• 文献检索
  • 文档翻译
  • 深度研究
  • 学术资讯
  • Suppr Zotero 插件Zotero 插件
  • 邀请有礼
  • 套餐&价格
  • 历史记录
应用&插件
Suppr Zotero 插件Zotero 插件浏览器插件Mac 客户端Windows 客户端微信小程序
定价
高级版会员购买积分包购买API积分包
服务
文献检索文档翻译深度研究API 文档MCP 服务
关于我们
关于 Suppr公司介绍联系我们用户协议隐私条款
关注我们

Suppr 超能文献

核心技术专利:CN118964589B侵权必究
粤ICP备2023148730 号-1Suppr @ 2026

文献检索

告别复杂PubMed语法,用中文像聊天一样搜索,搜遍4000万医学文献。AI智能推荐,让科研检索更轻松。

立即免费搜索

文件翻译

保留排版,准确专业,支持PDF/Word/PPT等文件格式,支持 12+语言互译。

免费翻译文档

深度研究

AI帮你快速写综述,25分钟生成高质量综述,智能提取关键信息,辅助科研写作。

立即免费体验

年龄和出生队列中中国男性重度饮酒行为模式:马尔可夫模型。

Patterns of heavy drinking behaviour over age and birth cohorts among Chinese men: a Markov model.

机构信息

Center for Health Policy/Primary Care and Outcomes Research, Stanford University School of Medicine, Stanford, California, USA

Center for Health Policy/Primary Care and Outcomes Research, Stanford University School of Medicine, Stanford, California, USA.

出版信息

BMJ Open. 2021 Mar 2;11(3):e043261. doi: 10.1136/bmjopen-2020-043261.

DOI:10.1136/bmjopen-2020-043261
PMID:33653752
原文链接:https://pmc.ncbi.nlm.nih.gov/articles/PMC7929815/
Abstract

OBJECTIVES

To estimate the age patterns and cohort trends in heavy drinking among Chinese men from 1993 to 2011 and to project the future burden of heavy drinking through 2027.

DESIGN

We constructed a Markov cohort model that simulates age-specific heavy drinking behaviours for a series of cohorts of Chinese men born between 1922 and 1993 and fitted the model to longitudinal data on drinking patterns (1993-2015). We projected male prevalence of heavy drinking from 2015 through 2027 with and without modification of heavy drinking behaviours.

PARTICIPANTS

A cohort of Chinese men who were born between 1922 and 1993.

MAIN OUTCOME MEASURES

Outcomes included age-specific and birth cohort-specific rates of initiating, quitting and reinitiating heavy drinking from 1993 through 2011, projected prevalence of heavy drinking from 2015 to 2027, and total reduction in prevalence and total averted deaths with hypothetical elimination of heavy drinking behaviours.

RESULTS

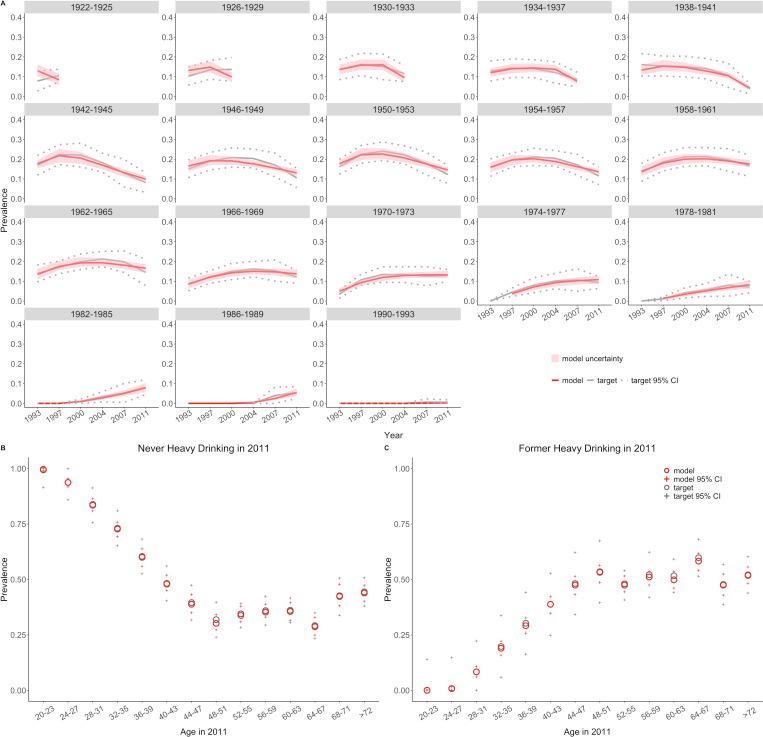
Across multiple birth cohorts, middle-aged Chinese men have consistently higher risks of starting and resuming heavy drinking and lower probabilities of quitting their current heavy drinking than men in other age groups. From 1993 to 2011, the risk of starting or resuming heavy drinking continued to decrease over generations. Our model projected that the prevalence of heavy drinking among Chinese men will decrease by 33% (95% CI 11.5% to 54.6%) between 2015 and the end of 2027. Complete elimination of or acceptance of a change in heavy drinking behaviours among Chinese men could accelerate this decrease by 12 percentage points (95% CI 7.8 to 18.2) and avert 377 000 deaths (95% CI 228 000 to 577 000) in total from 2015 to 2027.

