• 文献检索
  • 文档翻译
  • 深度研究
  • 学术资讯
  • Suppr Zotero 插件Zotero 插件
  • 邀请有礼
  • 套餐&价格
  • 历史记录
应用&插件
Suppr Zotero 插件Zotero 插件浏览器插件Mac 客户端Windows 客户端微信小程序
定价
高级版会员购买积分包购买API积分包
服务
文献检索文档翻译深度研究API 文档MCP 服务
关于我们
关于 Suppr公司介绍联系我们用户协议隐私条款
关注我们

Suppr 超能文献

核心技术专利:CN118964589B侵权必究
粤ICP备2023148730 号-1Suppr @ 2026

文献检索

告别复杂PubMed语法,用中文像聊天一样搜索,搜遍4000万医学文献。AI智能推荐,让科研检索更轻松。

立即免费搜索

文件翻译

保留排版,准确专业,支持PDF/Word/PPT等文件格式,支持 12+语言互译。

免费翻译文档

深度研究

AI帮你快速写综述,25分钟生成高质量综述,智能提取关键信息,辅助科研写作。

立即免费体验

科斯(Coss.)的民族药理学、植物化学和药理特性

Ethnopharmacology, Phytochemistry, and Pharmacological Properties of Coss.

作者信息

El Hachlafi Naoufal, Chebat Abderrahim, Fikri-Benbrahim Kawtar

机构信息

Microbial Biotechnology and Bioactive Molecules Laboratory, Sciences and Technologies Faculty, Sidi Mohamed Ben Abdellah University, P.O. Box 2202, Imouzzer Road, Fez, Morocco.

Moroccan Anti Poison and Pharmacovigilance Center, P.O. Box 6671, Rabat, Morocco.

出版信息

Evid Based Complement Alternat Med. 2021 Jan 27;2021:6673838. doi: 10.1155/2021/6673838. eCollection 2021.

DOI:10.1155/2021/6673838
PMID:33574883
原文链接:https://pmc.ncbi.nlm.nih.gov/articles/PMC7857882/
Abstract

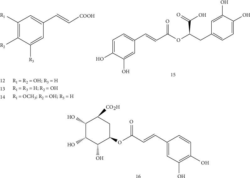
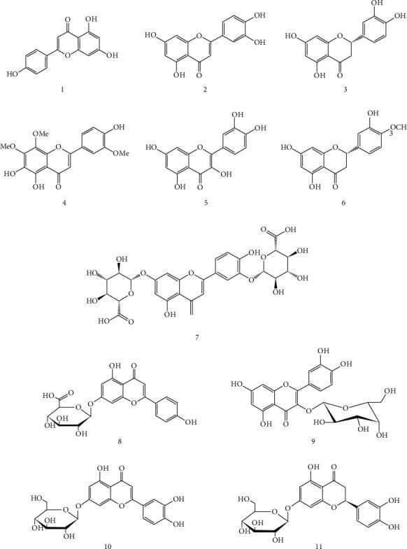
Coss. (Lamiaceae) is a Moroccan medicinal plant locally known as "Azkouni" or "Zaitra." It is widely used in traditional medicine to treat various ailments, including hypertension, diabetes, cold, fever, dermatological and circulatory disorders, immune problems, bronchitis, nociception, cooling, pharyngitis, cough, and influenza. The current review aims to critically summarize the literature on ethnopharmacological uses, chemical profile, and pharmacological investigations of in order to provide data support and scientific evidences for further investigations. Electronic databases such as Scopus, PubMed, Web of Science, SciFinder, ScienceDirect, Google Scholar, and Medline were used to gather data on . Chemical characterization of essential oils (EOs) and extracts allowed to identify a total of 139 bioactive compounds, mainly belonging to the terpenoids, phenolic acids, and flavonoids classes. especially its essential oils exhibited numerous biological activities such as antibacterial, antifungal, anti-inflammatory, antioxidant, antidiabetic, anticancer, antiparasitic, and hypolipedemic activities. In light of these findings, further studies to transmute the traditional application of into scientific-based information are strongly required. Additional pharmacological studies are recommended to validate the results of the studies. Moreover, comprehensive preclinical and clinical trials on the pharmacological mechanisms of action of this plant and its bioactive compounds on molecular targets should be performed. Finally, more efforts must be focused on toxicological assessments and pharmacokinetic studies, in order to ensure the safety and the efficiency of .

