assisted Extraction Technologies to Increase the Extraction of Bioactive Compounds and Antioxidants from Brown Macroalgae.

机构信息

School of Agriculture and Food Science, University College Dublin, Dublin 4 Belfield, Ireland.

TEAGASC Food Research Centre, Dublin 15 Ashtown, Ireland.

出版信息

Mar Drugs. 2020 Mar 20;18(3):172. doi: 10.3390/md18030172.

DOI:10.3390/md18030172
PMID:32244865
原文链接:https://pmc.ncbi.nlm.nih.gov/articles/PMC7142542/
Abstract

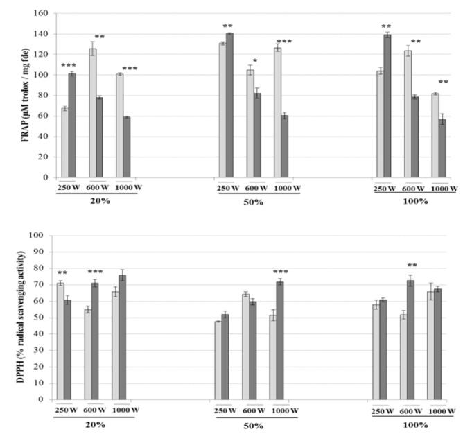
This study aims to determine the influence of (1) ultrasound-assisted extraction (UAE), (2) microwave-assisted extraction (MAE) and (3) a combination of ultrasound-microwave-assisted extraction (UMAE) on the yields of fucose-sulphated polysaccharides (FSPs), total soluble carbohydrates and antioxidants extracted from . Scanning electron microscopy (SEM) was used to evaluate the influence of the extraction technologies on the surface of macroalgae while principal component analysis was used to assess the influence of the extraction forces on the yields of compounds. UMAE generated higher yields of compounds compared to UAE and MAE methods separately. The maximum yields of compounds achieved using UMAE were: FSPs (3533.75 ± 55.81 mg fucose/100 g dried macroalgae (dm)), total soluble carbohydrates (10408.72 ± 229.11 mg glucose equivalents/100 g dm) and phenolic compounds (2605.89 ± 192.97 mg gallic acid equivalents/100 g dm). The antioxidant properties of the extracts showed no clear trend or extreme improvements by using UAE, MAE or UMAE. The macroalgal cells were strongly altered by the application of MAE and UMAE, as revealed by the SEM images. Further research will be needed to understand the combined effect of sono-generated and microwave-induced modifications on macroalgae that will allow us to tailor the forces of extraction to target specific molecules.

摘要

本研究旨在确定(1)超声辅助提取(UAE)、(2)微波辅助提取(MAE)和(3)超声-微波辅助提取(UMAE)组合对从 中提取的岩藻糖硫酸多糖(FSPs)、总可溶性碳水化合物和抗氧化剂产率的影响。扫描电子显微镜(SEM)用于评估提取技术对大型藻类表面的影响,而主成分分析用于评估提取力对化合物产率的影响。与 UAE 和 MAE 方法相比,UMAE 产生了更高的化合物产率。使用 UMAE 获得的化合物的最高产率为:FSPs(3533.75 ± 55.81 mg 岩藻糖/100 g 干大型藻类(dm))、总可溶性碳水化合物(10408.72 ± 229.11 mg 葡萄糖当量/100 g dm)和酚类化合物(2605.89 ± 192.97 mg 没食子酸当量/100 g dm)。提取物的抗氧化性能通过 UAE、MAE 或 UMAE 的使用并没有显示出明显的趋势或极端改善。正如 SEM 图像所显示的那样,MAE 和 UMAE 的应用强烈改变了大型藻类的细胞。需要进一步的研究来了解声产生的和微波诱导的修饰对大型藻类的综合影响,这将使我们能够将提取力调整为针对特定分子。

