Suppr超能文献

NoPv1:一种针对葡萄霜霉病和马铃薯晚疫病病原菌的合成抗菌肽适体。

NoPv1: a synthetic antimicrobial peptide aptamer targeting the causal agents of grapevine downy mildew and potato late blight.

机构信息

Research and Innovation Centre, Fondazione Edmund Mach, San Michele all'Adige, Italy.

Department of Biosciences, University of Milan, Milan, Italy.

出版信息

Sci Rep. 2020 Oct 16;10(1):17574. doi: 10.1038/s41598-020-73027-x.

Abstract

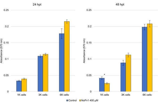
Grapevine (Vitis vinifera L.) is a crop of major economic importance. However, grapevine yield is guaranteed by the massive use of pesticides to counteract pathogen infections. Under temperate-humid climate conditions, downy mildew is a primary threat for viticulture. Downy mildew is caused by the biotrophic oomycete Plasmopara viticola Berl. & de Toni, which can attack grapevine green tissues. In lack of treatments and with favourable weather conditions, downy mildew can devastate up to 75% of grape cultivation in one season and weaken newly born shoots, causing serious economic losses. Nevertheless, the repeated and massive use of some fungicides can lead to environmental pollution, negative impact on non-targeted organisms, development of resistance, residual toxicity and can foster human health concerns. In this manuscript, we provide an innovative approach to obtain specific pathogen protection for plants. By using the yeast two-hybrid approach and the P. viticola cellulose synthase 2 (PvCesA2), as target enzyme, we screened a combinatorial 8 amino acid peptide library with the aim to identify interacting peptides, potentially able to inhibit PvCesa2. Here, we demonstrate that the NoPv1 peptide aptamer prevents P. viticola germ tube formation and grapevine leaf infection without affecting the growth of non-target organisms and without being toxic for human cells. Furthermore, NoPv1 is also able to counteract Phytophthora infestans growth, the causal agent of late blight in potato and tomato, possibly as a consequence of the high amino acid sequence similarity between P. viticola and P. infestans cellulose synthase enzymes.

摘要

葡萄(Vitis vinifera L.)是一种具有重要经济意义的作物。然而,为了抵御病原菌感染,葡萄的产量需要大量使用农药来保证。在温带湿润气候条件下,霜霉病是葡萄栽培的主要威胁。霜霉病是由专性寄生卵菌 Plasmopara viticola Berl. & de Toni 引起的,它可以攻击葡萄的绿色组织。在缺乏治疗措施和有利天气条件下,霜霉病可能在一个季节内摧毁高达 75%的葡萄种植,并削弱新生长的嫩枝,造成严重的经济损失。然而,一些杀菌剂的反复和大量使用会导致环境污染、对非目标生物的负面影响、抗药性的发展、残留毒性,并可能引发人类健康问题。在本文中,我们提供了一种获得植物特异性病原体保护的创新方法。我们使用酵母双杂交方法和 P. viticola 纤维素合酶 2(PvCesA2)作为靶酶,筛选了一个组合的 8 个氨基酸肽文库,旨在鉴定潜在的能够抑制 PvCesa2 的相互作用肽。在这里,我们证明了 NoPv1 肽适体能够防止 P. viticola 芽管形成和葡萄叶片感染,而不影响非目标生物的生长,也不对人体细胞有毒。此外,NoPv1 还能够抑制晚疫病病原菌(Phytophthora infestans)的生长,晚疫病是马铃薯和番茄晚疫病的病原菌,这可能是由于 P. viticola 和 P. infestans 纤维素合酶酶之间存在高度的氨基酸序列相似性。

https://cdn.ncbi.nlm.nih.gov/pmc/blobs/81df/7567880/e4b7939dded4/41598_2020_73027_Fig1_HTML.jpg

文献检索

告别复杂PubMed语法,用中文像聊天一样搜索,搜遍4000万医学文献。AI智能推荐,让科研检索更轻松。

立即免费搜索

文件翻译

保留排版,准确专业,支持PDF/Word/PPT等文件格式,支持 12+语言互译。

免费翻译文档

深度研究

AI帮你快速写综述,25分钟生成高质量综述,智能提取关键信息,辅助科研写作。

立即免费体验