• 文献检索
  • 文档翻译
  • 深度研究
  • 学术资讯
  • Suppr Zotero 插件Zotero 插件
  • 邀请有礼
  • 套餐&价格
  • 历史记录
应用&插件
Suppr Zotero 插件Zotero 插件浏览器插件Mac 客户端Windows 客户端微信小程序
定价
高级版会员购买积分包购买API积分包
服务
文献检索文档翻译深度研究API 文档MCP 服务
关于我们
关于 Suppr公司介绍联系我们用户协议隐私条款
关注我们

Suppr 超能文献

核心技术专利:CN118964589B侵权必究
粤ICP备2023148730 号-1Suppr @ 2026

文献检索

告别复杂PubMed语法,用中文像聊天一样搜索,搜遍4000万医学文献。AI智能推荐,让科研检索更轻松。

立即免费搜索

文件翻译

保留排版,准确专业,支持PDF/Word/PPT等文件格式,支持 12+语言互译。

免费翻译文档

深度研究

AI帮你快速写综述,25分钟生成高质量综述,智能提取关键信息,辅助科研写作。

立即免费体验

p16、p53和TLR9在人乳头瘤病毒相关头颈部鳞状细胞癌中的表达:临床病理相关性及潜在预后意义

Expression of p16, p53, and TLR9 in HPV-Associated Head and Neck Squamous Cell Carcinoma: Clinicopathological Correlations and Potential Prognostic Significance.

作者信息

Wang Shu, Zhuang Xibing, Gao Caixia, Qiao Tiankui

机构信息

Center for Tumor Diagnosis and Therapy, Jinshan Hospital, Fudan University, Shanghai, 201508, People's Republic of China.

出版信息

Onco Targets Ther. 2021 Feb 5;14:867-877. doi: 10.2147/OTT.S293163. eCollection 2021.

DOI:10.2147/OTT.S293163
PMID:33574680
原文链接:https://pmc.ncbi.nlm.nih.gov/articles/PMC7873021/
Abstract

PURPOSE

To investigate the association of human papillomavirus (HPV) status with p16, p53, and TLR9 expression in head and neck squamous cell carcinoma (HNSCC) and to evaluate these proteins as potential surrogate prognostic markers.

METHODS

Expression of p16, p53, and TLR9 was assessed by immunohistochemistry, and HPV status was analyzed by in situ hybridization in 85 tumors of patients with HNSCC. Chi-square test was performed to evaluate the correlations of HPV infection with p16, p53, and TLR9 expression. Kaplan-Meier method and Cox regression analyses were applied to evaluate the associations between the expression levels of these proteins and patient outcomes.

RESULTS

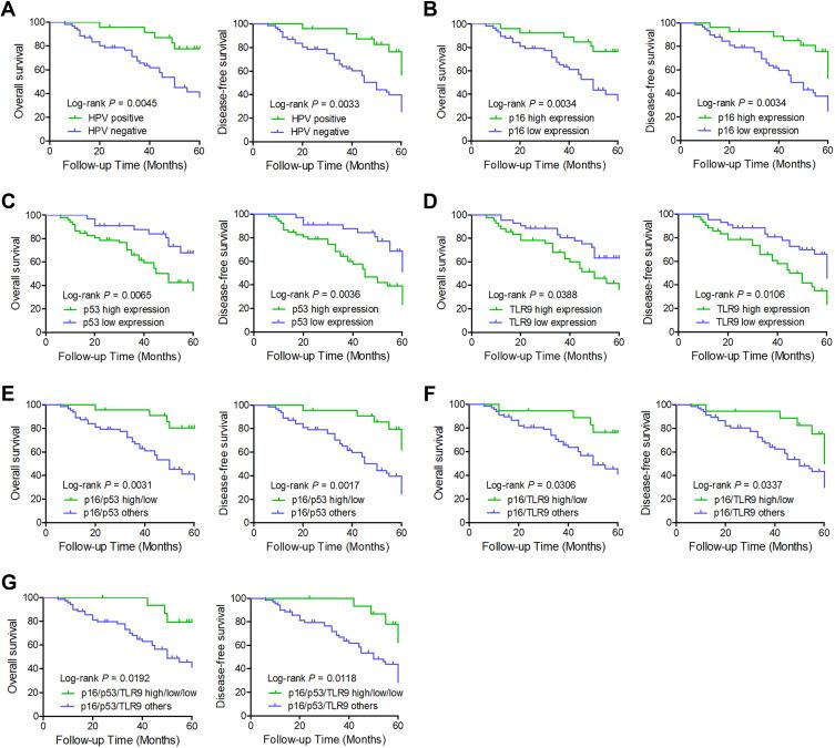
Overall, 24 of the 85 HNSCC specimens were associated with HPV infection. High expression of p16, p53, and TLR9 in tumor cells was observed in 31.76%, 61.18%, and 49.41% of the specimens, respectively. p16 showed a higher diagnostic odds ratio for the prediction of HPV DNA positivity than p53 and TLR9. Improved 5-year overall and disease-free survival correlated with HPV positivity and high p16, low p53, and low TLR9 expression. Associations with improved outcomes were also observed for marker combinations high p16/low p53 and high p16/low p53/low TLR9. In a multivariate analysis, the high p16/low p53 signature showed the lowest hazard ratio regarding death.