摘要

科斯属植物(唇形科)是一种摩洛哥药用植物,当地称为“Azkouni”或“Zaitra”。它在传统医学中被广泛用于治疗各种疾病,包括高血压、糖尿病、感冒、发烧、皮肤病和循环系统疾病、免疫问题、支气管炎、疼痛、清热、咽炎、咳嗽和流感。本综述旨在批判性地总结关于该植物的民族药理学用途、化学概况和药理学研究的文献,以便为进一步研究提供数据支持和科学证据。使用Scopus、PubMed、Web of Science、SciFinder、ScienceDirect、Google Scholar和Medline等电子数据库收集有关该植物的数据。对该植物精油(EOs)和提取物的化学表征共鉴定出139种生物活性化合物,主要属于萜类、酚酸类和黄酮类。该植物尤其是其精油表现出多种生物活性,如抗菌、抗真菌、抗炎、抗氧化、抗糖尿病、抗癌、抗寄生虫和降血脂活性。鉴于这些发现,强烈需要进一步研究将该植物的传统应用转化为基于科学的信息。建议进行更多的该植物药理学研究以验证研究结果。此外,应该对该植物及其生物活性化合物对分子靶点的药理作用机制进行全面的临床前和临床试验。最后,必须更加关注毒理学评估和药代动力学研究,以确保该植物的安全性和有效性。

https://cdn.ncbi.nlm.nih.gov/pmc/blobs/9b2c/7857882/edf5ca3905f0/ECAM2021-6673838.005.jpg
https://cdn.ncbi.nlm.nih.gov/pmc/blobs/9b2c/7857882/1fd327478c87/ECAM2021-6673838.001.jpg
https://cdn.ncbi.nlm.nih.gov/pmc/blobs/9b2c/7857882/b08aa8af5b3d/ECAM2021-6673838.002.jpg
https://cdn.ncbi.nlm.nih.gov/pmc/blobs/9b2c/7857882/5cc9cc76bc7f/ECAM2021-6673838.003.jpg
https://cdn.ncbi.nlm.nih.gov/pmc/blobs/9b2c/7857882/453018a7a8d0/ECAM2021-6673838.004.jpg
https://cdn.ncbi.nlm.nih.gov/pmc/blobs/9b2c/7857882/edf5ca3905f0/ECAM2021-6673838.005.jpg
https://cdn.ncbi.nlm.nih.gov/pmc/blobs/9b2c/7857882/1fd327478c87/ECAM2021-6673838.001.jpg
https://cdn.ncbi.nlm.nih.gov/pmc/blobs/9b2c/7857882/b08aa8af5b3d/ECAM2021-6673838.002.jpg
https://cdn.ncbi.nlm.nih.gov/pmc/blobs/9b2c/7857882/5cc9cc76bc7f/ECAM2021-6673838.003.jpg
https://cdn.ncbi.nlm.nih.gov/pmc/blobs/9b2c/7857882/453018a7a8d0/ECAM2021-6673838.004.jpg
https://cdn.ncbi.nlm.nih.gov/pmc/blobs/9b2c/7857882/edf5ca3905f0/ECAM2021-6673838.005.jpg

