• 文献检索
  • 文档翻译
  • 深度研究
  • 学术资讯
  • Suppr Zotero 插件Zotero 插件
  • 邀请有礼
  • 套餐&价格
  • 历史记录
应用&插件
Suppr Zotero 插件Zotero 插件浏览器插件Mac 客户端Windows 客户端微信小程序
定价
高级版会员购买积分包购买API积分包
服务
文献检索文档翻译深度研究API 文档MCP 服务
关于我们
关于 Suppr公司介绍联系我们用户协议隐私条款
关注我们

Suppr 超能文献

核心技术专利:CN118964589B侵权必究
粤ICP备2023148730 号-1Suppr @ 2026

文献检索

告别复杂PubMed语法,用中文像聊天一样搜索,搜遍4000万医学文献。AI智能推荐,让科研检索更轻松。

立即免费搜索

文件翻译

保留排版,准确专业,支持PDF/Word/PPT等文件格式,支持 12+语言互译。

免费翻译文档

深度研究

AI帮你快速写综述,25分钟生成高质量综述,智能提取关键信息,辅助科研写作。

立即免费体验

间歇性低氧训练作为心血管疾病患者康复/二级预防新策略的安全性和有效性:系统评价和荟萃分析。

Safety and Efficacy of Intermittent Hypoxia Conditioning as a New Rehabilitation/ Secondary Prevention Strategy for Patients with Cardiovascular Diseases: A Systematic Review and Meta-analysis.

机构信息

Department of Normal Physiology, I.M. Sechenov First Moscow State Medical University (Sechenov University), Moscow, Russia.

School of Health and Human Performance, Dublin City University, Dublin, Ireland.

出版信息

Curr Cardiol Rev. 2021;17(6):e051121193317. doi: 10.2174/1573403X17666210514005235.

DOI:10.2174/1573403X17666210514005235
PMID:33992064
原文链接:https://pmc.ncbi.nlm.nih.gov/articles/PMC8950503/
Abstract

BACKGROUND

Once used by mountaineers to facilitate rapid adaptations to altitude and by athletes to improve their aerobic capacity, exposure to hypoxia has been proven to affect various physiological, clinically relevant parameters. A form of conditioning known as Intermittent Hypoxia Conditioning (IHC) consists of repeated exposures to intermittent hypoxia, combined with normoxia and hyperoxia, which has been shown to have potential as a treatment to improve cardio- metabolic risks profile in cardiac patients but results across studies are inconsistent. This systematic review and meta-analysis aimed to evaluate the clinical effectiveness of IHC.

METHODS

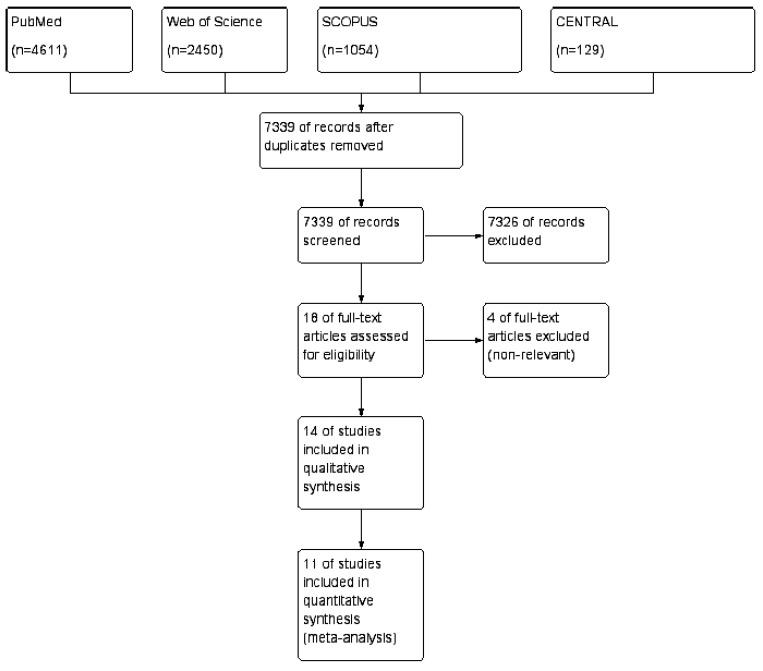
Four electronic databases (PubMed, Scopus, Web of Science, and Cochrane Central Register of Controlled Trials) were searched (from inception to December 2019) to retrieve all studies focused on IHC in elderly patients with cardiovascular disease. A meta-analysis of functional, efficacy and safety outcomes in cardiac patients was completed to compare IHC to sham treatments.