CONCLUSION

Heavy drinking prevalence will continue to decrease through 2027 if current age-specific and birth cohort-specific patterns of starting, quitting and resuming heavy drinking continue. Effective mitigation policy should consider age-specific patterns in heavy drinking behaviours to further reduce the burden of heavy drinking.

摘要

目的

估计 1993 年至 2011 年中国男性重度饮酒的年龄模式和队列趋势,并预测至 2027 年重度饮酒的未来负担。

设计

我们构建了一个马尔可夫队列模型,模拟了一系列出生于 1922 年至 1993 年的中国男性的特定年龄的重度饮酒行为,并将该模型拟合到 1993 年至 2015 年的饮酒模式的纵向数据上。我们根据重度饮酒行为的改变与否,对 2015 年至 2027 年男性重度饮酒的流行率进行了预测。

参与者

出生于 1922 年至 1993 年的中国男性队列。

主要观察指标

结果包括 1993 年至 2011 年期间开始、停止和重新开始重度饮酒的特定年龄和出生队列特定的发生率,2015 年至 2027 年重度饮酒的流行率预测,以及假设消除重度饮酒行为后,流行率的总体降低和总避免死亡人数。

结果

在多个出生队列中,中年中国男性开始和恢复重度饮酒的风险始终高于其他年龄组的男性,而停止当前重度饮酒的可能性则较低。从 1993 年到 2011 年,开始或恢复重度饮酒的风险随着世代的推移而继续下降。我们的模型预测,2015 年至 2027 年底,中国男性重度饮酒的流行率将下降 33%(95%置信区间 11.5%至 54.6%)。如果中国男性完全消除或接受改变重度饮酒行为,这一降幅可能会再增加 12 个百分点(95%置信区间 7.8 至 18.2),并从 2015 年至 2027 年总共避免 37.7 万人死亡(95%置信区间 22.8 万人至 57.7 万人)。

结论

如果当前特定年龄和出生队列开始、停止和重新开始重度饮酒的模式继续下去,2027 年之前,重度饮酒的流行率将继续下降。有效的缓解政策应考虑重度饮酒行为的年龄特异性模式,以进一步降低重度饮酒的负担。