相似文献

1
Ethnopharmacology, Phytochemistry, and Pharmacological Properties of Coss.科斯(Coss.)的民族药理学、植物化学和药理特性
Evid Based Complement Alternat Med. 2021 Jan 27;2021:6673838. doi: 10.1155/2021/6673838. eCollection 2021.
2
Ethnomedicinal use, phytochemistry, pharmacology, and food benefits of Thymus capitatus.腺花香薷的民族药用、植物化学、药理学和食品效益。
J Ethnopharmacol. 2020 Sep 15;259:112925. doi: 10.1016/j.jep.2020.112925. Epub 2020 May 11.
3
Phytochemical and biological activities of Pinus halepensis mill., and their ethnomedicinal use.油松的植物化学和生物活性及其在民族医学中的应用。
J Ethnopharmacol. 2021 Mar 25;268:113661. doi: 10.1016/j.jep.2020.113661. Epub 2020 Dec 1.
4
Phytochemistry and Pharmacology of Boiss.布瓦西埃植物的植物化学与药理学
Evid Based Complement Alternat Med. 2021 Sep 4;2021:6350035. doi: 10.1155/2021/6350035. eCollection 2021.
5
Origanum compactum Benth., from traditional use to biotechnological applications.密花香薷,从传统用途到生物技术应用。
J Food Biochem. 2020 Aug;44(8):e13251. doi: 10.1111/jfbc.13251. Epub 2020 Jun 4.
6
Traditional use, phytochemistry, toxicology, and pharmacology of Origanum majorana L.牛至的传统用途、植物化学、毒理学和药理学。
J Ethnopharmacol. 2021 Jan 30;265:113318. doi: 10.1016/j.jep.2020.113318. Epub 2020 Aug 31.
7
Bougainvillea glabra (choisy): A comprehensive review on botany, traditional uses, phytochemistry, pharmacology and toxicity.软枝黄蝉(Choisy):植物学、传统用途、植物化学、药理学和毒理学的全面综述。
J Ethnopharmacol. 2021 Feb 10;266:113356. doi: 10.1016/j.jep.2020.113356. Epub 2020 Sep 19.
8
Phytochemical properties, biological activities and medicinal use of Centaurium erythraea Rafn.红花舌唇兰的植物化学特性、生物活性和药用用途。
J Ethnopharmacol. 2021 Aug 10;276:114171. doi: 10.1016/j.jep.2021.114171. Epub 2021 Apr 30.
9
Ethnopharmacological uses, phytochemistry, biological activities, and therapeutic applications of Clinacanthus nutans (Burm. f.) Lindau: A comprehensive review.鳄嘴花的民族药理学用途、植物化学、生物活性及治疗应用:综述
J Ethnopharmacol. 2017 Jul 12;206:245-266. doi: 10.1016/j.jep.2017.05.007. Epub 2017 May 8.
10
Dysphania ambrosioides (L.) Mosyakin and Clemants: bridging traditional knowledge, photochemistry, preclinical investigations, and toxicological validation for health benefits.唇形科植物 Ambrosia ambrosioides (L.) Mosyakin 和 Clemants:连接传统知识、光化学、临床前研究和毒理学验证,以获得健康益处。
Naunyn Schmiedebergs Arch Pharmacol. 2024 Feb;397(2):969-1001. doi: 10.1007/s00210-023-02658-4. Epub 2023 Aug 8.

引用本文的文献

1
Antioxidant, Volatile Compounds; Antimicrobial, Anti-Inflammatory, and Dermatoprotective Properties of (Endl.) Manetti Ex Carriere Essential Oil: In Vitro and In Silico Investigations.(恩迪)马内蒂精油的抗氧化、挥发性化合物;抗菌、抗炎和皮肤保护特性:体外和计算研究。
Molecules. 2023 Aug 6;28(15):5913. doi: 10.3390/molecules28155913.
2
Coss.: Mineral Composition, Nutritional Value, Phytochemical Profiling, and Dermatological Properties.考斯:矿物成分、营养价值、植物化学成分分析和皮肤科特性。
Molecules. 2023 Jun 8;28(12):4636. doi: 10.3390/molecules28124636.
3
Physiological and biochemical changes in Moroccan barley ( L.) cultivars submitted to drought stress.