CONCLUSION

The expression of p16, p53, and TLR9 in HNSCC is associated with HPV status. High p53 and TLR9 expression may be related to poor outcomes. The two-marker signature high p16/low p53 in tumor cells is a reliable tool for patient survival prognostication in HNSCC.

摘要

目的

探讨人乳头瘤病毒(HPV)状态与头颈部鳞状细胞癌(HNSCC)中p16、p53和TLR9表达的相关性,并评估这些蛋白作为潜在替代预后标志物的价值。

方法

采用免疫组织化学法评估85例HNSCC患者肿瘤组织中p16、p53和TLR9的表达,原位杂交法分析HPV状态。采用卡方检验评估HPV感染与p16、p53和TLR9表达的相关性。应用Kaplan-Meier法和Cox回归分析评估这些蛋白表达水平与患者预后的关系。

结果

总体而言,85例HNSCC标本中有24例与HPV感染相关。分别在31.76%、61.18%和49.41%的标本中观察到肿瘤细胞中p16、p53和TLR9的高表达。与p53和TLR9相比,p16对预测HPV DNA阳性具有更高的诊断比值比。HPV阳性以及p16高表达、p53低表达和TLR9低表达与5年总生存率和无病生存率的提高相关。高p16/低p53和高p16/低p53/低TLR9标志物组合也与预后改善相关。多因素分析中,高p16/低p53特征显示死亡风险比最低。

结论

HNSCC中p16、p53和TLR9的表达与HPV状态相关。p53和TLR9高表达可能与不良预后相关。肿瘤细胞中高p16/低p53双标志物特征是HNSCC患者生存预后评估的可靠工具。

https://cdn.ncbi.nlm.nih.gov/pmc/blobs/5115/7873021/cc4964eac9dd/OTT-14-867-g0002.jpg
https://cdn.ncbi.nlm.nih.gov/pmc/blobs/5115/7873021/e9c35daca6e4/OTT-14-867-g0001.jpg
https://cdn.ncbi.nlm.nih.gov/pmc/blobs/5115/7873021/cc4964eac9dd/OTT-14-867-g0002.jpg
https://cdn.ncbi.nlm.nih.gov/pmc/blobs/5115/7873021/e9c35daca6e4/OTT-14-867-g0001.jpg
https://cdn.ncbi.nlm.nih.gov/pmc/blobs/5115/7873021/cc4964eac9dd/OTT-14-867-g0002.jpg