https://cdn.ncbi.nlm.nih.gov/pmc/blobs/b2a4/7142542/ebe270325845/marinedrugs-18-00172-g008.jpg
https://cdn.ncbi.nlm.nih.gov/pmc/blobs/b2a4/7142542/89cc32b4416e/marinedrugs-18-00172-g001.jpg
https://cdn.ncbi.nlm.nih.gov/pmc/blobs/b2a4/7142542/b0045c378670/marinedrugs-18-00172-g002.jpg
https://cdn.ncbi.nlm.nih.gov/pmc/blobs/b2a4/7142542/ed679bcdf16b/marinedrugs-18-00172-g003.jpg
https://cdn.ncbi.nlm.nih.gov/pmc/blobs/b2a4/7142542/3c1e8afb6296/marinedrugs-18-00172-g004.jpg
https://cdn.ncbi.nlm.nih.gov/pmc/blobs/b2a4/7142542/e0611329b7f5/marinedrugs-18-00172-g005.jpg
https://cdn.ncbi.nlm.nih.gov/pmc/blobs/b2a4/7142542/1b0209a27c6d/marinedrugs-18-00172-g006.jpg
https://cdn.ncbi.nlm.nih.gov/pmc/blobs/b2a4/7142542/b4890c64d3d1/marinedrugs-18-00172-g007.jpg
https://cdn.ncbi.nlm.nih.gov/pmc/blobs/b2a4/7142542/ebe270325845/marinedrugs-18-00172-g008.jpg
https://cdn.ncbi.nlm.nih.gov/pmc/blobs/b2a4/7142542/89cc32b4416e/marinedrugs-18-00172-g001.jpg
https://cdn.ncbi.nlm.nih.gov/pmc/blobs/b2a4/7142542/b0045c378670/marinedrugs-18-00172-g002.jpg
https://cdn.ncbi.nlm.nih.gov/pmc/blobs/b2a4/7142542/ed679bcdf16b/marinedrugs-18-00172-g003.jpg
https://cdn.ncbi.nlm.nih.gov/pmc/blobs/b2a4/7142542/3c1e8afb6296/marinedrugs-18-00172-g004.jpg
https://cdn.ncbi.nlm.nih.gov/pmc/blobs/b2a4/7142542/e0611329b7f5/marinedrugs-18-00172-g005.jpg
https://cdn.ncbi.nlm.nih.gov/pmc/blobs/b2a4/7142542/1b0209a27c6d/marinedrugs-18-00172-g006.jpg
https://cdn.ncbi.nlm.nih.gov/pmc/blobs/b2a4/7142542/b4890c64d3d1/marinedrugs-18-00172-g007.jpg
https://cdn.ncbi.nlm.nih.gov/pmc/blobs/b2a4/7142542/ebe270325845/marinedrugs-18-00172-g008.jpg

相似文献

1
Exploring Ultrasound, Microwave and Ultrasound-Microwave Assisted Extraction Technologies to Increase the Extraction of Bioactive Compounds and Antioxidants from Brown Macroalgae.探索超声、微波和超声-微波辅助提取技术以提高褐藻中生物活性化合物和抗氧化剂的提取率。
Mar Drugs. 2020 Mar 20;18(3):172. doi: 10.3390/md18030172.
2
Evaluation of Ultrasound, Microwave, Ultrasound-Microwave, Hydrothermal and High Pressure Assisted Extraction Technologies for the Recovery of Phytochemicals and Antioxidants from Brown Macroalgae.超声、微波、超声-微波、水热和高压辅助提取技术从褐藻中回收植物化学物质和抗氧化剂的评价。
Mar Drugs. 2021 May 27;19(6):309. doi: 10.3390/md19060309.
3
Enhancing the Extraction of Polysaccharides and Antioxidants from Macroalgae Using Sequential Hydrothermal-Assisted Extraction Followed by Ultrasound and Thermal Technologies.采用顺序水热辅助提取、超声和热技术增强大型海藻中多糖和抗氧化剂的提取。
Mar Drugs. 2019 Aug 5;17(8):457. doi: 10.3390/md17080457.
4
A Critical Comparison of the Advanced Extraction Techniques Applied to Obtain Health-Promoting Compounds from Seaweeds.先进提取技术在从海藻中获取促进健康的化合物方面的比较研究
Mar Drugs. 2022 Oct 28;20(11):677. doi: 10.3390/md20110677.
5
Sequential ultrasound-microwave assisted acid extraction (UMAE) of pectin from pomelo peels.采用顺序超声-微波辅助酸提法从柚皮中提取果胶。
Int J Biol Macromol. 2016 Dec;93(Pt A):426-435. doi: 10.1016/j.ijbiomac.2016.08.065. Epub 2016 Aug 24.
6
Optimization of water-based ultrasonic-microwave assisted extraction (UMAE) of bioactive compounds from pericarp.优化基于水的超声-微波辅助提取(UMAE)法从果皮中提取生物活性化合物。
J Complement Integr Med. 2022 Jan 17;19(2):225-231. doi: 10.1515/jcim-2021-0454. eCollection 2022 Jun 1.
7
Overview on the Application of Modern Methods for the Extraction of Bioactive Compounds from Marine Macroalgae.海洋大型藻类生物活性化合物提取的现代方法应用概述。
Mar Drugs. 2018 Sep 23;16(10):348. doi: 10.3390/md16100348.
8
Microwave assisted extraction of phenolic compounds from four economic brown macroalgae species and evaluation of their antioxidant activities and inhibitory effects on α-amylase, α-glucosidase, pancreatic lipase and tyrosinase.四种经济褐藻的微波辅助提取酚类化合物及其抗氧化活性和对α-淀粉酶、α-葡萄糖苷酶、胰脂肪酶和酪氨酸酶抑制作用的评价。
Food Res Int. 2018 Nov;113:288-297. doi: 10.1016/j.foodres.2018.07.021. Epub 2018 Jul 18.
9
Extraction and Yield Optimisation of Fucose, Glucans and Associated Antioxidant Activities from Laminaria digitata by Applying Response Surface Methodology to High Intensity Ultrasound-Assisted Extraction.应用响应面法于高强度超声辅助提取优化羊栖菜中岩藻糖、葡聚糖及相关抗氧化活性物质的提取与得率。
Mar Drugs. 2018 Jul 30;16(8):257. doi: 10.3390/md16080257.
10
Emerging Technologies to Extract Fucoxanthin from Microwave vs. Ultrasound Assisted Extractions.从微波辅助提取与超声辅助提取中提取岩藻黄质的新兴技术。
Mar Drugs. 2023 Apr 28;21(5):282. doi: 10.3390/md21050282.

