• 文献检索
  • 文档翻译
  • 深度研究
  • 学术资讯
  • Suppr Zotero 插件Zotero 插件
  • 邀请有礼
  • 套餐&价格
  • 历史记录
应用&插件
Suppr Zotero 插件Zotero 插件浏览器插件Mac 客户端Windows 客户端微信小程序
定价
高级版会员购买积分包购买API积分包
服务
文献检索文档翻译深度研究API 文档MCP 服务
关于我们
关于 Suppr公司介绍联系我们用户协议隐私条款
关注我们

Suppr 超能文献

核心技术专利:CN118964589B侵权必究
粤ICP备2023148730 号-1Suppr @ 2026

文献检索

告别复杂PubMed语法,用中文像聊天一样搜索,搜遍4000万医学文献。AI智能推荐,让科研检索更轻松。

立即免费搜索

文件翻译

保留排版,准确专业,支持PDF/Word/PPT等文件格式,支持 12+语言互译。

免费翻译文档

深度研究

AI帮你快速写综述,25分钟生成高质量综述,智能提取关键信息,辅助科研写作。

立即免费体验

一天中的时间很重要:对一家法医精神病医院的昼夜节律类型的探索性评估。

Time of Day Matters: An Exploratory Assessment of Chronotype in a Forensic Psychiatric Hospital.

作者信息

Belfry Kimberly D, Deibel Scott H, Kolla Nathan J

机构信息

Waypoint Centre for Mental Health Care, Waypoint Research Institute, Penetanguishene, ON, Canada.

Department of Psychology, Memorial University of Newfoundland, St. John's, NL, Canada.

出版信息

Front Psychiatry. 2020 Dec 18;11:550597. doi: 10.3389/fpsyt.2020.550597. eCollection 2020.

DOI:10.3389/fpsyt.2020.550597
PMID:33391041
原文链接:https://pmc.ncbi.nlm.nih.gov/articles/PMC7775360/
Abstract

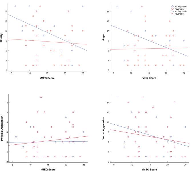
A growing body of evidence links the late chronotype to mental illness, aggression, and aversive personality traits. However, much of what we know about these associations is based on healthy cohorts, and it is unclear how individuals with high levels of aggression, including forensic psychiatric populations, but not offenders, are affected. The present study aimed to measure chronotype in a forensic psychiatric inpatient population, evaluate the impact of diagnosis, and identify any interactive relationships between chronotype, diagnosis, aggression, and dark triad traits. Subjects completed the reduced Morningness-Eveningness Questionnaire (rMEQ), Munich ChronoType Questionnaire (MCTQ), Pittsburgh Sleep Quality Index (PSQI), Buss Perry Aggression Questionnaire-Short Form (BPAQ-SF), and Short Dark Triad Questionnaire (SD3). We sampled 55 forensic psychiatric patients (52 males) between the ages of 23 and 73 years (mean ± SD: 39.6 ± 14.3 years). Among the patients sampled, 25% were evening types and 36% were morning types. Eveningness was greater in patients with a personality disorder; however, no chronotype differences were found for psychosis patients. Patients without psychosis had a positive association between anger and eveningness, as well as between hostility and eveningness. For subjects with a substance use disorder, morningness was positively associated with narcissism. Conversely, an association between eveningness and greater narcissism was identified in patients who did not have a substance use disorder. These findings suggest that, compared to the general population, evening types are more prevalent in forensic psychiatric populations, with the strongest preference among patients diagnosed with a personality disorder. No differences in chronotype were identified for psychosis patients, which may be related to anti-psychotic medication dosing. Given the sex distribution of the sample, these findings may be more relevant to male populations.

