• 文献检索
  • 文档翻译
  • 深度研究
  • 学术资讯
  • Suppr Zotero 插件Zotero 插件
  • 邀请有礼
  • 套餐&价格
  • 历史记录
应用&插件
Suppr Zotero 插件Zotero 插件浏览器插件Mac 客户端Windows 客户端微信小程序
定价
高级版会员购买积分包购买API积分包
服务
文献检索文档翻译深度研究API 文档MCP 服务
关于我们
关于 Suppr公司介绍联系我们用户协议隐私条款
关注我们

Suppr 超能文献

核心技术专利:CN118964589B侵权必究
粤ICP备2023148730 号-1Suppr @ 2026

文献检索

告别复杂PubMed语法,用中文像聊天一样搜索,搜遍4000万医学文献。AI智能推荐,让科研检索更轻松。

立即免费搜索

文件翻译

保留排版,准确专业,支持PDF/Word/PPT等文件格式,支持 12+语言互译。

免费翻译文档

深度研究

AI帮你快速写综述,25分钟生成高质量综述,智能提取关键信息,辅助科研写作。

立即免费体验

利用 8 个资源匮乏环境中的非培养诊断方法研究生命头两年志贺氏菌感染和腹泻的流行病学。

Epidemiology of Shigella infections and diarrhea in the first two years of life using culture-independent diagnostics in 8 low-resource settings.

机构信息

Department of Public Health Sciences, University of Virginia, Charlottesville, Virginia, United States of America.

Division of Infectious Diseases & International Health, University of Virginia, Charlottesville, Virginia, United States of America.

出版信息

PLoS Negl Trop Dis. 2020 Aug 17;14(8):e0008536. doi: 10.1371/journal.pntd.0008536. eCollection 2020 Aug.

DOI:10.1371/journal.pntd.0008536
PMID:32804926
原文链接:https://pmc.ncbi.nlm.nih.gov/articles/PMC7451981/
Abstract

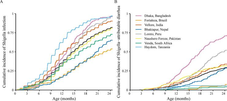
Culture-independent diagnostics have revealed a larger burden of Shigella among children in low-resource settings than previously recognized. We further characterized the epidemiology of Shigella in the first two years of life in a multisite birth cohort. We tested 41,405 diarrheal and monthly non-diarrheal stools from 1,715 children for Shigella by quantitative PCR. To assess risk factors, clinical factors related to age and culture positivity, and associations with inflammatory biomarkers, we used log-binomial regression with generalized estimating equations. The prevalence of Shigella varied from 4.9%-17.8% in non-diarrheal stools across sites, and the incidence of Shigella-attributable diarrhea was 31.8 cases (95% CI: 29.6, 34.2) per 100 child-years. The sensitivity of culture compared to qPCR was 6.6% and increased to 27.8% in Shigella-attributable dysentery. Shigella diarrhea episodes were more likely to be severe and less likely to be culture positive in younger children. Older age (RR: 1.75, 95% CI: 1.70, 1.81 per 6-month increase in age), unimproved sanitation (RR: 1.15, 95% CI: 1.03, 1.29), low maternal education (<10 years, RR: 1.14, 95% CI: 1.03, 1.26), initiating complementary foods before 3 months (RR: 1.10, 95% CI: 1.01, 1.20), and malnutrition (RR: 0.91, 95% CI: 0.88, 0.95 per unit increase in weight-for-age z-score) were risk factors for Shigella. There was a linear dose-response between Shigella quantity and myeloperoxidase concentrations. The burden of Shigella varied widely across sites, but uniformly increased through the second year of life and was associated with intestinal inflammation. Culture missed most clinically relevant cases of severe diarrhea and dysentery.

摘要

文化独立诊断方法揭示了资源匮乏环境中儿童的志贺菌负担比以前认识到的要大。我们进一步在多地点出生队列中描述了生命头两年志贺菌的流行病学。我们对 1715 名儿童的 41405 份腹泻和每月非腹泻粪便进行了定量 PCR 检测,以检测志贺菌。为了评估危险因素、与年龄和培养阳性相关的临床因素以及与炎症生物标志物的关联,我们使用了广义估计方程的对数二项式回归。各个地点非腹泻粪便中志贺菌的流行率从 4.9%到 17.8%不等,志贺菌引起的腹泻发病率为每 100 名儿童年 31.8 例(95%CI:29.6,34.2)。与 qPCR 相比,培养的敏感性为 6.6%,在志贺菌痢疾中增加到 27.8%。年龄较小的儿童发生志贺菌腹泻的可能性更大,更严重,培养阳性的可能性更小。年龄较大(RR:1.75,95%CI:1.70,1.81,每增加 6 个月年龄增加),卫生条件未改善(RR:1.15,95%CI:1.03,1.29),母亲受教育程度较低(<10 年,RR:1.14,95%CI:1.03,1.26),3 个月前开始添加补充食品(RR:1.10,95%CI:1.01,1.20)和营养不良(RR:0.91,95%CI:0.88,0.95,体重年龄 z 评分每增加一个单位)是志贺菌的危险因素。志贺菌数量与髓过氧化物酶浓度之间存在线性剂量反应关系。志贺菌的负担在各个地点差异很大,但在第二年呈递增趋势,并与肠道炎症有关。培养法错过了大多数具有临床意义的严重腹泻和痢疾病例。