引用本文的文献

1
Microwave-Ultrasound-Assisted Extraction Coupled with Natural Deep Eutectic Solvent Enables High-Yield, Low-Solvent Recovery of Curcumin from L.微波-超声辅助萃取结合天然低共熔溶剂可实现从姜黄中高收率、低溶剂用量回收姜黄素
Pharmaceutics. 2025 Jun 24;17(7):818. doi: 10.3390/pharmaceutics17070818.
2
Bioactive Compounds of Plant-Based Food: Extraction, Isolation, Identification, Characteristics, and Emerging Applications.植物性食物的生物活性成分:提取、分离、鉴定、特性及新兴应用
Food Sci Nutr. 2025 Jun 11;13(6):e70351. doi: 10.1002/fsn3.70351. eCollection 2025 Jun.
3
Bioactive Compounds of Marine Algae and Their Potential Health and Nutraceutical Applications: A Review.

本文引用的文献

1
Enhancing the Extraction of Polysaccharides and Antioxidants from Macroalgae Using Sequential Hydrothermal-Assisted Extraction Followed by Ultrasound and Thermal Technologies.采用顺序水热辅助提取、超声和热技术增强大型海藻中多糖和抗氧化剂的提取。
Mar Drugs. 2019 Aug 5;17(8):457. doi: 10.3390/md17080457.
2
Extractable and Non-Extractable Antioxidants.可提取和不可提取抗氧化剂。
Molecules. 2019 May 20;24(10):1933. doi: 10.3390/molecules24101933.
3
From pharmaceuticals to nutraceuticals: bridging disease prevention and management.
海藻的生物活性化合物及其潜在的健康和营养保健应用:综述
Mar Drugs. 2025 Mar 31;23(4):152. doi: 10.3390/md23040152.
4
A Comparative Review of Alternative Fucoidan Extraction Techniques from Seaweed.海藻中岩藻依聚糖替代提取技术的比较综述
Mar Drugs. 2025 Jan 7;23(1):27. doi: 10.3390/md23010027.
5
Impact of Ultrasound- and Microwave-Assisted Extraction on Bioactive Compounds and Biological Activities of and .超声和微波辅助提取对[具体物质1]和[具体物质2]生物活性成分及生物活性的影响
Mar Drugs. 2024 Nov 25;22(12):530. doi: 10.3390/md22120530.
6
Optimization of Combined Ultrasound and Microwave-Assisted Extraction for Enhanced Bioactive Compounds Recovery from Four Medicinal Plants: Oregano, Rosemary, Hypericum, and Chamomile.优化超声与微波辅助联合萃取以提高从四种药用植物(牛至、迷迭香、金丝桃和洋甘菊)中提取生物活性化合物的效率
Molecules. 2024 Dec 6;29(23):5773. doi: 10.3390/molecules29235773.
7
Optimization of Bioactive Compound Extraction from Iranian Brown Macroalgae with Ultrasound and Microwave Methods Using Fuzzy Logic.利用模糊逻辑通过超声和微波方法从伊朗棕色大型藻类中提取生物活性化合物的优化
Foods. 2024 Nov 28;13(23):3837. doi: 10.3390/foods13233837.
8
Microwave-sonication synergistic extraction of dairy waste proteins: A review of green approach for dairy waste proteins valorization.微波协同超声提取乳制品废蛋白:一种乳制品废蛋白增值的绿色方法综述。
Ultrason Sonochem. 2024 Dec;111:107111. doi: 10.1016/j.ultsonch.2024.107111. Epub 2024 Oct 16.
9
