Suppr超能文献

个体疏远措施和公共政策控制 COVID-19 疫情的相对效力。

The relative power of individual distancing efforts and public policies to curb the COVID-19 epidemics.

机构信息

GREThA, University of Bordeaux, Bordeaux, France.

TSE, University of Toulouse, Toulouse, France.

出版信息

PLoS One. 2021 May 7;16(5):e0250764. doi: 10.1371/journal.pone.0250764. eCollection 2021.

Abstract

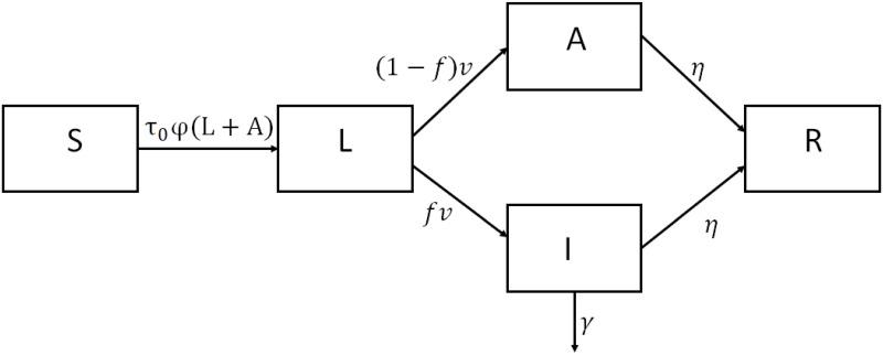
Lockdown curbs the COVID-19 epidemics but at huge costs. Public debates question its impact compared to reliance on individual responsibility. We study how rationally chosen self-protective behavior impacts the spread of the epidemics and interacts with policies. We first assess the value of lockdown in terms of mortality compared to a counterfactual scenario that incorporates self-protection efforts; and second, assess how individual behavior modify the epidemic dynamics when public regulations change. We couple an SLIAR model, that includes asymptomatic transmission, with utility maximization: Individuals trade off economic and wellbeing costs from physical distancing with a lower infection risk. Physical distancing effort depends on risk aversion, perceptions of the epidemics and average distancing effort in the population. Rational distancing effort is computed as a Nash Equilibrium. Equilibrium effort differs markedly from constant, stochastic or proportional contacts reduction. It adjusts to daily incidence of hospitalization in a way that creates a slightly decreasing plateau in epidemic prevalence. Calibration on French data shows that a business-as-usual benchmark yields an overestimation of the number of deaths by a factor of 10 compared to benchmarks with equilibrium efforts. However, lockdown saves nearly twice as many lives as individual efforts alone. Public policies post-lockdown have a limited impact as they partly crowd out individual efforts. Communication that increases risk salience is more effective.

摘要

封锁措施虽然可以遏制 COVID-19 疫情,但代价巨大。公众辩论质疑其与依赖个人责任相比的影响。我们研究了理性选择的自我保护行为如何影响疫情的传播,并与政策相互作用。我们首先评估封锁措施在死亡率方面的价值,与包含自我保护措施的反事实情景相比;其次,评估当公共法规发生变化时,个人行为如何改变疫情动态。我们将包含无症状传播的 SLIAR 模型与效用最大化相结合:个人通过减少身体接触来权衡经济和幸福感成本与降低感染风险。身体接触的努力程度取决于风险规避、对疫情的看法和人口中的平均隔离努力程度。理性的隔离努力是作为纳什均衡来计算的。均衡努力与恒定、随机或比例接触减少明显不同。它通过每天调整住院人数的方式,在流行率上形成一个略微下降的平台。在法国数据上的校准表明,与具有均衡努力的基准相比,按常规基准预测的死亡人数高估了近 10 倍。然而,封锁措施比个人努力单独实施挽救了近两倍的生命。封锁措施解除后的公共政策影响有限,因为它们部分挤出了个人努力。增加风险意识的沟通更为有效。

https://cdn.ncbi.nlm.nih.gov/pmc/blobs/fd5a/8104446/82365aad8cdd/pone.0250764.g001.jpg

文献检索

告别复杂PubMed语法,用中文像聊天一样搜索,搜遍4000万医学文献。AI智能推荐,让科研检索更轻松。

立即免费搜索

文件翻译

保留排版,准确专业,支持PDF/Word/PPT等文件格式,支持 12+语言互译。

免费翻译文档

深度研究

AI帮你快速写综述,25分钟生成高质量综述,智能提取关键信息,辅助科研写作。

立即免费体验