摘要

越来越多的证据表明,晚睡型与精神疾病、攻击性和厌恶型人格特质有关。然而,我们对这些关联的了解大多基于健康人群,尚不清楚包括法医精神病学人群(而非罪犯)在内的高攻击性个体受到了怎样的影响。本研究旨在测量法医精神病住院患者的昼夜节律类型,评估诊断的影响,并确定昼夜节律类型、诊断、攻击性和黑暗三性格特质之间的任何交互关系。受试者完成了简化版晨型-夜型问卷(rMEQ)、慕尼黑昼夜节律类型问卷(MCTQ)、匹兹堡睡眠质量指数(PSQI)、布斯-佩里攻击性问卷简版(BPAQ-SF)和黑暗三性格问卷简版(SD3)。我们对55名年龄在23至73岁之间(平均±标准差:39.6±14.3岁)的法医精神病患者(52名男性)进行了抽样。在抽样患者中,25%为夜型,36%为晨型。人格障碍患者的夜型倾向更明显;然而,精神病患者在昼夜节律类型上没有差异。没有精神病的患者,愤怒与夜型之间以及敌意与夜型之间呈正相关。对于患有物质使用障碍的受试者,晨型与自恋呈正相关。相反,在没有物质使用障碍的患者中,夜型与更高的自恋之间存在关联。这些发现表明,与普通人群相比,夜型在法医精神病学人群中更为普遍,在被诊断为人格障碍的患者中偏好最为明显。精神病患者在昼夜节律类型上没有差异,这可能与抗精神病药物剂量有关。鉴于样本的性别分布,这些发现可能与男性人群更为相关。

https://cdn.ncbi.nlm.nih.gov/pmc/blobs/e0f9/7775360/27e341867043/fpsyt-11-550597-g0002.jpg
https://cdn.ncbi.nlm.nih.gov/pmc/blobs/e0f9/7775360/a10580546623/fpsyt-11-550597-g0001.jpg
https://cdn.ncbi.nlm.nih.gov/pmc/blobs/e0f9/7775360/27e341867043/fpsyt-11-550597-g0002.jpg
https://cdn.ncbi.nlm.nih.gov/pmc/blobs/e0f9/7775360/a10580546623/fpsyt-11-550597-g0001.jpg
https://cdn.ncbi.nlm.nih.gov/pmc/blobs/e0f9/7775360/27e341867043/fpsyt-11-550597-g0002.jpg

相似文献

1
Time of Day Matters: An Exploratory Assessment of Chronotype in a Forensic Psychiatric Hospital.一天中的时间很重要:对一家法医精神病医院的昼夜节律类型的探索性评估。
Front Psychiatry. 2020 Dec 18;11:550597. doi: 10.3389/fpsyt.2020.550597. eCollection 2020.
2
Circadian rhythms and decision-making: a review and new evidence from electroencephalography.昼夜节律与决策:一项综述及来自脑电图的新证据
Chronobiol Int. 2020 Apr;37(4):520-541. doi: 10.1080/07420528.2020.1715421. Epub 2020 Jan 31.
3
Chronotype, sleep quality, impulsivity and aggression in patients with borderline personality disorder and healthy controls.边缘型人格障碍患者与健康对照者的睡眠时相、睡眠质量、冲动性和攻击性。
Chronobiol Int. 2024 Oct;41(10):1307-1312. doi: 10.1080/07420528.2024.2410239. Epub 2024 Oct 1.
4
Chronotypes in elite Japanese athletes: assessed by the reduced Morningness-Eveningness and Munich ChronoType Questionnaires.日本精英运动员的昼夜类型:通过简化的 Morningness-Eveningness 和慕尼黑昼夜类型问卷进行评估。
Chronobiol Int. 2021 Jun;38(6):820-829. doi: 10.1080/07420528.2021.1897608. Epub 2021 Mar 15.
5
The influence of sleep complaints on the association between chronotype and negative emotionality in young adults.睡眠问题对年轻人昼夜节律类型与负面情绪之间关联的影响。
Chronobiol Int. 2015 Feb;32(1):1-10. doi: 10.3109/07420528.2014.935786. Epub 2014 Jul 8.
6
Comparison of Munich Chronotype Questionnaire (MCTQ) and Morningness-Eveningness Questionnaire (MEQ) Czech version.慕尼黑时间类型问卷(MCTQ)与捷克版晨间-晚间问卷(MEQ)的比较。
Chronobiol Int. 2020 Nov;37(11):1591-1598. doi: 10.1080/07420528.2020.1787426. Epub 2020 Jul 13.
7
Chronotype-related differences in childhood and adolescent aggression and antisocial behavior--a review of the literature.与时间类型相关的儿童和青少年攻击和反社会行为的差异——文献综述。
Chronobiol Int. 2014 Feb;31(1):1-16. doi: 10.3109/07420528.2013.829846. Epub 2013 Oct 22.
8
The Chinese Morningness-Eveningness-Stability-Scale improved (MESSi): validity, reliability, and associations with sleep quality, personality, affect and life satisfaction.中国晨型-夜型-稳定性量表改进版(MESSi):效度、信度及其与睡眠质量、人格、情感和生活满意度的关联
Chronobiol Int. 2019 Aug;36(8):1036-1046. doi: 10.1080/07420528.2019.1608225. Epub 2019 Jun 10.
9
Chronotypes in patients with nonseasonal depressive disorder: Distribution, stability and association with clinical variables.非季节性抑郁症患者的昼夜节律类型:分布、稳定性及其与临床变量的关联。
Chronobiol Int. 2015;32(10):1343-51. doi: 10.3109/07420528.2015.1091353. Epub 2015 Nov 5.
10
Chronotype and time of day effects on verbal and facial emotional Stroop task performance in adolescents.青少年的昼夜节律类型和时间对言语及面部情绪Stroop任务表现的影响
Chronobiol Int. 2022 Mar;39(3):323-332. doi: 10.1080/07420528.2021.1998102. Epub 2022 Jan 4.

