• 文献检索
  • 文档翻译
  • 深度研究
  • 学术资讯
  • Suppr Zotero 插件Zotero 插件
  • 邀请有礼
  • 套餐&价格
  • 历史记录
应用&插件
Suppr Zotero 插件Zotero 插件浏览器插件Mac 客户端Windows 客户端微信小程序
定价
高级版会员购买积分包购买API积分包
服务
文献检索文档翻译深度研究API 文档MCP 服务
关于我们
关于 Suppr公司介绍联系我们用户协议隐私条款
关注我们

Suppr 超能文献

核心技术专利:CN118964589B侵权必究
粤ICP备2023148730 号-1Suppr @ 2026

文献检索

告别复杂PubMed语法,用中文像聊天一样搜索,搜遍4000万医学文献。AI智能推荐,让科研检索更轻松。

立即免费搜索

文件翻译

保留排版,准确专业,支持PDF/Word/PPT等文件格式,支持 12+语言互译。

免费翻译文档

深度研究

AI帮你快速写综述,25分钟生成高质量综述,智能提取关键信息,辅助科研写作。

立即免费体验

应激和营养因素对汗液和唾液皮质醇的反应。

Sweat and saliva cortisol response to stress and nutrition factors.

机构信息

Department of Biomedical Engineering, Binghamton University-State University of New York, Binghamton, NY, 13902, USA.

Health and Wellness Studies Department, Binghamton University-State University of New York, Binghamton, NY, 13902, USA.

出版信息

Sci Rep. 2020 Nov 4;10(1):19050. doi: 10.1038/s41598-020-75871-3.

DOI:10.1038/s41598-020-75871-3
PMID:33149196
原文链接:https://pmc.ncbi.nlm.nih.gov/articles/PMC7643128/
Abstract

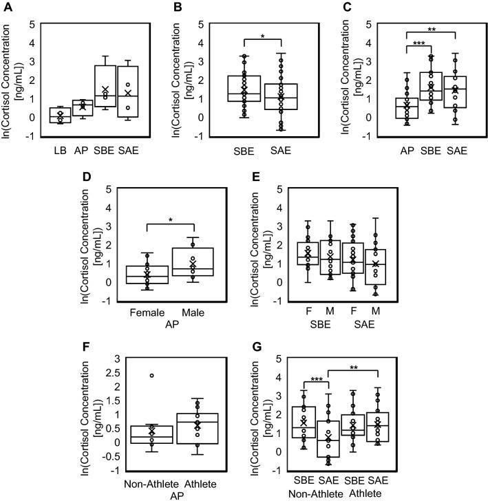
Cortisol is a biomarker for stress monitoring; however, the biomedical and clinical relevance is still controversial due to the complexity of cortisol secretion mechanisms and their circadian cycles as well as environmental factors that affect physiological cortisol level, which include individual mood and dietary intake. To further investigate this multifaceted relationship, a human pilot study examined cortisol concentration in sweat and saliva samples collected from 48 college-aged participants during aerobic exercise sessions along with mental distress and nutrition surveys. Enzyme-linked immunosorbent assays determined highly significant differences between apocrine-dominant sweat (AP), saliva before exercise (SBE), and saliva after exercise (SAE) cortisol concentration (AP-SBE: p = 0.0017, AP-SAE: p = 0.0102). A significantly greater AP cortisol concentration was detected in males compared to females (p = 0.0559), and significant SAE cortisol concentration differences were also recorded between recreational athletes and non-athletes (p = 0.044). However, Kessler 10 Psychological Distress Scale (K10) scores, an examination administered to deduce overall wellness, provided no significant differences between males and females or athletes and non-athletes in distress levels, which statistically signifies a direct relationship to cortisol was not present. For further analysis, dietary intake from all participants was considered to investigate whether a multiplexed association was prevalent between nutrition, mood, and cortisol release. Significant positive correlations between AP cortisol, SAE cortisol, K10 scores, and fat intake among female participants and athletes were discovered. The various machine learning algorithms utilized the extensive connections between dietary intake, overall well-being, sex factors, athletic activity, and cortisol concentrations in various biofluids to predict K10 scores. Indeed, the understanding of physiochemical stress response and the associations between studied factors can advance algorithm developments for cortisol biosensing systems to mitigate stress-based illnesses and improve an individual's quality of life.

