Liu Xuhong, Hu Chunhong
Department of Oncology, The Second Xiangya Hospital, Central South University, Changsha, Hunan 410011, China.
Mol Ther Methods Clin Dev. 2020 Jul 31;18:824-838. doi: 10.1016/j.omtm.2020.07.017. eCollection 2020 Sep 11.
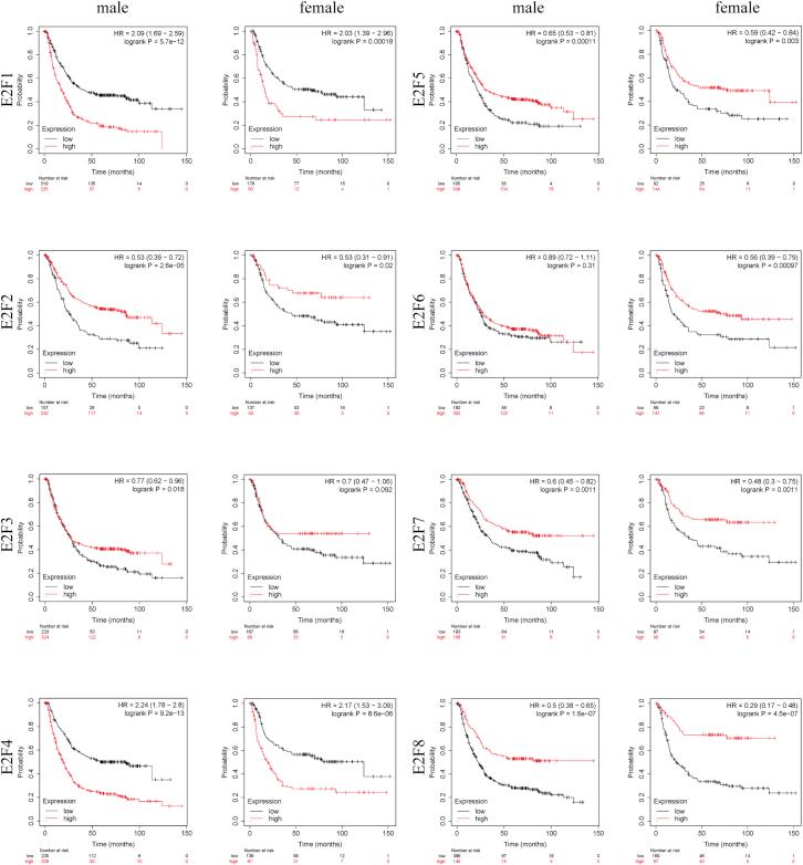
E2F transcription factors (E2Fs) were found to be related with cell activities and disease progression among a variety of different tumors, including regulating cell division and cell proliferation. In the analysis, it aimed to focus on transcriptional and survival information of E2Fs in gastric cancer (GC) from Gene Expression Profiling Interactive Analysis (GEPIA), Kaplan-Meier plotter, cBioPortal, Database for Annotation, Visualization and Integrated Discovery (DAVID), Kyoto Encyclopedia of Genes and Genomes (KEGG) pathway, and Oncomine databases. It was found that the expression of E2F1/2/3/5/7/8 in GC tissues was obviously higher than the normal. Of interest, none of the E2Fs was related with pathological stages. Nevertheless, high expression of E2F2/3/5/7/8 was related with better survival data, except E2F6 regarding shorter first-progression (FP) survival. High expression levels of E2F2/5/7/8 have significant correlations with overall survival (OS) in patients with intestinal and diffuse GC, and this prognostic value is not affected by gender. Oppositely, the lower level of E2F1/4 illustrated superior survival data. Moreover, increased expression of E2F1 in GC tissues might play an important role in the development of GC. Collectively, E2F1 could be a potential therapeutic target for patients with GC. E2F1/2/3/5/7/8 might be original prognostic predictors of GC.
人们发现E2F转录因子(E2Fs)与多种不同肿瘤的细胞活动和疾病进展相关,包括调节细胞分裂和细胞增殖。在该分析中,其旨在通过基因表达谱交互分析(GEPIA)、Kaplan-Meier绘图仪、cBioPortal、注释、可视化与整合发现数据库(DAVID)、京都基因与基因组百科全书(KEGG)通路以及Oncomine数据库,聚焦于胃癌(GC)中E2Fs的转录和生存信息。结果发现,E2F1/2/3/5/7/8在GC组织中的表达明显高于正常组织。有趣的是,没有一个E2Fs与病理分期相关。然而,E2F2/3/5/7/8的高表达与较好的生存数据相关,但E2F6与较短的首次进展(FP)生存期相关。E2F2/5/7/8的高表达水平与肠型和弥漫型GC患者的总生存期(OS)显著相关,且这种预后价值不受性别的影响。相反,E2F1/4水平较低表明生存数据较好。此外,GC组织中E2F1表达的增加可能在GC的发生发展中起重要作用。总体而言,E2F1可能是GC患者的一个潜在治疗靶点。E2F1/2/3/5/7/8可能是GC的原始预后预测指标。