本文引用的文献

1
Origanum compactum Benth., from traditional use to biotechnological applications.密花香薷,从传统用途到生物技术应用。
J Food Biochem. 2020 Aug;44(8):e13251. doi: 10.1111/jfbc.13251. Epub 2020 Jun 4.
2
Anti-oxidant activity and major chemical component analyses of twenty-six commercially available essential oils.二十六种市售精油的抗氧化活性及主要化学成分分析。
J Food Drug Anal. 2017 Oct;25(4):881-889. doi: 10.1016/j.jfda.2017.05.007. Epub 2017 Jun 15.
3
Calamintha nepeta (L.) Savi and its Main Essential Oil Constituent Pulegone: Biological Activities and Chemistry.
遭受干旱胁迫的摩洛哥大麦(L.)品种的生理生化变化
Heliyon. 2023 Feb 10;9(2):e13643. doi: 10.1016/j.heliyon.2023.e13643. eCollection 2023 Feb.
4
Moroccan Medicinal Plants Used to Treat Cancer: Ethnomedicinal Study and Insights into Pharmacological Evidence.用于治疗癌症的摩洛哥药用植物:民族药用研究及药理学证据洞察
Evid Based Complement Alternat Med. 2022 Oct 25;2022:1645265. doi: 10.1155/2022/1645265. eCollection 2022.
5
Correlation between the chemical composition and the antimicrobial properties of seven samples of essential oils of endemic Thymes in Morocco against multi-resistant bacteria and pathogenic fungi.摩洛哥地方百里香七种精油样品的化学成分与抗多重耐药细菌和致病真菌抗菌特性之间的相关性
Saudi Pharm J. 2022 Aug;30(8):1200-1214. doi: 10.1016/j.jsps.2022.06.022. Epub 2022 Jun 22.
6
The Potential of Lamiaceae Herbs for Mitigation of Overweight, Obesity, and Fatty Liver: Studies and Perspectives.唇形科草药减轻超重、肥胖和脂肪肝的潜力:研究与展望。
Molecules. 2022 Aug 8;27(15):5043. doi: 10.3390/molecules27155043.
风轮菜(Calamintha nepeta (L.) Savi)及其主要精油成分胡薄荷酮:生物活性与化学性质
Molecules. 2017 Feb 14;22(2):290. doi: 10.3390/molecules22020290.
4
Ethnobotanical survey of medicinal plants used in the traditional treatment of diabetes in Chtouka Ait Baha and Tiznit (Western Anti-Atlas), Morocco.摩洛哥西高阿特拉斯山脉的什图卡艾特巴哈和提兹尼特地区用于传统糖尿病治疗的药用植物的民族植物学调查。
J Ethnopharmacol. 2017 Feb 23;198:338-350. doi: 10.1016/j.jep.2017.01.023. Epub 2017 Jan 19.
5
Valorization of essential oils from Moroccan aromatic plants.摩洛哥芳香植物精油的增值利用
Nat Prod Commun. 2014 Aug;9(8):1109-14.
6
Chemical composition, antibacterial and antioxidant activities of the essential oils from Thymus satureioides and Thymus pallidus.百里香和苍白百里香精油的化学成分、抗菌及抗氧化活性
Nat Prod Commun. 2011 Oct;6(10):1507-10.
7
Comparison of bacteriostatic and bactericidal activity of 13 essential oils against strains with varying sensitivity to antibiotics.13种精油对不同抗生素敏感性菌株的抑菌和杀菌活性比较
Lett Appl Microbiol. 2008 Sep;47(3):167-73. doi: 10.1111/j.1472-765X.2008.02406.x.
8
Cinnamic ester derivatives from Oxalis pes-caprae (Bermuda buttercup).来自酢浆草(百慕大酢浆草)的肉桂酸酯衍生物。
J Nat Prod. 2007 Oct;70(10):1664-7. doi: 10.1021/np0702786. Epub 2007 Oct 9.
9
A comparison of the associations between seven hemostatic or inflammatory variables and coronary heart disease.七种止血或炎症变量与冠心病之间关联的比较。
J Thromb Haemost. 2007 Sep;5(9):1795-800. doi: 10.1111/j.1538-7836.2007.02677.x.
10
Chronic inflammation: importance of NOD2 and NALP3 in interleukin-1beta generation.慢性炎症:NOD2和NALP3在白细胞介素-1β生成中的重要性
Clin Exp Immunol. 2007 Feb;147(2):227-35. doi: 10.1111/j.1365-2249.2006.03261.x.