https://cdn.ncbi.nlm.nih.gov/pmc/blobs/8aad/7451981/906e568f4dec/pntd.0008536.g002.jpg
https://cdn.ncbi.nlm.nih.gov/pmc/blobs/8aad/7451981/d2eebb0b957a/pntd.0008536.g001.jpg
https://cdn.ncbi.nlm.nih.gov/pmc/blobs/8aad/7451981/906e568f4dec/pntd.0008536.g002.jpg
https://cdn.ncbi.nlm.nih.gov/pmc/blobs/8aad/7451981/d2eebb0b957a/pntd.0008536.g001.jpg
https://cdn.ncbi.nlm.nih.gov/pmc/blobs/8aad/7451981/906e568f4dec/pntd.0008536.g002.jpg

相似文献

1
Epidemiology of Shigella infections and diarrhea in the first two years of life using culture-independent diagnostics in 8 low-resource settings.利用 8 个资源匮乏环境中的非培养诊断方法研究生命头两年志贺氏菌感染和腹泻的流行病学。
PLoS Negl Trop Dis. 2020 Aug 17;14(8):e0008536. doi: 10.1371/journal.pntd.0008536. eCollection 2020 Aug.
2
The other Campylobacters: Not innocent bystanders in endemic diarrhea and dysentery in children in low-income settings.其他弯曲菌属:在低收入环境中儿童的地方性腹泻和痢疾中并非无辜的旁观者。
PLoS Negl Trop Dis. 2018 Feb 7;12(2):e0006200. doi: 10.1371/journal.pntd.0006200. eCollection 2018 Feb.
3
Quantitative PCR for detection of Shigella improves ascertainment of Shigella burden in children with moderate-to-severe diarrhea in low-income countries.定量 PCR 检测志贺菌可提高低收入国家中中重度腹泻儿童志贺菌负荷的检出率。
J Clin Microbiol. 2013 Jun;51(6):1740-6. doi: 10.1128/JCM.02713-12. Epub 2013 Mar 27.
4
Use of quantitative molecular diagnostic methods to assess the aetiology, burden, and clinical characteristics of diarrhoea in children in low-resource settings: a reanalysis of the MAL-ED cohort study.采用定量分子诊断方法评估资源匮乏环境下儿童腹泻的病因、负担和临床特征: MAL-ED 队列研究的再分析。
Lancet Glob Health. 2018 Dec;6(12):e1309-e1318. doi: 10.1016/S2214-109X(18)30349-8. Epub 2018 Oct 1.
5
Association Between Shigella Infection and Diarrhea Varies Based on Location and Age of Children.志贺氏菌感染与腹泻之间的关联因儿童所处位置和年龄而异。
Am J Trop Med Hyg. 2015 Nov;93(5):918-24. doi: 10.4269/ajtmh.14-0319. Epub 2015 Aug 31.
6
True Prevalence of Shigellosis in Indian Children with Acute Gastroenteritis: Have We Been Missing the Diagnosis?印度急性胃肠炎儿童中志贺菌病的真实患病率:我们是否一直漏诊?
J Res Health Sci. 2016 Winter;16(1):11-6.
7
Aeromonas-Associated Diarrhea in Children Under 5 Years: The GEMS Experience.5岁以下儿童气单胞菌相关性腹泻:全球儿童急性腹泻病监测网络(GEMS)的经验
Am J Trop Med Hyg. 2016 Oct 5;95(4):774-780. doi: 10.4269/ajtmh.16-0321. Epub 2016 Aug 15.
8
Use of quantitative molecular diagnostic methods to investigate the effect of enteropathogen infections on linear growth in children in low-resource settings: longitudinal analysis of results from the MAL-ED cohort study.利用定量分子诊断方法研究资源匮乏环境下肠道病原体感染对儿童线性生长的影响:MAL-ED 队列研究结果的纵向分析。
Lancet Glob Health. 2018 Dec;6(12):e1319-e1328. doi: 10.1016/S2214-109X(18)30351-6. Epub 2018 Oct 1.
9
A comparison of disease caused by Shigella and Campylobacter species: 24 months community based surveillance in 4 slums of Karachi, Pakistan.志贺菌和弯曲菌属引起的疾病比较:巴基斯坦卡拉奇 4 个贫民窟 24 个月的社区为基础的监测。
J Infect Public Health. 2011 Mar;4(1):12-21. doi: 10.1016/j.jiph.2010.10.001. Epub 2011 Feb 1.
10
Burden of diarrhea and antibiotic use among children in low-resource settings preventable by Shigella vaccination: A simulation study.资源匮乏环境下儿童腹泻和抗生素使用负担可通过志贺菌疫苗接种预防:一项模拟研究。
PLoS Med. 2023 Nov 22;20(11):e1004271. doi: 10.1371/journal.pmed.1004271. eCollection 2023 Nov.