Improving the Extraction of Polyphenols from Cocoa Bean Shells by Ultrasound and Microwaves: A Comparative Study.超声和微波辅助提高可可豆壳中多酚提取率的比较研究
Antioxidants (Basel). 2024 Sep 10;13(9):1097. doi: 10.3390/antiox13091097.
10
Optimizing the Extraction of Bioactive Compounds from (Rhodophyta): Evaluating Alkaline and Enzymatic Hydrolysis for Nutraceutical Applications.优化(红藻门)生物活性化合物的提取:评估碱性和酶解在营养应用中的效果。
Mar Drugs. 2024 Jun 18;22(6):284. doi: 10.3390/md22060284.
从药品到营养保健品:架起疾病预防与管理的桥梁。
Expert Rev Clin Pharmacol. 2019 Jan;12(1):1-7. doi: 10.1080/17512433.2019.1552135. Epub 2018 Nov 30.
4
Microwave assisted extraction of phenolic compounds from four economic brown macroalgae species and evaluation of their antioxidant activities and inhibitory effects on α-amylase, α-glucosidase, pancreatic lipase and tyrosinase.四种经济褐藻的微波辅助提取酚类化合物及其抗氧化活性和对α-淀粉酶、α-葡萄糖苷酶、胰脂肪酶和酪氨酸酶抑制作用的评价。
Food Res Int. 2018 Nov;113:288-297. doi: 10.1016/j.foodres.2018.07.021. Epub 2018 Jul 18.
5
From Marine Origin to Therapeutics: The Antitumor Potential of Marine Algae-Derived Compounds.从海洋起源到治疗应用:海洋藻类衍生化合物的抗肿瘤潜力
Front Pharmacol. 2018 Aug 6;9:777. doi: 10.3389/fphar.2018.00777. eCollection 2018.
6
A novel rapid ultrasonication-microwave treatment for total lipid extraction from wet oleaginous yeast biomass for sustainable biodiesel production.一种新型快速超声-微波处理方法,用于从湿油性酵母生物质中提取总脂质,以可持续生产生物柴油。
Ultrason Sonochem. 2019 Mar;51:504-516. doi: 10.1016/j.ultsonch.2018.05.002. Epub 2018 May 4.
7
Extraction and Yield Optimisation of Fucose, Glucans and Associated Antioxidant Activities from Laminaria digitata by Applying Response Surface Methodology to High Intensity Ultrasound-Assisted Extraction.应用响应面法于高强度超声辅助提取优化羊栖菜中岩藻糖、葡聚糖及相关抗氧化活性物质的提取与得率。
Mar Drugs. 2018 Jul 30;16(8):257. doi: 10.3390/md16080257.
8
Antioxidant Potential of Extracts Obtained from Macro- (Ascophyllum nodosum, Fucus vesiculosus and Bifurcaria bifurcata) and Micro-Algae (Chlorella vulgaris and Spirulina platensis) Assisted by Ultrasound.超声辅助从大型藻类(泡叶藻、墨角藻和叉状角叉菜)和微藻(普通小球藻和钝顶螺旋藻)中提取的提取物的抗氧化潜力
Medicines (Basel). 2018 Apr 10;5(2):33. doi: 10.3390/medicines5020033.
9
Dietary Antioxidants and Health Promotion.膳食抗氧化剂与健康促进
Antioxidants (Basel). 2018 Jan 12;7(1):9. doi: 10.3390/antiox7010009.
10
Microwave assisted dehydration of broccoli by-products and simultaneous extraction of bioactive compounds.微波辅助脱水西兰花副产物并同时提取生物活性化合物。
Food Chem. 2018 Apr 25;246:386-393. doi: 10.1016/j.foodchem.2017.11.053. Epub 2017 Nov 14.