摘要

皮质醇是压力监测的生物标志物;然而,由于皮质醇分泌机制及其昼夜节律的复杂性以及影响生理皮质醇水平的环境因素,包括个体情绪和饮食摄入,其生物医学和临床相关性仍存在争议。为了进一步研究这种多方面的关系,一项针对大学生的人体初步研究调查了 48 名大学生在有氧运动过程中从顶泌汗腺汗液和唾液样本中收集的皮质醇浓度,以及心理困扰和营养调查。酶联免疫吸附测定法确定了顶泌汗腺(AP)为主的汗液(AP)、运动前唾液(SBE)和运动后唾液(SAE)皮质醇浓度之间存在显著差异(AP-SBE:p=0.0017,AP-SAE:p=0.0102)。与女性相比,男性的 AP 皮质醇浓度明显更高(p=0.0559),且在休闲运动员和非运动员之间也记录到了 SAE 皮质醇浓度的差异(p=0.044)。然而,凯斯勒 10 项心理困扰量表(K10)评分,一项用于推断整体健康状况的检查,在困扰水平上未显示男性和女性或运动员和非运动员之间的显著差异,这从统计学上表明皮质醇之间不存在直接关系。为了进一步分析,考虑了所有参与者的饮食摄入,以调查营养、情绪和皮质醇释放之间是否存在多关联。在女性参与者和运动员中,AP 皮质醇、SAE 皮质醇、K10 评分和脂肪摄入量之间发现了显著的正相关。各种机器学习算法利用了饮食摄入、整体健康状况、性别因素、体育活动以及各种生物流体中皮质醇浓度之间的广泛联系,来预测 K10 评分。事实上,对生理化学应激反应的理解以及研究因素之间的关联可以促进皮质醇生物传感系统的算法发展,以减轻应激相关疾病并提高个人的生活质量。

https://cdn.ncbi.nlm.nih.gov/pmc/blobs/5491/7643128/8c9226a5ea37/41598_2020_75871_Fig5_HTML.jpg
https://cdn.ncbi.nlm.nih.gov/pmc/blobs/5491/7643128/75287901bc2d/41598_2020_75871_Fig1_HTML.jpg
https://cdn.ncbi.nlm.nih.gov/pmc/blobs/5491/7643128/6be4a21eda1e/41598_2020_75871_Fig2_HTML.jpg
https://cdn.ncbi.nlm.nih.gov/pmc/blobs/5491/7643128/716d5e70e48f/41598_2020_75871_Fig3_HTML.jpg
https://cdn.ncbi.nlm.nih.gov/pmc/blobs/5491/7643128/0bfea989da35/41598_2020_75871_Fig4_HTML.jpg
https://cdn.ncbi.nlm.nih.gov/pmc/blobs/5491/7643128/8c9226a5ea37/41598_2020_75871_Fig5_HTML.jpg
https://cdn.ncbi.nlm.nih.gov/pmc/blobs/5491/7643128/75287901bc2d/41598_2020_75871_Fig1_HTML.jpg
https://cdn.ncbi.nlm.nih.gov/pmc/blobs/5491/7643128/6be4a21eda1e/41598_2020_75871_Fig2_HTML.jpg
https://cdn.ncbi.nlm.nih.gov/pmc/blobs/5491/7643128/716d5e70e48f/41598_2020_75871_Fig3_HTML.jpg
https://cdn.ncbi.nlm.nih.gov/pmc/blobs/5491/7643128/0bfea989da35/41598_2020_75871_Fig4_HTML.jpg
https://cdn.ncbi.nlm.nih.gov/pmc/blobs/5491/7643128/8c9226a5ea37/41598_2020_75871_Fig5_HTML.jpg