https://cdn.ncbi.nlm.nih.gov/pmc/blobs/ce72/7929815/94d4d3cea291/bmjopen-2020-043261f08.jpg
https://cdn.ncbi.nlm.nih.gov/pmc/blobs/ce72/7929815/667263b886de/bmjopen-2020-043261f01.jpg
https://cdn.ncbi.nlm.nih.gov/pmc/blobs/ce72/7929815/2d40ddc063a9/bmjopen-2020-043261f02.jpg
https://cdn.ncbi.nlm.nih.gov/pmc/blobs/ce72/7929815/0def22c871ff/bmjopen-2020-043261f03.jpg
https://cdn.ncbi.nlm.nih.gov/pmc/blobs/ce72/7929815/2d749e45f334/bmjopen-2020-043261f04.jpg
https://cdn.ncbi.nlm.nih.gov/pmc/blobs/ce72/7929815/19c075f459c9/bmjopen-2020-043261f05.jpg
https://cdn.ncbi.nlm.nih.gov/pmc/blobs/ce72/7929815/44f3022d0517/bmjopen-2020-043261f06.jpg
https://cdn.ncbi.nlm.nih.gov/pmc/blobs/ce72/7929815/fd5c3b548927/bmjopen-2020-043261f07.jpg
https://cdn.ncbi.nlm.nih.gov/pmc/blobs/ce72/7929815/94d4d3cea291/bmjopen-2020-043261f08.jpg
https://cdn.ncbi.nlm.nih.gov/pmc/blobs/ce72/7929815/667263b886de/bmjopen-2020-043261f01.jpg
https://cdn.ncbi.nlm.nih.gov/pmc/blobs/ce72/7929815/2d40ddc063a9/bmjopen-2020-043261f02.jpg
https://cdn.ncbi.nlm.nih.gov/pmc/blobs/ce72/7929815/0def22c871ff/bmjopen-2020-043261f03.jpg
https://cdn.ncbi.nlm.nih.gov/pmc/blobs/ce72/7929815/2d749e45f334/bmjopen-2020-043261f04.jpg
https://cdn.ncbi.nlm.nih.gov/pmc/blobs/ce72/7929815/19c075f459c9/bmjopen-2020-043261f05.jpg
https://cdn.ncbi.nlm.nih.gov/pmc/blobs/ce72/7929815/44f3022d0517/bmjopen-2020-043261f06.jpg
https://cdn.ncbi.nlm.nih.gov/pmc/blobs/ce72/7929815/fd5c3b548927/bmjopen-2020-043261f07.jpg
https://cdn.ncbi.nlm.nih.gov/pmc/blobs/ce72/7929815/94d4d3cea291/bmjopen-2020-043261f08.jpg

相似文献

1
Patterns of heavy drinking behaviour over age and birth cohorts among Chinese men: a Markov model.年龄和出生队列中中国男性重度饮酒行为模式:马尔可夫模型。
BMJ Open. 2021 Mar 2;11(3):e043261. doi: 10.1136/bmjopen-2020-043261.
2
Long-term drinking behavior change patterns and its association with hyperuricemia in chinese adults: evidence from China Health and Nutrition Survey.中国成年人长期饮酒行为变化模式及其与高尿酸血症的关系:来自中国健康与营养调查的证据。
BMC Public Health. 2022 Jun 20;22(1):1230. doi: 10.1186/s12889-022-13637-4.
3
Projected prevalence and mortality associated with alcohol-related liver disease in the USA, 2019-40: a modelling study.预计 2019-2040 年美国与酒精性肝病相关的患病率和死亡率:一项建模研究。
Lancet Public Health. 2020 Jun;5(6):e316-e323. doi: 10.1016/S2468-2667(20)30062-1.
4
Factors associated with elevated consumption of alcohol in older adults-comparison between China and Norway: the CLHLS and the HUNT Study.与老年人饮酒量增加相关的因素:中国与挪威的比较——CLHLS 和 HUNT 研究。
BMJ Open. 2019 Aug 2;9(8):e028646. doi: 10.1136/bmjopen-2018-028646.
5
Time trends in heavy drinking among middle-aged and older adults in Denmark.丹麦中年及老年成年人中重度饮酒的时间趋势。
Alcohol Clin Exp Res. 2008 Jan;32(1):120-7. doi: 10.1111/j.1530-0277.2007.00557.x. Epub 2007 Dec 7.
6
Understanding trends in Australian alcohol consumption-an age-period-cohort model.了解澳大利亚饮酒趋势——年龄-时期-队列模型。
Addiction. 2016 Sep;111(9):1590-8. doi: 10.1111/add.13396. Epub 2016 Jun 28.
7
Educational differences in alcohol consumption and heavy drinking: An age-period-cohort perspective.教育程度对饮酒和酗酒的影响:年龄-时期-队列视角。
Drug Alcohol Depend. 2018 May 1;186:36-43. doi: 10.1016/j.drugalcdep.2017.12.046. Epub 2018 Mar 7.
8
Sociodemographics, lifestyle factors and health status indicators associated with alcohol consumption and related behaviours: a Brazilian population-based analysis.与饮酒和相关行为相关的社会人口统计学、生活方式因素和健康状况指标:一项基于巴西人群的分析。
Public Health. 2020 Jan;178:49-61. doi: 10.1016/j.puhe.2019.08.011. Epub 2019 Oct 12.
9
Smoking, heavy drinking, physical inactivity, and obesity among middle-aged and older adults in China: cross-sectional findings from the baseline survey of CHARLS 2011-2012.中国中老年人群中吸烟、大量饮酒、身体活动不足和肥胖:来自 CHARLS 2011-2012 基线调查的横断面研究结果。
BMC Public Health. 2020 Jul 6;20(1):1062. doi: 10.1186/s12889-020-08625-5.
10
Life-course partnership history and midlife health behaviours in a population-based birth cohort.基于人群的出生队列中的生命历程伴侣关系史与中年健康行为
J Epidemiol Community Health. 2017 Mar;71(3):232-238. doi: 10.1136/jech-2015-207051. Epub 2016 Sep 21.