RESULTS

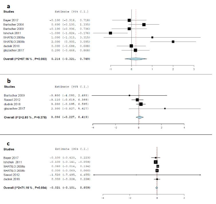
Fourteen studies with 320 patients in the Interval Hypoxia-normoxia Group (IHNG) or Interval Hypoxia-hyperoxia training Group (IHHG) and 111 patients in the control group were included in our meta-analysis. IHNT and IHHT were associated with significant reduction in heart rate, SBP, and DBP at rest after treatment [MD= -5.35 beat/min, 95% CI (-9.19 to -1.50), p=0.006], [MD= -13.72 mmHg, 95% CI (-18.31 to -9.132), p<0.001], and [MD= -7.882 mmHg, 95% CI (-13.163 to -2.601), p=0.003], respectively. There were no significant complications or serious adverse events related to IHNT/IHHT.

CONCLUSION

The current evidence suggested that the use of the IHNT/IHHT program in elderly patients with CVDs can be safe and effective in terms of heart rate and elevated blood pressure. However, currently, there is no supporting evidence that IHNT/IHHT can significantly improve hematological parameters or lipid profile. Exercise tolerance increased at the end of the course of hypoxic conditioning within IHC group, but did not differ from controls. Further research is needed.

摘要

背景

曾被登山者用于促进快速适应海拔高度,被运动员用于提高有氧运动能力,暴露于低氧环境已被证明会影响各种生理的、临床相关的参数。一种称为间歇性低氧训练(IHC)的适应形式由重复暴露于间歇性低氧、与常氧和高氧相结合组成,已被证明具有改善心脏病患者的心血管代谢风险特征的潜力,但研究结果不一致。本系统评价和荟萃分析旨在评估 IHC 的临床效果。

方法

检索了四个电子数据库(PubMed、Scopus、Web of Science 和 Cochrane 对照试验中心注册库)(从创建到 2019 年 12 月),以检索所有关于老年心血管疾病患者 IHC 的研究。对心脏患者的功能、疗效和安全性结果进行荟萃分析,以比较 IHC 与假治疗。

结果

共有 14 项研究,其中 320 例患者在间歇低氧-常氧组(IHNG)或间歇低氧-高氧训练组(IHHG),111 例患者在对照组。IHNT 和 IHHT 与治疗后静息时心率、SBP 和 DBP 的显著降低相关[MD=-5.35 次/分,95%CI(-9.19 至-1.50),p=0.006],[MD=-13.72mmHg,95%CI(-18.31 至-9.132),p<0.001],[MD=-7.882mmHg,95%CI(-13.163 至-2.601),p=0.003]。IHNT/IHHT 无显著并发症或严重不良事件。

结论

目前的证据表明,在老年 CVD 患者中使用 IHNT/IHHT 方案在心率和血压升高方面是安全有效的。然而,目前没有证据表明 IHNT/IHHT 能显著改善血液参数或血脂谱。在 IHC 组的低氧训练过程结束时,运动耐量增加,但与对照组无差异。需要进一步的研究。

https://cdn.ncbi.nlm.nih.gov/pmc/blobs/b69d/8950503/86bf2a680622/CCR-17-e051121193317_F7.jpg
https://cdn.ncbi.nlm.nih.gov/pmc/blobs/b69d/8950503/ae0fd4c3c731/CCR-17-e051121193317_F1.jpg
https://cdn.ncbi.nlm.nih.gov/pmc/blobs/b69d/8950503/9e8f5119a7e3/CCR-17-e051121193317_F2.jpg
https://cdn.ncbi.nlm.nih.gov/pmc/blobs/b69d/8950503/fc273109386c/CCR-17-e051121193317_F3.jpg
https://cdn.ncbi.nlm.nih.gov/pmc/blobs/b69d/8950503/335e39a130e4/CCR-17-e051121193317_F4.jpg
https://cdn.ncbi.nlm.nih.gov/pmc/blobs/b69d/8950503/e795111e935f/CCR-17-e051121193317_F5.jpg
https://cdn.ncbi.nlm.nih.gov/pmc/blobs/b69d/8950503/3af69594e3ca/CCR-17-e051121193317_F6.jpg
https://cdn.ncbi.nlm.nih.gov/pmc/blobs/b69d/8950503/86bf2a680622/CCR-17-e051121193317_F7.jpg
https://cdn.ncbi.nlm.nih.gov/pmc/blobs/b69d/8950503/ae0fd4c3c731/CCR-17-e051121193317_F1.jpg
https://cdn.ncbi.nlm.nih.gov/pmc/blobs/b69d/8950503/9e8f5119a7e3/CCR-17-e051121193317_F2.jpg
https://cdn.ncbi.nlm.nih.gov/pmc/blobs/b69d/8950503/fc273109386c/CCR-17-e051121193317_F3.jpg
https://cdn.ncbi.nlm.nih.gov/pmc/blobs/b69d/8950503/335e39a130e4/CCR-17-e051121193317_F4.jpg
https://cdn.ncbi.nlm.nih.gov/pmc/blobs/b69d/8950503/e795111e935f/CCR-17-e051121193317_F5.jpg
https://cdn.ncbi.nlm.nih.gov/pmc/blobs/b69d/8950503/3af69594e3ca/CCR-17-e051121193317_F6.jpg
https://cdn.ncbi.nlm.nih.gov/pmc/blobs/b69d/8950503/86bf2a680622/CCR-17-e051121193317_F7.jpg

