Suppr超能文献

新型嗜冷菌(USBA-GBX-513)脂肪酶的不同固定化策略对其生物催化特性的调节。

Modulation of the Biocatalytic Properties of a Novel Lipase from Psychrophilic sp. (USBA-GBX-513) by Different Immobilization Strategies.

机构信息

Escuela de Química, Grupo de investigación en Bioquímica y Microbiología (GIBIM), Edificio Camilo Torres 210, Universidad Industrial de Santander, Bucaramanga 680001, Colombia.

Escuela de Microbiología, Universidad Industrial de Santander, Bucaramanga 680001, Colombia.

出版信息

Molecules. 2021 Mar 12;26(6):1574. doi: 10.3390/molecules26061574.

Abstract

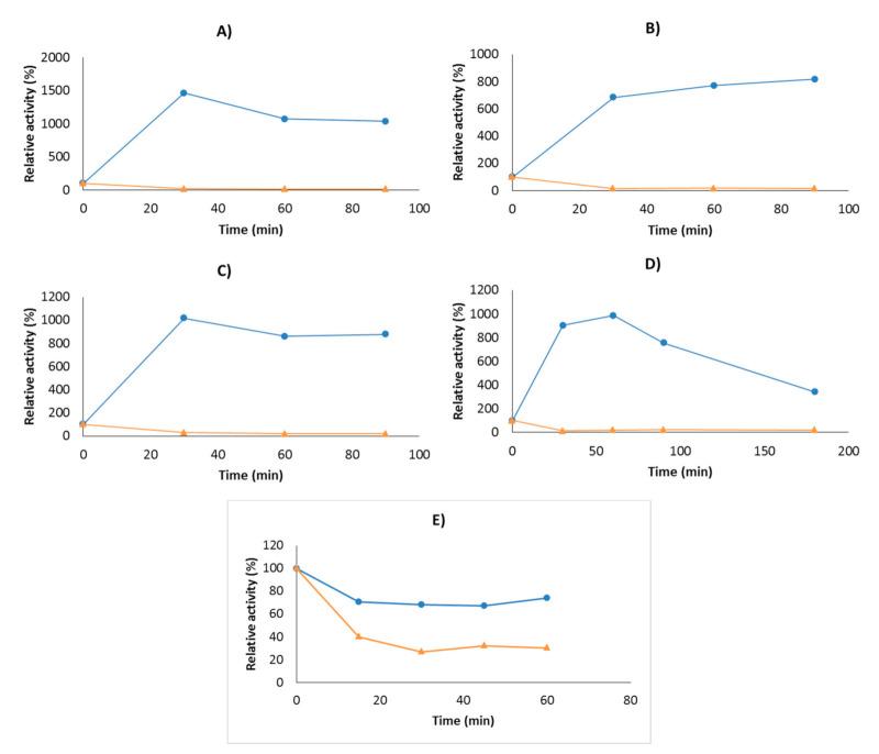
In this work, the effect of different immobilization procedures on the properties of a lipase obtained from the extremophilic microorganism . USBA-GBX-513, which was isolated from Paramo soils of Los Nevados National Natural Park (Colombia), is reported. Different Shepharose beads were used: octyl-(OC), octyl-glyoxyl-(OC-GLX), cyanogen bromide (BrCN)-, and Q-Sepharose. The performance of the different immobilized extremophile lipase from (ESL) was compared with that of the lipase B from (CALB). In all immobilization tests, hyperactivation of ESL was observed. The highest hyperactivation (10.3) was obtained by immobilization on the OC support. Subsequently, the thermal stability at pH 5, 7, and 9 and the stability in the presence of 50% (/) acetonitrile, 50% dioxane, and 50% tetrahydrofuran solvents at pH 7 and 40 °C were evaluated. ESL immobilized on octyl-Sepharose was the most stable biocatalyst at 90 °C and pH 9, while the most stable preparation at pH 5 was ESL immobilized on OC-GLX-Sepharose supports. Finally, in the presence of 50% (/) tetrahydrofuran (THF) or dioxane at 40 °C, ESL immobilized on OC-Sepharose was the most stable biocatalyst, while the immobilized preparation of ESL on Q-Sepharose was the most stable one in 40% (/) acetonitrile.

摘要

本工作研究了不同固定化程序对极端微生物. USBA-GBX-513 脂肪酶性质的影响,该微生物从哥伦比亚洛斯内瓦多斯国家自然公园的高地土壤中分离得到。使用了不同的 Sepharose 珠:辛基(OC)、辛基-乙二醛(OC-GLX)、溴化氰(BrCN)和 Q-Sepharose。比较了不同固定化极端嗜热脂肪酶(ESL)与来源于. 的脂肪酶 B(CALB)的性能。在所有固定化试验中,均观察到 ESL 的超活化。通过固定在 OC 载体上获得了最高的超活化(10.3)。随后,在 pH 5、7 和 9 下的热稳定性以及在 pH 7 和 40°C 下存在 50%(/)乙腈、50%二氧六环和 50%四氢呋喃溶剂下的稳定性进行了评估。在 90°C 和 pH 9 下,固定在辛基-Sepharose 上的 ESL 是最稳定的生物催化剂,而在 pH 5 下最稳定的固定化制备是固定在 OC-GLX-Sepharose 载体上的 ESL。最后,在 40°C 下存在 50%(/)四氢呋喃(THF)或二氧六环时,固定在 OC-Sepharose 上的 ESL 是最稳定的生物催化剂,而固定在 Q-Sepharose 上的 ESL 固定化制备在 40%(/)乙腈中最稳定。

https://cdn.ncbi.nlm.nih.gov/pmc/blobs/00d0/8001504/e960783ff934/molecules-26-01574-g001a.jpg

