Suppr超能文献

世界范围内当前和未来对新型 COVID-19 轨迹、影响以及在医疗保健环境下潜在预防策略的评估概述。

An Overview of the World Current and Future Assessment of Novel COVID-19 Trajectory, Impact, and Potential Preventive Strategies at Healthcare Settings.

机构信息

Department of Environmental Technology Management, Kuwait University, P.O. Box 5969, Safat 13060, Kuwait.

General Department of Criminal Evidences Identification, Ministry of Interior, Safat 12003, Kuwait.

出版信息

Int J Environ Res Public Health. 2020 Sep 25;17(19):7016. doi: 10.3390/ijerph17197016.

Abstract

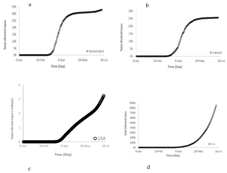
This study is an overview of the current and future trajectory, as well as the impact of the novel Coronavirus (COVID-19) in the world and selected countries including the state of Kuwait. The selected countries were divided into two groups: Group A (China, Switzerland, and Ireland) and Group B (USA, Brazil, and India) based on their outbreak containment of this virus. Then, the actual data for each country were fitted to a regression model utilizing the excel solver software to assess the current and future trajectory of novel COVID-19 and its impact. In addition, the data were fitted using the Susceptible-Infected-Recovered (SIR) Model. The Group A trajectory showed an "S" shape trend that suited a logistic function with r > 0.97, which is an indication of the outbreak control. The SIR models for the countries in this group showed that they passed the expected 99% end of pandemic dates. Group B, however, exhibited a continuous increase of the total COVID-19 new cases, that best suited an exponential growth model with r > 0.97, which meant that the outbreak is still uncontrolled. The SIR models for the countries in this group showed that they are still relatively far away from reaching the expected 97% end of pandemic dates. The maximum death percentage varied from 3.3% (India) to 7.2% with USA recording the highest death percentage, which is virtually equal to the maximum death percentage of the world (7.3%). The power of the exponential model determines the severity of the country's trajectory that ranged from 11 to 19 with the USA and Brazil having the highest values. The maximum impact of this COVID-19 pandemic occurred during the uncontrolled stage (2), which mainly depended on the deceptive stage (1). Further, some novel potential containment strategies are discussed. Results from both models showed that the Group A countries contained the outbreak, whereas the Group B countries still have not reached this stage yet. Early measures and containment strategies are imperative in suppressing the spread of COVID-19.

摘要

这项研究概述了新型冠状病毒(COVID-19)在世界和包括科威特在内的选定国家目前和未来的趋势,以及其影响。根据这些国家对该病毒的爆发控制情况,选择的国家分为两组:A 组(中国、瑞士和爱尔兰)和 B 组(美国、巴西和印度)。然后,利用 Excel 求解器软件将每个国家的实际数据拟合到回归模型中,以评估新型 COVID-19 的当前和未来趋势及其影响。此外,还使用了易感-感染-恢复(SIR)模型对数据进行拟合。A 组的轨迹呈“S”形趋势,适合 r>0.97 的逻辑函数,这表明疫情得到了控制。该组国家的 SIR 模型表明,它们已经超过了预期的 99%大流行结束日期。然而,B 组的新型 COVID-19 总新增病例持续增加,最适合 r>0.97 的指数增长模型,这意味着疫情仍未得到控制。该组国家的 SIR 模型表明,它们仍离预期的 97%大流行结束日期相对较远。最大死亡率从 3.3%(印度)到 7.2%不等,美国记录的死亡率最高,几乎与全球最高死亡率(7.3%)持平。指数模型的幂决定了各国轨迹的严重程度,范围从 11 到 19,美国和巴西的数值最高。COVID-19 大流行的最大影响发生在未得到控制的阶段(2),主要取决于易感染阶段(1)。此外,还讨论了一些新型潜在的遏制策略。两种模型的结果均表明,A 组国家控制住了疫情,而 B 组国家尚未达到这一阶段。早期措施和遏制策略对于抑制 COVID-19 的传播至关重要。

https://cdn.ncbi.nlm.nih.gov/pmc/blobs/e8fe/7579180/f321b5b0c070/ijerph-17-07016-g002.jpg

文献检索

告别复杂PubMed语法,用中文像聊天一样搜索,搜遍4000万医学文献。AI智能推荐,让科研检索更轻松。

立即免费搜索

文件翻译

保留排版,准确专业,支持PDF/Word/PPT等文件格式,支持 12+语言互译。

免费翻译文档

深度研究

AI帮你快速写综述,25分钟生成高质量综述,智能提取关键信息,辅助科研写作。

立即免费体验