Suppr超能文献

预测可手术宫颈癌淋巴结状态的深度学习放射组学模型的开发与验证

Development and Validation of a Deep Learning Radiomics Model Predicting Lymph Node Status in Operable Cervical Cancer.

作者信息

Dong Taotao, Yang Chun, Cui Baoxia, Zhang Ting, Sun Xiubin, Song Kun, Wang Linlin, Kong Beihua, Yang Xingsheng

机构信息

Department of Obstetrics and Gynecology, Qilu Hospital of Shandong University, Jinan, China.

Cheeloo College of Medicine, Shandong University, Jinan, China.

出版信息

Front Oncol. 2020 Apr 15;10:464. doi: 10.3389/fonc.2020.00464. eCollection 2020.

Abstract

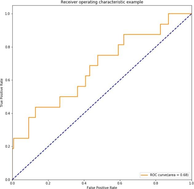
To develop and validate a deep learning radiomics model, which could predict the lymph node metastases preoperatively in cervical cancer patients. We included a cohort of 226 pathological proven operable cervical cancer patients in two academic medical institutions from December 2014 to November 2017. Then this dataset was split into training set ( = 176) and independent testing set ( = 50) randomly. Five radiomic features were selected and a radiomic signature was established. We then combined these five radiomic features with the preoperative tumor histology and grade of these patients together. Baseline logistic regression model (LRM) and support vector machine model (SVM) were established for the comparison. We then explored the performance of a deep neural network (DNN), which is a popular deep learning model nowadays. Finally, performance of this DNN was validated in another independent test set including 50 cases of operable cervical cancer patients. One thousand forty-five radiomic features were extracted for each patient. Twenty-eight features were found to be significantly correlated with the lymph node status in these patients ( < 0.05). Five radiomic features were further selected for further study due to their higher predictive powers. Baseline LRM incorporating these five radiomic and two clinicopathological features was established, which had an area under receiver operating characteristic curve (ROC) of 0.7372 and an accuracy of 89.20%. The established DNN model had four neural layers, in which layer there were 10 neurons. Adagrad optimizer and 1,500 iterations were used in training. The trained DNN had an area under curve (AUC) of 0.99 and an accuracy of 97.16% in the internal validation. To exclude the overfitting, independent external validation was also performed. AUC and accuracy in test set could still retain 0.90 and 92.00% respectively. This study used deep learning method to provide a comprehensive predictive model using preoperative CT images, tumor histology, and grade in cervical cancer patients. This model showed an acceptable accuracy in the prediction of lymph node status in cervical cancer. Our model may help identifying those patients who could benefit a lot from radiation therapy rather than primary hysterectomy surgery if this model could resist strict testing of future randomized controlled trials (RCTs).

摘要

为开发并验证一种深度学习放射组学模型,该模型可在术前预测宫颈癌患者的淋巴结转移情况。我们纳入了2014年12月至2017年11月期间来自两家学术医疗机构的226例经病理证实可手术的宫颈癌患者队列。然后将该数据集随机分为训练集(n = 176)和独立测试集(n = 50)。选择了五个放射组学特征并建立了放射组学特征标签。然后我们将这五个放射组学特征与这些患者的术前肿瘤组织学和分级结合在一起。建立了基线逻辑回归模型(LRM)和支持向量机模型(SVM)用于比较。然后我们探索了一种深度神经网络(DNN)的性能,它是如今一种流行的深度学习模型。最后,在另一个包括50例可手术宫颈癌患者的独立测试集中验证了该DNN的性能。为每位患者提取了1045个放射组学特征。发现其中28个特征与这些患者的淋巴结状态显著相关(P < 0.05)。由于其较高的预测能力,进一步选择了五个放射组学特征进行进一步研究。建立了纳入这五个放射组学特征和两个临床病理特征的基线LRM,其受试者操作特征曲线(ROC)下面积为0.7372,准确率为89.20%。所建立的DNN模型有四个神经层,其中某一层有10个神经元。训练中使用了Adagrad优化器和1500次迭代。训练后的DNN在内部验证中的曲线下面积(AUC)为0.99,准确率为97.16%。为排除过拟合,还进行了独立外部验证。测试集中的AUC和准确率仍分别可保持在0.90和92.00%。本研究使用深度学习方法,利用术前CT图像、肿瘤组织学和分级为宫颈癌患者提供了一个综合预测模型。该模型在预测宫颈癌淋巴结状态方面显示出可接受的准确率。如果该模型能够经受未来随机对照试验(RCT)的严格检验,我们的模型可能有助于识别那些从放射治疗而非原发性子宫切除术手术中获益良多的患者。

https://cdn.ncbi.nlm.nih.gov/pmc/blobs/943f/7179686/60472a5d5450/fonc-10-00464-g0001.jpg

文献检索

告别复杂PubMed语法,用中文像聊天一样搜索,搜遍4000万医学文献。AI智能推荐,让科研检索更轻松。

立即免费搜索

文件翻译

保留排版,准确专业,支持PDF/Word/PPT等文件格式,支持 12+语言互译。

免费翻译文档

深度研究

AI帮你快速写综述,25分钟生成高质量综述,智能提取关键信息,辅助科研写作。

立即免费体验