相似文献

1
Sweat and saliva cortisol response to stress and nutrition factors.应激和营养因素对汗液和唾液皮质醇的反应。
Sci Rep. 2020 Nov 4;10(1):19050. doi: 10.1038/s41598-020-75871-3.
2
Dietary Factors, Time of the Week, Physical Fitness and Saliva Cortisol: Their Modulatory Effect on Mental Distress and Mood.饮食因素、一周中的时间、身体活动和唾液皮质醇:它们对精神困扰和情绪的调节作用。
Int J Environ Res Public Health. 2022 Jun 8;19(12):7001. doi: 10.3390/ijerph19127001.
3
The detection of cortisol in human sweat: implications for measurement of cortisol in hair.人体汗液中皮质醇的检测:对头发中皮质醇测量的影响。
Ther Drug Monit. 2014 Feb;36(1):30-4. doi: 10.1097/FTD.0b013e31829daa0a.
4
The Cortisol Awakening Response: Association With Training Load in Endurance Runners.皮质醇觉醒反应:与耐力跑运动员训练负荷的关系。
Int J Sports Physiol Perform. 2018 Oct 1;13(9):1158-1163. doi: 10.1123/ijspp.2017-0740. Epub 2018 Oct 26.
5
Optimism, positive affectivity, and salivary cortisol.乐观、积极情感与唾液皮质醇
Br J Health Psychol. 2005 Nov;10(Pt 4):467-84. doi: 10.1348/135910705X26083.
6
Maternal prenatal and early postnatal distress and child stress responses at age 6.母亲产前和产后早期的困扰与 6 岁儿童的应激反应。
Stress. 2019 Nov;22(6):654-663. doi: 10.1080/10253890.2019.1608945. Epub 2019 May 16.
7
The effects of perceived stress, traits, mood states, and stressful daily events on salivary cortisol.感知压力、特质、情绪状态及日常应激事件对唾液皮质醇的影响。
Psychosom Med. 1996 Sep-Oct;58(5):447-58. doi: 10.1097/00006842-199609000-00007.
8
Efficient sweat reduction of three different antiperspirant application forms during stress-induced sweating.三种不同止汗剂剂型在应激性出汗时的止汗效率。
Int J Cosmet Sci. 2013 Dec;35(6):622-31. doi: 10.1111/ics.12086. Epub 2013 Sep 2.
9
A 2 Week Cross-over Intervention with a Low Carbohydrate, High Fat Diet Compared to a High Carbohydrate Diet Attenuates Exercise-Induced Cortisol Response, but Not the Reduction of Exercise Capacity, in Recreational Athletes.一项为期两周的交叉干预研究发现,与高碳水化合物饮食相比,低碳水化合物、高脂肪饮食可减轻运动引起的皮质醇反应,但不能减少业余运动员的运动能力。
Nutrients. 2021 Jan 6;13(1):157. doi: 10.3390/nu13010157.
10
Salivary Immuno Factors, Cortisol and Testosterone Responses in Athletes of a Competitive 5,000 m Race.5000米竞赛运动员的唾液免疫因子、皮质醇和睾酮反应
Chin J Physiol. 2015 Aug 31;58(4):263-9. doi: 10.4077/CJP.2015.BAE367.

引用本文的文献

1
Mapping Multi-Modal Fatigue in Elite Soccer Through Sweat-Omics Perspectives: A Narrative Review.从汗液组学视角绘制精英足球运动员的多模态疲劳:一篇叙述性综述
Biology (Basel). 2025 Aug 16;14(8):1069. doi: 10.3390/biology14081069.
2
Multi-omics signature of healthy versus unhealthy lifestyles reveals associations with diseases.健康与不健康生活方式的多组学特征揭示了与疾病的关联。
Hum Genomics. 2025 Aug 30;19(1):101. doi: 10.1186/s40246-025-00817-7.
3
Noninvasive On-Skin Biosensors for Monitoring Diabetes Mellitus.用于监测糖尿病的无创皮肤生物传感器

