• 文献检索
  • 文档翻译
  • 深度研究
  • 学术资讯
  • Suppr Zotero 插件Zotero 插件
  • 邀请有礼
  • 套餐&价格
  • 历史记录
应用&插件
Suppr Zotero 插件Zotero 插件浏览器插件Mac 客户端Windows 客户端微信小程序
定价
高级版会员购买积分包购买API积分包
服务
文献检索文档翻译深度研究API 文档MCP 服务
关于我们
关于 Suppr公司介绍联系我们用户协议隐私条款
关注我们

Suppr 超能文献

核心技术专利:CN118964589B侵权必究
粤ICP备2023148730 号-1Suppr @ 2026

文献检索

告别复杂PubMed语法,用中文像聊天一样搜索,搜遍4000万医学文献。AI智能推荐,让科研检索更轻松。

立即免费搜索

文件翻译

保留排版,准确专业,支持PDF/Word/PPT等文件格式,支持 12+语言互译。

免费翻译文档

深度研究

AI帮你快速写综述,25分钟生成高质量综述,智能提取关键信息,辅助科研写作。

立即免费体验

南瓜软膏治疗慢性手部湿疹的疗效:一项随机、活性对照、双盲临床试验

Efficacy of Pumpkin Ointment in Treatment of Chronic Hand Eczema: A Randomized, Active-Controlled, Double Blind Clinical Trial.

作者信息

Khademi Alemeh, Mansuri Parvin, Pahlevan Daryoush, Bozorgi Mahbubeh, Nasiri Malihe, Hejazi Somayeh, Azizian Zahra, Shirbeigi Laila

机构信息

Department of Traditional Medicine, School of Persian Medicine, Tehran University of Medical Sciences, Tehran, Iran.

Skin and Stem Cell Research Center, Tehran University of Medical Sciences, Tehran, Iran.

出版信息

Iran J Public Health. 2020 Jul;49(7):1339-1347. doi: 10.18502/ijph.v49i7.3588.

DOI:10.18502/ijph.v49i7.3588
PMID:33083301
原文链接:https://pmc.ncbi.nlm.nih.gov/articles/PMC7548497/
Abstract

BACKGROUND

Hand Eczema (HE) is chronic skin disease with a high prevalence in population. It has negative impact on the quality of life. Due to the public interest in herbal remedies, we attempt to assess the efficacy of pumpkin ointment in treatment of chronic HE in this research.

METHODS

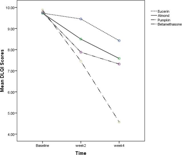
This study was conducted in an outpatient clinic at Imam-Khomeini Hospital in Tehran (Iran) from May 2015 to Nov 2016. We performed a double-blind trial on 60 patients with chronic HE randomized to four groups included pumpkin, betamethasone, eucerin and almond ointment (n=15 for each group) for 28 days. Patients were ordered to apply ointments twice a day. Hand Eczema Severity Index (HECSI) and Dermatology Life Quality Index (DLQI) of the patients were evaluated by a dermatologist on the 1st, 14th and 28th d after the start of treatment.

RESULTS

Patients' DLQI scores in pumpkin and betamethasone group was significant and pumpkin group showed a better response in quality of life (=0.001). Betamethasone and pumpkin ointment were effective and showed significant improvement compared with almond and eucerin and reduce HECSI scores (=0.002 and =0.012 respectively). Betamethasone ointment outcome on HECSI scores in comparison with topical pumpkin was significant (<0.001). No clinically adverse effects were observed.

CONCLUSION

Although pumpkin ointment showed a better response in patients' DLQI in HE but it was less effective than betamethasone in decreasing HECSI.

摘要

背景

手部湿疹(HE)是一种在人群中患病率较高的慢性皮肤病。它对生活质量有负面影响。由于公众对草药疗法的关注,我们试图在本研究中评估南瓜软膏治疗慢性手部湿疹的疗效。

方法

本研究于2015年5月至2016年11月在德黑兰伊玛目霍梅尼医院的门诊进行。我们对60例慢性手部湿疹患者进行了双盲试验,将他们随机分为四组,分别使用南瓜软膏、倍他米松、优色林和杏仁软膏(每组15例),为期28天。患者被要求每天涂抹两次软膏。在治疗开始后的第1天、第14天和第28天,由皮肤科医生评估患者的手部湿疹严重程度指数(HECSI)和皮肤病生活质量指数(DLQI)。