相似文献

1
Safety and Efficacy of Intermittent Hypoxia Conditioning as a New Rehabilitation/ Secondary Prevention Strategy for Patients with Cardiovascular Diseases: A Systematic Review and Meta-analysis.间歇性低氧训练作为心血管疾病患者康复/二级预防新策略的安全性和有效性:系统评价和荟萃分析。
Curr Cardiol Rev. 2021;17(6):e051121193317. doi: 10.2174/1573403X17666210514005235.
2
Adaptations following an intermittent hypoxia-hyperoxia training in coronary artery disease patients: a controlled study.冠心病患者间歇性低氧-高氧训练后的适应性:一项对照研究。
Clin Cardiol. 2017 Jun;40(6):370-376. doi: 10.1002/clc.22670. Epub 2017 Mar 21.
3
Intermittent Hypoxia-Hyperoxia Conditioning Improves Cardiorespiratory Fitness in Older Comorbid Cardiac Outpatients Without Hematological Changes: A Randomized Controlled Trial.间歇性低氧-高氧预处理可改善老年合并心脏疾病门诊患者的心肺适能且无血液学变化:一项随机对照试验
High Alt Med Biol. 2018 Dec;19(4):339-343. doi: 10.1089/ham.2018.0014. Epub 2018 Sep 22.
4
Intermittent Hypoxia/Hyperoxia Versus Intermittent Hypoxia/Normoxia: Comparative Study in Prediabetes.间歇性低氧/高氧与间歇性低氧/常氧:糖尿病前期的对比研究。
High Alt Med Biol. 2019 Dec;20(4):383-391. doi: 10.1089/ham.2019.0053. Epub 2019 Oct 7.
5
Effects of Intermittent Hypoxia in Training Regimes and in Obstructive Sleep Apnea on Aging Biomarkers and Age-Related Diseases: A Systematic Review.间歇性低氧在训练方案及阻塞性睡眠呼吸暂停中对衰老生物标志物和年龄相关疾病的影响:一项系统综述
Front Aging Neurosci. 2022 May 23;14:878278. doi: 10.3389/fnagi.2022.878278. eCollection 2022.
6
[Adaptation to Intermittent Hypoxia-Hyperoxia in the Rehabilitation of Patients With Ischemic Heart Disease: Exercise Tolerance and Quality of Life].[缺血性心脏病患者康复中对间歇性低氧-高氧的适应:运动耐力与生活质量]
Kardiologiia. 2017 May;57(5):10-16.
7
Effects of Intermittent Hypoxia-Hyperoxia on Performance- and Health-Related Outcomes in Humans: A Systematic Review.间歇性低氧-高氧对人类运动表现及健康相关结局的影响:一项系统综述
Sports Med Open. 2022 May 31;8(1):70. doi: 10.1186/s40798-022-00450-x.
8
[Adaptation to intermittent hypoxia-hyperoxia improves cognitive performance and exercise tolerance in elderly].[适应间歇性低氧-高氧可改善老年人的认知能力和运动耐力]
Adv Gerontol. 2017;30(2):255-261.
9
[Adaptation to dosed hypoxia-hyperoxia as a factor in improving the quality of life of elderly patients with cardiac pathology.].[适应定量的低氧-高氧作为改善老年心脏病理患者生活质量的一个因素。]
Adv Gerontol. 2019;32(1-2):145-151.
10
Cerebral Hypoxia During Intermittent Hypoxic-Hyperoxic Training (IHHT): A Case Study Using Cerebral Oximetry Based on Time-Domain Near-Infrared Spectroscopy.间歇性低氧-高氧训练(IHHT)期间的脑缺氧:基于时域近红外光谱的脑氧饱和度的案例研究。
Adv Exp Med Biol. 2024;1463:135-139. doi: 10.1007/978-3-031-67458-7_23.