引用本文的文献

1
Chronotype and Mental Health: Are Late Sleepers More Vulnerable?昼夜节律类型与心理健康:晚睡者更容易受到影响吗?
Curr Psychiatry Rep. 2025 Aug 9. doi: 10.1007/s11920-025-01626-4.
2
Common Ground between Biological Rhythms and Forensics.生物节律与法医学的共同基础
Biology (Basel). 2022 Jul 18;11(7):1071. doi: 10.3390/biology11071071.
3
Biological Rhythm and Chronotype: New Perspectives in Health.生物节律与睡眠类型:健康新视角。

本文引用的文献

1
Are Owls and Larks Different When it Comes to Aggression? Genetics, Neurobiology, and Behavior.在攻击性方面,夜猫子型和早起鸟型的人有差异吗?遗传学、神经生物学与行为。
Front Behav Neurosci. 2020 Mar 17;14:39. doi: 10.3389/fnbeh.2020.00039. eCollection 2020.
2
Poor sleep quality at baseline is associated with increased aggression over one year in forensic psychiatric patients.基线时睡眠质量差与法医精神病患者一年以上的攻击行为增加有关。
Sleep Med. 2020 Mar;67:1-6. doi: 10.1016/j.sleep.2019.11.1183. Epub 2019 Nov 14.
3
Do the Morningness-Eveningness Questionnaire and Munich ChronoType Questionnaire Change After Morning Light Treatment?
Biomolecules. 2021 Mar 24;11(4):487. doi: 10.3390/biom11040487.
经过早晨光照治疗后,晨型-夜型问卷和慕尼黑时间类型问卷会发生变化吗?
Sleep Sci Pract. 2018;2. doi: 10.1186/s41606-018-0031-1. Epub 2018 Sep 16.
4
Chronotype and Mental Health: Recent Advances.时型与心理健康:最新进展。
Curr Psychiatry Rep. 2018 Jul 23;20(8):59. doi: 10.1007/s11920-018-0925-8.
5
Chronotype and Psychiatric Disorders.昼夜节律类型与精神障碍
Curr Sleep Med Rep. 2018;4(2):94-103. doi: 10.1007/s40675-018-0113-8. Epub 2018 Apr 16.
6
Subjective sleep quality and sleep duration of patients in a psychiatric hospital.精神病院中患者的主观睡眠质量和睡眠时间
Sleep Sci. 2016 Jul-Sep;9(3):202-206. doi: 10.1016/j.slsci.2016.08.004. Epub 2016 Sep 16.
7
The Circadian Clock and Human Health.昼夜节律时钟与人类健康。
Curr Biol. 2016 May 23;26(10):R432-43. doi: 10.1016/j.cub.2016.04.011.
8
Chronotype, gender and general health.昼夜节律类型、性别与总体健康状况。
Chronobiol Int. 2016;33(7):863-82. doi: 10.1080/07420528.2016.1176927. Epub 2016 May 5.
9
Patterns of self-reported depressive symptoms in relation to morningness-eveningness in inpatients with a depressive disorder.抑郁障碍住院患者自述抑郁症状与晨型-晚型的关系模式。
Psychiatry Res. 2016 May 30;239:163-8. doi: 10.1016/j.psychres.2016.03.018. Epub 2016 Mar 10.
10
The associations of morningness-eveningness with anger and impulsivity in the general population.普通人群中晨型-夜型与愤怒及冲动性的关联。
Chronobiol Int. 2016;33(2):200-9. doi: 10.3109/07420528.2015.1128947. Epub 2016 Jan 28.