引用本文的文献

1
Incidence rate, risk factors and behaviour changes for alcohol drinking: findings from a community-based cohort study in Southwest China.饮酒发生率、风险因素和行为改变:来自中国西南部社区为基础队列研究的结果。
BMJ Open. 2022 Sep 13;12(9):e060914. doi: 10.1136/bmjopen-2022-060914.

本文引用的文献

1
Patterns and trends of alcohol consumption in rural and urban areas of China: findings from the China Kadoorie Biobank.中国城乡地区的饮酒模式和趋势:来自中国慢性病前瞻性研究的发现。
BMC Public Health. 2019 Feb 20;19(1):217. doi: 10.1186/s12889-019-6502-1.
2
Alcohol use and burden for 195 countries and territories, 1990-2016: a systematic analysis for the Global Burden of Disease Study 2016.2016 年全球疾病负担研究:1990 年至 2016 年 195 个国家和地区的酒精使用和负担:系统分析。
Lancet. 2018 Sep 22;392(10152):1015-1035. doi: 10.1016/S0140-6736(18)31310-2. Epub 2018 Aug 23.
3
The development of alcohol policy in contemporary China.
当代中国酒精政策的发展
J Food Drug Anal. 2015 Mar;23(1):19-29. doi: 10.1016/j.jfda.2014.05.002. Epub 2014 Nov 8.
4
Bayesian Methods for Calibrating Health Policy Models: A Tutorial.校准健康政策模型的贝叶斯方法:教程
Pharmacoeconomics. 2017 Jun;35(6):613-624. doi: 10.1007/s40273-017-0494-4.
5
Alcohol and related health issues in China: action needed.中国的酒精及相关健康问题:亟需采取行动。
Lancet Glob Health. 2015 Apr;3(4):e190-1. doi: 10.1016/S2214-109X(15)70017-3.
6
Alcohol and alcohol-related harm in China: policy changes needed.中国的酒精和与酒精相关的危害:需要政策改变。
Bull World Health Organ. 2013 Apr 1;91(4):270-6. doi: 10.2471/BLT.12.107318. Epub 2013 Jan 22.
7
Cohort profile: the China Health and Retirement Longitudinal Study (CHARLS).队列简介:中国健康与养老追踪调查(CHARLS)。
Int J Epidemiol. 2014 Feb;43(1):61-8. doi: 10.1093/ije/dys203. Epub 2012 Dec 12.
8
Alcohol drinking and overall and cause-specific mortality in China: nationally representative prospective study of 220,000 men with 15 years of follow-up.饮酒与中国全因和特定病因死亡率:一项对 22 万名男性进行的为期 15 年随访的全国代表性前瞻性研究。
Int J Epidemiol. 2012 Aug;41(4):1101-13. doi: 10.1093/ije/dys075. Epub 2012 May 16.
9
New protease inhibitors for the treatment of chronic hepatitis C: a cost-effectiveness analysis.新型蛋白酶抑制剂治疗慢性丙型肝炎:成本效益分析。
Ann Intern Med. 2012 Feb 21;156(4):279-90. doi: 10.7326/0003-4819-156-4-201202210-00005.
10
Drinking behaviour among men and women in China: the 2007 China Chronic Disease and Risk Factor Surveillance.中国男性和女性的饮酒行为:2007 年中国慢性病及其危险因素监测。
Addiction. 2011 Nov;106(11):1946-56. doi: 10.1111/j.1360-0443.2011.03514.x. Epub 2011 Jul 19.