Listyanda R Faiz, Wildan Muhammad Waziz, Ilman Mochammad Noer
Department of Mechanical and Industrial Engineering, Faculty of Engineering, Universitas Gadjah Mada, Jalan Grafika No. 2, Yogyakarta, 55281, Indonesia.
Heliyon. 2020 Nov 11;6(11):e05486. doi: 10.1016/j.heliyon.2020.e05486. eCollection 2020 Nov.
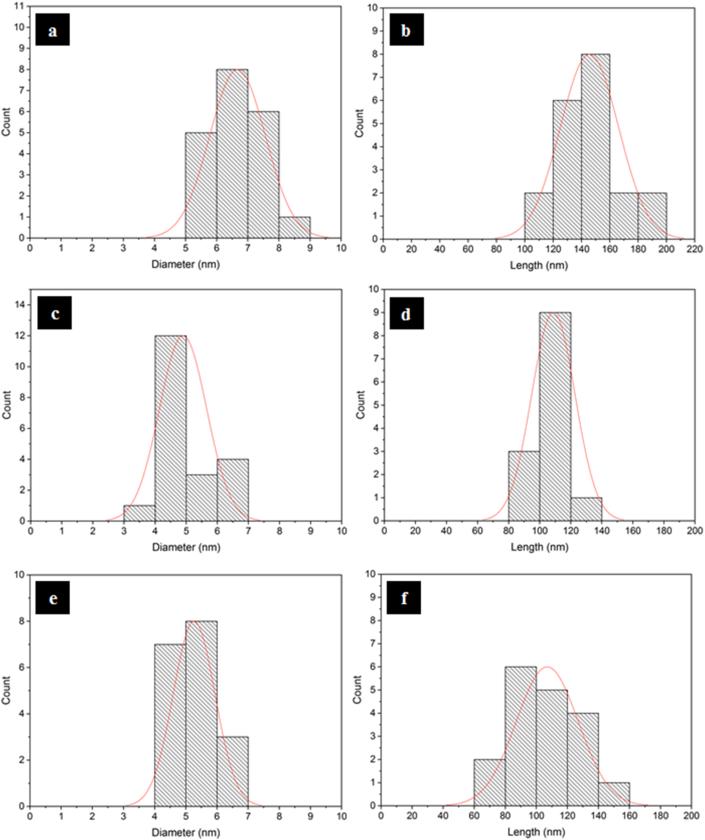
Cellulose nanocrystals (CNCs) were isolated from ramie fibers through chemical pretreatments accompanied by sulfuric acid hydrolysis. The influences of both temperature and hydrolysis time on the properties of CNCs were discussed in the present study. The characterization of CNCs was conducted using FT-IR, XRD, TEM, and TGA. The results showed the characteristics of obtained CNCs were influenced significantly by both temperature and time of hydrolysis. The crystallinity, dimensions, and thermal stability of CNCs were found to reduce by increasing both temperature and reaction time of hydrolysis. The optimal hydrolysis parameters were achieved at 45 °C for 30 min with 58% sulfuric acid to produce CNCs, rod-like particles with a high crystallinity (90.77%), diameter (6.67 nm), length (145.61 nm), and best thermal stability among all CNCs. The obtained CNCs had a higher potential for application of alternative reinforcing fillers in the nanocomposites.
通过化学预处理并伴随硫酸水解从苎麻纤维中分离出纤维素纳米晶体(CNCs)。本研究讨论了温度和水解时间对CNCs性能的影响。使用傅里叶变换红外光谱(FT-IR)、X射线衍射(XRD)、透射电子显微镜(TEM)和热重分析(TGA)对CNCs进行表征。结果表明,所获得的CNCs的特性受到水解温度和时间的显著影响。发现通过提高水解温度和反应时间,CNCs的结晶度、尺寸和热稳定性会降低。在45℃下用58%的硫酸水解30分钟可获得最佳水解参数,从而制备出具有高结晶度(90.77%)、直径(6.67纳米)、长度(145.61纳米)且在所有CNCs中热稳定性最佳的棒状CNCs颗粒。所获得的CNCs在纳米复合材料中作为替代增强填料具有更高的应用潜力。