相似文献

1
Expression of p16, p53, and TLR9 in HPV-Associated Head and Neck Squamous Cell Carcinoma: Clinicopathological Correlations and Potential Prognostic Significance.p16、p53和TLR9在人乳头瘤病毒相关头颈部鳞状细胞癌中的表达:临床病理相关性及潜在预后意义
Onco Targets Ther. 2021 Feb 5;14:867-877. doi: 10.2147/OTT.S293163. eCollection 2021.
2
Prognostic significance of cell cycle-associated proteins p16, pRB, cyclin D1 and p53 in resected oropharyngeal carcinoma.p16、pRB、cyclin D1 和 p53 等细胞周期相关蛋白在切除的口咽癌中的预后意义。
J Otolaryngol Head Neck Surg. 2018 Sep 6;47(1):53. doi: 10.1186/s40463-018-0298-3.
3
A comprehensive evaluation of human papillomavirus positive status and p16INK4a overexpression as a prognostic biomarker in head and neck squamous cell carcinoma.人乳头瘤病毒阳性状态和p16INK4a过表达作为头颈部鳞状细胞癌预后生物标志物的综合评估
Int J Oncol. 2014 Jul;45(1):67-76. doi: 10.3892/ijo.2014.2440. Epub 2014 May 12.
4
[Relationship between human papilloma virus infection and expression of p16 and EGFR in head and neck squamous cell carcinoma and their prognostic significance].[人乳头瘤病毒感染与头颈部鳞状细胞癌中p16和表皮生长因子受体表达的关系及其预后意义]
Zhonghua Zhong Liu Za Zhi. 2014 Jan;36(1):23-8.
5
Heterogeneity of p16 immunohistochemistry and increased sensitivity of RNA in situ hybridization in cytology specimens of HPV-related head and neck squamous cell carcinoma.HPV 相关头颈部鳞状细胞癌细胞学标本中 p16 免疫组化的异质性和 RNA 原位杂交的敏感性增加。
Cancer Cytopathol. 2019 Oct;127(10):632-642. doi: 10.1002/cncy.22178. Epub 2019 Sep 11.
6
Combined P16 and human papillomavirus testing predicts head and neck cancer survival.联合P16和人乳头瘤病毒检测可预测头颈癌生存率。
Int J Cancer. 2014 Nov 15;135(10):2404-12. doi: 10.1002/ijc.28876. Epub 2014 Apr 17.
7
Human papillomavirus status in young patients with head and neck squamous cell carcinoma.头颈部鳞状细胞癌年轻患者的人乳头瘤病毒状态。
Int J Cancer. 2012 Apr 15;130(8):1806-12. doi: 10.1002/ijc.26195. Epub 2011 Aug 2.
8
Prevalence of Human Papillomavirus (HPV) Infection and the Association with Survival in Saudi Patients with Head and Neck Squamous Cell Carcinoma.沙特头颈鳞状细胞癌患者人乳头瘤病毒(HPV)感染率及其与生存的关联
Cancers (Basel). 2019 Jun 13;11(6):820. doi: 10.3390/cancers11060820.
9
Oropharyngeal squamous cell carcinoma: p16/p53 immunohistochemistry as a strong predictor of HPV tumour status.口咽鳞状细胞癌:p16/p53 免疫组化作为 HPV 肿瘤状态的强预测因子。
Histopathology. 2021 Sep;79(3):381-390. doi: 10.1111/his.14350. Epub 2021 May 7.
10
Biomarkers of HPV in head and neck squamous cell carcinoma.头颈部鳞状细胞癌的 HPV 生物标志物。
Cancer Res. 2012 Oct 1;72(19):5004-13. doi: 10.1158/0008-5472.CAN-11-3277. Epub 2012 Sep 18.

引用本文的文献

1
Rates of p16 and p53 expression in head and neck cutaneous squamous cell carcinoma vary according to human papillomavirus status.头颈部皮肤鳞状细胞癌中p16和p53的表达率因人类乳头瘤病毒状态而异。
World J Clin Cases. 2025 Jun 26;13(18):104313. doi: 10.12998/wjcc.v13.i18.104313.
2
Human papillomavirus E6 alters Toll-like receptor 9 transcripts and chemotherapy responses in breast cancer cells in vitro.人乳头瘤病毒E6改变体外培养的乳腺癌细胞中Toll样受体9的转录本及化疗反应。
Mol Biol Rep. 2024 Dec 7;52(1):43. doi: 10.1007/s11033-024-10143-1.
3
Impact of and gene polymorphisms on prognosis and survival of patients with oral squamous cell carcinoma.