结果

南瓜组和倍他米松组患者的DLQI评分有显著差异,南瓜组在生活质量方面显示出更好的反应(P = 0.001)。倍他米松和南瓜软膏有效,与杏仁和优色林相比有显著改善,并降低了HECSI评分(分别为P = 0.002和P = 0.012)。与局部使用南瓜相比,倍他米松软膏对HECSI评分的效果显著(P < 0.001)。未观察到临床不良反应。

结论

虽然南瓜软膏在手部湿疹患者的DLQI方面显示出更好的反应,但在降低HECSI方面不如倍他米松有效。

https://cdn.ncbi.nlm.nih.gov/pmc/blobs/e786/7548497/3241819b735c/IJPH-49-1339-g002.jpg
https://cdn.ncbi.nlm.nih.gov/pmc/blobs/e786/7548497/06ed477c8941/IJPH-49-1339-g001.jpg
https://cdn.ncbi.nlm.nih.gov/pmc/blobs/e786/7548497/3241819b735c/IJPH-49-1339-g002.jpg
https://cdn.ncbi.nlm.nih.gov/pmc/blobs/e786/7548497/06ed477c8941/IJPH-49-1339-g001.jpg
https://cdn.ncbi.nlm.nih.gov/pmc/blobs/e786/7548497/3241819b735c/IJPH-49-1339-g002.jpg

相似文献

1
Efficacy of Pumpkin Ointment in Treatment of Chronic Hand Eczema: A Randomized, Active-Controlled, Double Blind Clinical Trial.南瓜软膏治疗慢性手部湿疹的疗效:一项随机、活性对照、双盲临床试验
Iran J Public Health. 2020 Jul;49(7):1339-1347. doi: 10.18502/ijph.v49i7.3588.
2
Comparison of therapeutic effect of topical Nigella with Betamethasone and Eucerin in hand eczema.比较黑种草籽油局部治疗与倍他米松和优色林对手部湿疹的疗效。
J Eur Acad Dermatol Venereol. 2013 Dec;27(12):1498-504. doi: 10.1111/jdv.12033. Epub 2012 Dec 1.
3
Beneficial Effects of Adding Topical Atorvastatin 5% Cream to Topical Betamethasone 1% Ointment on Chronic Hand Eczema.局部应用阿托伐他汀 5%乳膏联合外用倍他米松 1%软膏治疗慢性手部湿疹的疗效。
Arch Iran Med. 2020 Sep 1;23(9):605-613. doi: 10.34172/aim.2020.71.
4
The efficacy of a transdermal hydrogel patch containing betamethasone dipropionate for treatment of chronic hand eczema: A single-blind, randomized and controlled trial.一种含有倍他米松二丙酸酯的透皮水凝胶贴剂治疗慢性手部湿疹的疗效:一项单盲、随机对照试验。
Contact Dermatitis. 2024 Feb;90(2):153-160. doi: 10.1111/cod.14438. Epub 2023 Oct 12.
5
A Comparison of the Effect of Topical Preparation of L. and Hydrocortisone on Hand Eczema: A Double-Blind Randomized Controlled Trial.一项比较局部应用利凡诺和氢化可的松对手部湿疹疗效的双盲随机对照试验。
J Altern Complement Med. 2021 Apr;27(4):323-330. doi: 10.1089/acm.2020.0343. Epub 2021 Feb 10.
6
Calcipotriol ointment shows comparable efficacy to topical steroids in chronic hand eczema.卡泊三醇软膏治疗慢性手部湿疹的疗效与局部皮质类固醇相当。
Dermatol Ther. 2019 Jul;32(4):e12956. doi: 10.1111/dth.12956. Epub 2019 May 20.
7
Efficacy and safety of topical delgocitinib in patients with chronic hand eczema: data from a randomized, double-blind, vehicle-controlled phase IIa study.外用德谷替尼治疗慢性手部湿疹患者的疗效和安全性:一项随机、双盲、赋形剂对照的IIa期研究数据
Br J Dermatol. 2020 May;182(5):1103-1110. doi: 10.1111/bjd.18469. Epub 2019 Nov 8.
8
Skin colonization by Staphylococcus aureus in patients with eczema and atopic dermatitis and relevant combined topical therapy: a double-blind multicentre randomized controlled trial.湿疹和特应性皮炎患者金黄色葡萄球菌皮肤定植及相关联合局部治疗:一项双盲多中心随机对照试验
Br J Dermatol. 2006 Oct;155(4):680-7. doi: 10.1111/j.1365-2133.2006.07410.x.
9
A comparison of the safety, tolerability, and efficacy of fluticasone propionate ointment, 0.005%, and betamethasone-17,21-dipropionate ointment, 0.05%, in the treatment of eczema.0.005%丙酸氟替卡松软膏与0.05%倍他米松-17,21-二丙酸酯软膏治疗湿疹的安全性、耐受性及疗效比较
Cutis. 1996 Feb;57(2 Suppl):32-8.
10
Efficacy and safety of a new combination of calcipotriol and betamethasone dipropionate (once or twice daily) compared to calcipotriol (twice daily) in the treatment of psoriasis vulgaris: a randomized, double-blind, vehicle-controlled clinical trial.与每日两次使用卡泊三醇相比,每日一次或两次使用卡泊三醇和二丙酸倍他米松新组合治疗寻常型银屑病的疗效和安全性:一项随机、双盲、赋形剂对照临床试验。
Br J Dermatol. 2002 Aug;147(2):316-23. doi: 10.1046/j.1365-2133.2002.04967.x.