相似文献

3
A New Approach in Lipase-Octyl-Agarose Biocatalysis of 2-Arylpropionic Acid Derivatives.
Int J Mol Sci. 2024 May 7;25(10):5084. doi: 10.3390/ijms25105084.
4
Effect of protein load on stability of immobilized enzymes.
Enzyme Microb Technol. 2017 Mar;98:18-25. doi: 10.1016/j.enzmictec.2016.12.002. Epub 2016 Dec 16.
5
New applications of glyoxyl-octyl agarose in lipases co-immobilization: Strategies to reuse the most stable lipase.
Int J Biol Macromol. 2019 Jun 15;131:989-997. doi: 10.1016/j.ijbiomac.2019.03.163. Epub 2019 Mar 24.
6
Immobilization of lipase from Pseudomonas fluorescens on glyoxyl-octyl-agarose beads: Improved stability and reusability.
Biochim Biophys Acta Proteins Proteom. 2019 Sep;1867(9):741-747. doi: 10.1016/j.bbapap.2019.06.005. Epub 2019 Jun 12.
7
Immobilization of Candida antarctica Lipase B on Magnetic Poly(Urea-Urethane) Nanoparticles.
Appl Biochem Biotechnol. 2016 Oct;180(3):558-575. doi: 10.1007/s12010-016-2116-6. Epub 2016 May 16.
8
Kinetic resolution of drug intermediates catalyzed by lipase B from Candida antarctica immobilized on immobead-350.
Biotechnol Prog. 2018 Jul;34(4):878-889. doi: 10.1002/btpr.2630. Epub 2018 Mar 30.
9
Modulating the properties of the lipase from Thermomyces lanuginosus immobilized on octyl agarose beads by altering the immobilization conditions.
Enzyme Microb Technol. 2020 Feb;133:109461. doi: 10.1016/j.enzmictec.2019.109461. Epub 2019 Nov 6.
10
Immobilization of lipase from grey mullet.
Appl Biochem Biotechnol. 2012 Dec;168(8):2105-22. doi: 10.1007/s12010-012-9921-3. Epub 2012 Oct 23.

引用本文的文献

3
Enzyme Immobilization.
Molecules. 2023 Feb 1;28(3):1373. doi: 10.3390/molecules28031373.
4
Microbial Lipases and Their Potential in the Production of Pharmaceutical Building Blocks.
Int J Mol Sci. 2022 Sep 1;23(17):9933. doi: 10.3390/ijms23179933.

本文引用的文献

1
A comprehensive review on incredible renewable carriers as promising platforms for enzyme immobilization & thereof strategies.
Int J Biol Macromol. 2021 Jan 15;167:962-986. doi: 10.1016/j.ijbiomac.2020.11.052. Epub 2020 Nov 10.
2
Lipase immobilization with support materials, preparation techniques, and applications: Present and future aspects.
Int J Biol Macromol. 2020 Nov 15;163:1624-1639. doi: 10.1016/j.ijbiomac.2020.09.021. Epub 2020 Sep 9.
3
Extremophile - An Adaptive Strategy for Extreme Conditions and Applications.
Curr Genomics. 2020 Feb;21(2):96-110. doi: 10.2174/1389202921666200401105908.
4
Immobilized microbial lipases in the food industry: a systematic literature review.
Crit Rev Food Sci Nutr. 2021;61(10):1689-1703. doi: 10.1080/10408398.2020.1764489. Epub 2020 May 19.
5
Effects of Enzyme Loading and Immobilization Conditions on the Catalytic Features of Lipase From Immobilized on Octyl-Agarose Beads.
Front Bioeng Biotechnol. 2020 Feb 28;8:36. doi: 10.3389/fbioe.2020.00036. eCollection 2020.
6
Production and use of immobilized lipases in/on nanomaterials: A review from the waste to biodiesel production.
Int J Biol Macromol. 2020 Jun 1;152:207-222. doi: 10.1016/j.ijbiomac.2020.02.258. Epub 2020 Feb 25.
8
Lipases: sources, immobilization methods, and industrial applications.
Appl Microbiol Biotechnol. 2019 Sep;103(18):7399-7423. doi: 10.1007/s00253-019-10027-6. Epub 2019 Aug 2.
9
Immobilization of lipase from Pseudomonas fluorescens on glyoxyl-octyl-agarose beads: Improved stability and reusability.
Biochim Biophys Acta Proteins Proteom. 2019 Sep;1867(9):741-747. doi: 10.1016/j.bbapap.2019.06.005. Epub 2019 Jun 12.
10
Immobilization of lipases on hydrophobic supports: immobilization mechanism, advantages, problems, and solutions.
Biotechnol Adv. 2019 Sep-Oct;37(5):746-770. doi: 10.1016/j.biotechadv.2019.04.003. Epub 2019 Apr 8.

文献AI研究员

20分钟写一篇综述,助力文献阅读效率提升50倍。

立即体验

用中文搜PubMed

大模型驱动的PubMed中文搜索引擎

马上搜索

文档翻译

学术文献翻译模型,支持多种主流文档格式。

立即体验