Higher Institute of Sport and Physical Education of Gafsa, Gafsa 2100, Tunisia.
Institute of Sport and Physical Education of Ksar Said, University of Manouba, Manouba 2010, Tunisia.
Nutrients. 2020 Oct 29;12(11):3306. doi: 10.3390/nu12113306.
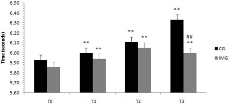
The objective of this study was to explore whether a training program incorporating motor imagery could have an effect on physical performance outcomes in terms of agility, speed, and reaction time in a sample of tennis athletes who fasted during the month of Ramadan. Recruited subjects were 27 young male tennis players, randomly allocated to two groups: the imaging training group ( = 13) and a control group ( = 14). The study was designed as a randomized, controlled experimental study. The control group was engaged in watching videos concerning the history of the Olympic Games, whereas the motor imagery group followed a motor imagery-based training program. Physical performance outcomes were assessed during four sessions (one before Ramadan and three during Ramadan) by means of field tests. Our results revealed a drop in all performance outcomes measured in the middle and at the end of Ramadan for both groups ( < 0.01). The effect of the group × time interaction ( < 0.01) was reported for all physical performance outcomes measured for the two groups. This drop in performance was greater for the control group compared to the motor imagery group in the middle and at the end of Ramadan. This study showed that fasting during Ramadan reduced agility, speed, and reaction time performance for tennis players. A motor imagery-based training program could be an effective approach to reduce the effect of fasting during Ramadan and stabilize physical performance outcomes in terms of agility, speed, and reaction time for male tennis players.
本研究旨在探讨在斋戒月期间禁食的网球运动员样本中,结合运动意象的训练计划是否能对敏捷性、速度和反应时间等身体表现结果产生影响。招募的受试者为 27 名年轻男性网球运动员,随机分为两组:意象训练组(n=13)和对照组(n=14)。该研究设计为随机对照实验研究。对照组观看有关奥运会历史的视频,而运动意象组则遵循基于运动意象的训练计划。在四个时间段(斋月前一次,斋月中三次)通过现场测试评估身体表现结果。我们的结果显示,两组在斋月中期和末期的所有表现结果都有所下降(<0.01)。报告了两组所有身体表现结果的组×时间交互作用(<0.01)。与运动意象组相比,对照组在斋月中期和末期的表现下降更为明显。这项研究表明,斋戒月期间禁食会降低网球运动员的敏捷性、速度和反应时间表现。基于运动意象的训练计划可能是一种有效的方法,可以减少斋戒月期间禁食的影响,并稳定男性网球运动员在敏捷性、速度和反应时间方面的身体表现结果。