引用本文的文献

1
Burden of Shigella among children with diarrhea in the Americas: A systematic review and meta-analysis.美洲腹泻儿童中志贺氏菌的负担:系统评价与荟萃分析。
PLoS Negl Trop Dis. 2025 Aug 18;19(8):e0013393. doi: 10.1371/journal.pntd.0013393. eCollection 2025 Aug.
2
Transitory impact of subclinical Shigella infections on biomarkers of environmental enteropathy in children under 2 years.亚临床志贺氏菌感染对2岁以下儿童环境肠病生物标志物的短暂影响。
PLoS Negl Trop Dis. 2025 May 29;19(5):e0012791. doi: 10.1371/journal.pntd.0012791. eCollection 2025 May.
3
Shigellosis in an Urban Slum in Kenya: Risk Factors and Antimicrobial Resistance.

本文引用的文献

1
Diarrhoeal disease and subsequent risk of death in infants and children residing in low-income and middle-income countries: analysis of the GEMS case-control study and 12-month GEMS-1A follow-on study.中低收入国家婴幼儿腹泻病及其后续死亡风险:GEMS 病例对照研究和 12 个月 GEMS-1A 随访研究分析。
Lancet Glob Health. 2020 Feb;8(2):e204-e214. doi: 10.1016/S2214-109X(19)30541-8. Epub 2019 Dec 18.
2
Seasonal Food Insecurity in Haydom, Tanzania, Is Associated with Low Birthweight and Acute Malnutrition: Results from the MAL-ED Study.坦桑尼亚海顿季节性食物不安全与低出生体重和急性营养不良有关:MAL-ED 研究结果。
Am J Trop Med Hyg. 2019 Mar;100(3):681-687. doi: 10.4269/ajtmh.18-0547.
3
肯尼亚一个城市贫民窟中的志贺氏菌病:风险因素与抗菌药物耐药性
Open Forum Infect Dis. 2025 Jan 18;12(2):ofaf026. doi: 10.1093/ofid/ofaf026. eCollection 2025 Feb.
4
Safety, Tolerability, and Immunogenicity of the Invaplex Vaccine Co-Administered with the dmLT Adjuvant in Dutch and Zambian Adults: Study Protocol for a Multi-Center, Randomized, Double-Blind, Placebo-Controlled, Dose-Escalation Phase Ia/b Clinical Trial.Invaplex疫苗与dmLT佐剂联合应用于荷兰和赞比亚成年人的安全性、耐受性及免疫原性:一项多中心、随机、双盲、安慰剂对照、剂量递增的Ia/b期临床试验研究方案
Vaccines (Basel). 2025 Jan 8;13(1):48. doi: 10.3390/vaccines13010048.
5
Pharmacokinetics of tebipenem pivoxil used in children suffering from shigellosis: a pilot study in Bangladesh.用于患志贺氏菌病儿童的替比培南匹伐酯的药代动力学:在孟加拉国开展的一项初步研究
Sci Rep. 2024 Dec 30;14(1):31965. doi: 10.1038/s41598-024-83549-3.
6
Growth and Cognitive Development in Tanzanian Children are Associated with Timing of Birth in Relation to Seasonal Malnutrition.坦桑尼亚儿童的生长和认知发育与出生季节与季节性营养不良的关系有关。
J Pediatr. 2024 Dec;275:114202. doi: 10.1016/j.jpeds.2024.114202. Epub 2024 Jul 19.
7
IgG Serum Antibodies to Lipopolysaccharide Are Inversely Associated with the Incidence of Culture-Proven Shigellosis in Israeli Children and Adolescents.以色列儿童和青少年中,针对脂多糖的IgG血清抗体与经培养证实的志贺氏菌病发病率呈负相关。
Vaccines (Basel). 2024 Feb 25;12(3):239. doi: 10.3390/vaccines12030239.
8
Genomic Characterization of Multidrug-Resistant Pathogenic Enteric Bacteria from Healthy Children in Osun State, Nigeria.尼日利亚奥孙州健康儿童中耐多药致病性肠道细菌的基因组特征分析