引用本文的文献

1
Recent Advances in Phytochemical-Based Topical Applications for the Management of Eczema: A Review.基于植物化学的湿疹局部治疗应用的最新进展:综述。
Int J Mol Sci. 2024 May 15;25(10):5375. doi: 10.3390/ijms25105375.

本文引用的文献

1
An Evidence-Based Study on Medicinal Plants for Hemorrhoids in Medieval Persia.中世纪波斯治疗痔疮药用植物的循证研究
J Evid Based Complementary Altern Med. 2017 Oct;22(4):969-981. doi: 10.1177/2156587216688597. Epub 2017 Jan 24.
2
Efficacy of topical Rose (Rosa damascena Mill.) oil for migraine headache: A randomized double-blinded placebo-controlled cross-over trial.局部应用玫瑰(大马士革玫瑰)油治疗偏头痛的疗效:一项随机双盲安慰剂对照交叉试验。
Complement Ther Med. 2017 Oct;34:35-41. doi: 10.1016/j.ctim.2017.07.009. Epub 2017 Jul 25.
3
Efficacy of topical chamomile oil for mild and moderate carpal tunnel syndrome: A randomized double-blind placebo-controlled clinical trial.
外用洋甘菊油治疗轻中度腕管综合征的疗效:一项随机双盲安慰剂对照临床试验。
Complement Ther Clin Pract. 2017 Feb;26:61-67. doi: 10.1016/j.ctcp.2016.11.010. Epub 2016 Nov 30.
4
Successful treatment of refractory chronic hand eczema with calcipotriol/betamethasone ointment: A report of three cases.卡泊三醇/倍他米松软膏成功治疗难治性慢性手部湿疹:三例报告
Exp Ther Med. 2015 Nov;10(5):1943-1946. doi: 10.3892/etm.2015.2729. Epub 2015 Sep 4.
5
Alternative, Complementary, and Forgotten Remedies for Atopic Dermatitis.特应性皮炎的替代、补充和被遗忘的疗法。
Evid Based Complement Alternat Med. 2015;2015:676897. doi: 10.1155/2015/676897. Epub 2015 Jul 15.
6
Management of Chronic Hand Eczema.慢性手部湿疹的管理
Actas Dermosifiliogr. 2015 Sep;106(7):533-44. doi: 10.1016/j.ad.2015.04.005. Epub 2015 May 23.
7
Alitretinoin for the treatment of severe chronic hand eczema.阿利维A酸治疗重度慢性手部湿疹。
Patient Prefer Adherence. 2014 Nov 25;8:1629-34. doi: 10.2147/PPA.S38830. eCollection 2014.
8
Systemic side-effects of topical corticosteroids.局部用皮质类固醇的全身性副作用。
Indian J Dermatol. 2014 Sep;59(5):460-4. doi: 10.4103/0019-5154.139874.
9
Hand eczema.手部湿疹
Indian J Dermatol. 2014 May;59(3):213-24. doi: 10.4103/0019-5154.131372.
10
Comparison of therapeutic effect of topical Nigella with Betamethasone and Eucerin in hand eczema.比较黑种草籽油局部治疗与倍他米松和优色林对手部湿疹的疗效。
J Eur Acad Dermatol Venereol. 2013 Dec;27(12):1498-504. doi: 10.1111/jdv.12033. Epub 2012 Dec 1.