本文引用的文献

1
Human papillomavirus (HPV) in Chinese oropharyngeal squamous cell carcinoma (OPSCC): A strong predilection for the tonsil.人乳头瘤病毒(HPV)与中国口咽鳞状细胞癌(OPSCC):强烈倾向于扁桃体。
Cancer Med. 2020 Sep;9(18):6556-6564. doi: 10.1002/cam4.3339. Epub 2020 Jul 27.
2
Prevalence of high-risk human papillomavirus and its genotype distribution in head and neck squamous cell carcinomas.头颈部鳞状细胞癌中高危型人乳头瘤病毒的流行率及其基因型分布
J Pathol Transl Med. 2020 Sep;54(5):411-418. doi: 10.4132/jptm.2020.06.22. Epub 2020 Jul 21.
3
Prevalence of Human Papilloma Virus Sub Genotypes following Head and Neck Squamous Cell Carcinomas in Asian Continent, A Systematic Review Article.
基因多态性对口腔鳞状细胞癌患者预后和生存的影响。
Biomol Biomed. 2024 Oct 17;24(6):1682-1691. doi: 10.17305/bb.2024.10550.
4
p16 and p53 can Serve as Prognostic Markers for Head and Neck Squamous Cell Carcinoma.p16 和 p53 可作为头颈部鳞状细胞癌的预后标志物。
Int Dent J. 2024 Jun;74(3):543-552. doi: 10.1016/j.identj.2023.11.007. Epub 2023 Dec 16.
5
The Role of the p16 and p53 Tumor Suppressor Proteins and Viral HPV16 E6 and E7 Oncoproteins in the Assessment of Survival in Patients with Head and Neck Cancers Associated with Human Papillomavirus Infections.p16和p53肿瘤抑制蛋白以及病毒人乳头瘤病毒16型E6和E7癌蛋白在评估人乳头瘤病毒感染相关头颈癌患者生存率中的作用
Cancers (Basel). 2023 May 11;15(10):2722. doi: 10.3390/cancers15102722.
6
Human papillomavirus in oral squamous cell carcinoma using p16 and its co-relationship with cervical lymph node metastasis and clinicopathological parameters.利用p16研究口腔鳞状细胞癌中的人乳头瘤病毒及其与颈淋巴结转移和临床病理参数的相关性
Dent Res J (Isfahan). 2023 Apr 26;20:56. eCollection 2023.
7
p53 and PTEN expression evaluation with molecular evident recent criteria in laryngeal carcinoma.用分子学最新标准评估喉癌中的 p53 和 PTEN 表达。
Medicine (Baltimore). 2023 May 12;102(19):e33676. doi: 10.1097/MD.0000000000033676.
8
How Risk Factors Affect Head and Neck Squamous Cell Carcinoma (HNSCC) Tumor Immune Microenvironment (TIME): Their Influence on Immune Escape Mechanisms and Immunotherapy Strategy.风险因素如何影响头颈部鳞状细胞癌(HNSCC)肿瘤免疫微环境(TIME):它们对免疫逃逸机制和免疫治疗策略的影响
Biomedicines. 2022 Oct 7;10(10):2498. doi: 10.3390/biomedicines10102498.
亚洲大陆头颈部鳞状细胞癌后人乳头瘤病毒亚基因型的流行情况:一篇系统综述文章
Asian Pac J Cancer Prev. 2019 Nov 1;20(11):3269-3277. doi: 10.31557/APJCP.2019.20.11.3269.
4
Human papillomavirus infection among head and neck squamous cell carcinomas in southern China.中国南方头颈部鳞状细胞癌中人乳头瘤病毒感染。
PLoS One. 2019 Sep 23;14(9):e0221045. doi: 10.1371/journal.pone.0221045. eCollection 2019.
5
Human papillomavirus DNA in head and neck squamous cell carcinomas in the Free State, South Africa.南非自由州头颈部鳞状细胞癌中的人乳头瘤病毒 DNA。
J Med Virol. 2020 Feb;92(2):227-233. doi: 10.1002/jmv.25556.
6
Human papillomavirus in head and neck squamous cell carcinomas in a South African cohort.南非队列中头颈部鳞状细胞癌中的人乳头瘤病毒
Papillomavirus Res. 2018 Dec;6:58-62. doi: 10.1016/j.pvr.2018.10.006. Epub 2018 Nov 1.
7
Mechanisms of persistence by small DNA tumor viruses.小型 DNA 肿瘤病毒持续存在的机制。
Curr Opin Virol. 2018 Oct;32:71-79. doi: 10.1016/j.coviro.2018.09.002. Epub 2018 Oct 1.
8
TLR9 signaling activation at different stages in colorectal cancer and NF-kappaB expression.结直肠癌不同阶段的Toll样受体9(TLR9)信号激活与核因子κB(NF-κB)表达
Onco Targets Ther. 2018 Sep 18;11:5963-5971. doi: 10.2147/OTT.S174274. eCollection 2018.
9
An Update on Cellular MicroRNA Expression in Human Papillomavirus-Associated Head and Neck Squamous Cell Carcinoma.人乳头瘤病毒相关头颈部鳞状细胞癌中细胞微小 RNA 表达的最新研究进展。
Oncology. 2018;95(4):193-201. doi: 10.1159/000489786. Epub 2018 Jun 19.
10
Head and neck squamous cell carcinoma: Genomics and emerging biomarkers for immunomodulatory cancer treatments.头颈部鳞状细胞癌:免疫调节癌症治疗的基因组学和新兴生物标志物。
Semin Cancer Biol. 2018 Oct;52(Pt 2):228-240. doi: 10.1016/j.semcancer.2018.01.008. Epub 2018 Jan 31.