Microorganisms. 2024 Mar 1;12(3):505. doi: 10.3390/microorganisms12030505.
9
Optimizing Vaccine Trials for Enteric Diseases: The Enterics for Global Health (EFGH) Surveillance Study.优化肠道疾病疫苗试验:全球健康肠道疾病(EFGH)监测研究
Open Forum Infect Dis. 2024 Mar 25;11(Suppl 1):S1-S5. doi: 10.1093/ofid/ofad586. eCollection 2024 Mar.
10
Diarrhea Case Surveillance in the Enterics for Global Health Surveillance Study: Epidemiologic Methods.全球卫生监测研究中肠道疾病腹泻病例监测:流行病学方法
Open Forum Infect Dis. 2024 Mar 25;11(Suppl 1):S6-S16. doi: 10.1093/ofid/ofad664. eCollection 2024 Mar.
Culture-positive shigellosis cases are epidemiologically different to culture-negative/PCR-positive cases.
志贺氏菌病的培养阳性病例在流行病学上与培养阴性/PCR 阳性病例不同。
Aust N Z J Public Health. 2019 Feb;43(1):41-45. doi: 10.1111/1753-6405.12844. Epub 2018 Dec 5.
4
Clinical features, risk factors, and impact of antibiotic treatment of diarrhea caused by in children less than 5 years in Manhiça District, rural Mozambique.莫桑比克农村曼希卡区5岁以下儿童由[具体病因未给出]引起的腹泻的临床特征、危险因素及抗生素治疗的影响
Infect Drug Resist. 2018 Oct 31;11:2095-2106. doi: 10.2147/IDR.S177579. eCollection 2018.
5
Use of quantitative molecular diagnostic methods to assess the aetiology, burden, and clinical characteristics of diarrhoea in children in low-resource settings: a reanalysis of the MAL-ED cohort study.采用定量分子诊断方法评估资源匮乏环境下儿童腹泻的病因、负担和临床特征: MAL-ED 队列研究的再分析。
Lancet Glob Health. 2018 Dec;6(12):e1309-e1318. doi: 10.1016/S2214-109X(18)30349-8. Epub 2018 Oct 1.
6
Use of quantitative molecular diagnostic methods to investigate the effect of enteropathogen infections on linear growth in children in low-resource settings: longitudinal analysis of results from the MAL-ED cohort study.利用定量分子诊断方法研究资源匮乏环境下肠道病原体感染对儿童线性生长的影响:MAL-ED 队列研究结果的纵向分析。
Lancet Glob Health. 2018 Dec;6(12):e1319-e1328. doi: 10.1016/S2214-109X(18)30351-6. Epub 2018 Oct 1.
7
Morbidity and mortality due to shigella and enterotoxigenic Escherichia coli diarrhoea: the Global Burden of Disease Study 1990-2016.志贺菌和肠产毒性大肠杆菌腹泻导致的发病和死亡:1990-2016 年全球疾病负担研究。
Lancet Infect Dis. 2018 Nov;18(11):1229-1240. doi: 10.1016/S1473-3099(18)30475-4. Epub 2018 Sep 25.
8
Guidelines for the treatment of dysentery (shigellosis): a systematic review of the evidence.痢疾(志贺菌病)治疗指南:证据的系统评价
Paediatr Int Child Health. 2018 Nov;38(sup1):S50-S65. doi: 10.1080/20469047.2017.1409454.
9
Promising Biomarkers of Environmental Enteric Dysfunction: A Prospective Cohort study in Pakistani Children.有前景的环境肠道功能障碍生物标志物:巴基斯坦儿童的前瞻性队列研究。
Sci Rep. 2018 Feb 14;8(1):2966. doi: 10.1038/s41598-018-21319-8.
10
Shigellosis.志贺菌病。
Lancet. 2018 Feb 24;391(10122):801-812. doi: 10.1016/S0140-6736(17)33296-8. Epub 2017 Dec 16.