本文引用的文献

1
Comparison of Colorimetric Analyses to Determine Cortisol in Human Sweat.用于测定人汗液中皮质醇的比色分析方法比较
ACS Omega. 2020 Mar 31;5(14):8211-8218. doi: 10.1021/acsomega.0c00498. eCollection 2020 Apr 14.
2
Investigation of cortisol dynamics in human sweat using a graphene-based wireless mHealth system.使用基于石墨烯的无线移动健康系统对人体汗液中的皮质醇动态进行研究。
Matter. 2020 Apr 1;2(4):921-937. doi: 10.1016/j.matt.2020.01.021. Epub 2020 Feb 26.
3
Physiological mechanisms determining eccrine sweat composition.决定外分泌汗液成分的生理机制。
Nanomicro Lett. 2025 Jul 31;18(1):16. doi: 10.1007/s40820-025-01843-9.
4
The molecular signature of heat stress in sweat reveals non-invasive biomarker candidates for health monitoring.汗液中热应激的分子特征揭示了用于健康监测的非侵入性生物标志物候选物。
Commun Biol. 2025 Apr 23;8(1):650. doi: 10.1038/s42003-025-08080-1.
5
On-site analysis of cortisol in saliva based on microchannel lateral flow assay (mLFA) on polymer lab-on-a-chip (LOC).基于聚合物芯片实验室(LOC)上的微通道侧流分析(mLFA)对唾液中皮质醇进行现场分析。
Biomed Microdevices. 2025 Apr 10;27(2):17. doi: 10.1007/s10544-025-00733-6.
6
They're Only Human! Tension and Stress Predict Performance of Softball Umpires in National Championships.他们只是普通人!紧张和压力预测全国锦标赛中垒球裁判员的表现。
Sports (Basel). 2025 Jan 28;13(2):35. doi: 10.3390/sports13020035.
7
A Dual Biomarker Approach to Stress: Hair and Salivary Cortisol Measurement in Students via LC-MS/MS.一种用于应激研究的双生物标志物方法:通过液相色谱-串联质谱法测量学生头发和唾液中的皮质醇
Anal Sci Adv. 2025 Feb 21;6(1):e70003. doi: 10.1002/ansa.70003. eCollection 2025 Jun.
8
Can consumption of finger millet diet improve mental health status in athletes: a possible link with modulation of cortisol levels.食用龙爪稷饮食能改善运动员的心理健康状况吗:与皮质醇水平调节的可能联系。
Phys Act Nutr. 2024 Dec;28(4):49-59. doi: 10.20463/pan.2024.0032. Epub 2024 Dec 31.
9
Sample Preparation for Metabolomic Analysis in Exercise Physiology.运动生理学中代谢组学分析的样本制备
Biomolecules. 2024 Dec 7;14(12):1561. doi: 10.3390/biom14121561.
10
Rapid optical determination of salivary cortisol responses in individuals undergoing physiological and psychological stress.快速光学测定处于生理和心理应激状态下个体的唾液皮质醇反应。
Sci Rep. 2024 Dec 30;14(1):31578. doi: 10.1038/s41598-024-69466-5.
Eur J Appl Physiol. 2020 Apr;120(4):719-752. doi: 10.1007/s00421-020-04323-7. Epub 2020 Mar 2.
4
CortiWatch: watch-based cortisol tracker.CortiWatch:基于手表的皮质醇追踪器。
Future Sci OA. 2019 Sep 26;5(9):FSO416. doi: 10.2144/fsoa-2019-0061.
5
Evaluation of the level of cortisol, capillary blood glucose, and blood pressure in response to anxiety of patients rehabilitated with complete dentures.评估全口义齿修复患者焦虑时的皮质醇、毛细血管血糖和血压水平。
BMC Oral Health. 2019 May 3;19(1):75. doi: 10.1186/s12903-019-0763-z.
6
Healthy eating index versus alternate healthy index in relation to diabetes status and health markers in U.S. adults: NHANES 2007-2010.健康饮食指数与替代健康指数与美国成年人糖尿病状况和健康指标的关系:NHANES 2007-2010。
Nutr J. 2019 Apr 17;18(1):26. doi: 10.1186/s12937-019-0450-6.
7
College Students and Eating Habits: A Study Using An Ecological Model for Healthy Behavior.大学生与饮食习惯:基于健康行为生态模型的研究。
Nutrients. 2018 Nov 23;10(12):1823. doi: 10.3390/nu10121823.
8
The Kessler psychological distress scale: translation and validation of an Arabic version.凯斯勒心理困扰量表:阿拉伯语版本的翻译与验证
Health Qual Life Outcomes. 2017 Oct 27;15(1):215. doi: 10.1186/s12955-017-0783-9.
9
Quantification of cortisol in human eccrine sweat by liquid chromatography - tandem mass spectrometry.采用液相色谱-串联质谱法对人外泌汗腺汗液中的皮质醇进行定量分析。
Analyst. 2016 Mar 21;141(6):2053-60. doi: 10.1039/c5an02387d.
10
Distribution characteristics of salivary cortisol measurements in a healthy young male population.健康年轻男性群体唾液皮质醇测量值的分布特征
J Physiol Anthropol. 2015 Aug 19;34(1):30. doi: 10.1186/s40101-015-0068-0.