引用本文的文献

1
Health benefits of life at moderate altitude: does hypoxia matter?适度海拔生活对健康的益处:低氧重要吗?
Front Physiol. 2025 May 13;16:1598275. doi: 10.3389/fphys.2025.1598275. eCollection 2025.
2
Effect of hypoxia conditioning on physical fitness in middle-aged and older adults-a systematic review and meta-analysis.低氧预处理对中老年人身体素质的影响——一项系统综述和荟萃分析
PeerJ. 2025 May 23;13:e19348. doi: 10.7717/peerj.19348. eCollection 2025.
3
Can Intermittent Hypoxic Conditioning Enhance the Benefits of Standard Long COVID-19 Rehabilitation?

本文引用的文献

1
Protective effects of hesperidin and diosmin against acrylamide-induced liver, kidney, and brain oxidative damage in rats.橙皮苷和地奥司明对丙烯酰胺诱导的大鼠肝、肾、脑氧化损伤的保护作用。
Environ Sci Pollut Res Int. 2019 Dec;26(34):35151-35162. doi: 10.1007/s11356-019-06660-3. Epub 2019 Nov 4.
2
Intermittent Hypoxia-Hyperoxia Training Improves Cognitive Function and Decreases Circulating Biomarkers of Alzheimer's Disease in Patients with Mild Cognitive Impairment: A Pilot Study.间歇性低氧-高氧训练改善轻度认知障碍患者的认知功能并降低阿尔茨海默病的循环生物标志物:一项初步研究。
Int J Mol Sci. 2019 Oct 30;20(21):5405. doi: 10.3390/ijms20215405.
3
间歇性低氧预处理能否增强标准的新冠后康复治疗效果?
J Cachexia Sarcopenia Muscle. 2025 Apr;16(2):e13769. doi: 10.1002/jcsm.13769.
4
Evaluating the Therapeutic Potential of Exercise in Hypoxia and Low-Carbohydrate, High-Fat Diet in Managing Hypertension in Elderly Type 2 Diabetes Patients: A Novel Intervention Approach.评估运动对老年2型糖尿病患者低氧及低碳水化合物、高脂肪饮食状态下高血压的治疗潜力:一种新型干预方法。
Nutrients. 2025 Jan 30;17(3):522. doi: 10.3390/nu17030522.
5
Intermittent Hypoxic-Hyperoxic Training During Inpatient Rehabilitation Improves Exercise Capacity and Functional Outcome in Patients With Long Covid: Results of a Controlled Clinical Pilot Trial.住院康复期间的间歇性低氧-高氧训练可改善长新冠患者的运动能力和功能结局:一项对照临床试点试验的结果
J Cachexia Sarcopenia Muscle. 2024 Dec;15(6):2781-2791. doi: 10.1002/jcsm.13628. Epub 2024 Nov 19.
6
Acute Intermittent Hypoxia Did Not Alter Pain Sensitivity or Pain Intensity Ratings for Individuals with Chronic Low Back Pain: A Pilot Study.急性间歇性低氧对慢性下腰痛患者的疼痛敏感性或疼痛强度评分无影响:一项初步研究。
J Pain Res. 2024 Feb 1;17:421-429. doi: 10.2147/JPR.S433685. eCollection 2024.
7
Impact of Hypoxia-Hyperoxia Exposures on Cardiometabolic Risk Factors and TMAO Levels in Patients with Metabolic Syndrome.缺氧-复氧暴露对代谢综合征患者的心血代谢风险因素和 TMAO 水平的影响。
Int J Mol Sci. 2023 Sep 24;24(19):14498. doi: 10.3390/ijms241914498.
8
Effects of Intermittent Normobaric Hypoxia on Health-Related Outcomes in Healthy Older Adults: A Systematic Review.间歇性常压缺氧对健康老年人健康相关结局的影响:一项系统评价。
Sports Med Open. 2023 Feb 26;9(1):19. doi: 10.1186/s40798-023-00560-0.
9
Chronic Intermittent Hypoxia Exposure Alternative to Exercise Alleviates High-Fat-Diet-Induced Obesity and Fatty Liver.慢性间歇性低氧暴露替代运动可缓解高脂饮食诱导的肥胖和脂肪肝。
Int J Mol Sci. 2022 May 6;23(9):5209. doi: 10.3390/ijms23095209.
10
Intermittent Hypoxic-Hyperoxic Exposures Effects in Patients with Metabolic Syndrome: Correction of Cardiovascular and Metabolic Profile.间歇性低氧-高氧暴露对代谢综合征患者的影响:心血管和代谢状况的改善
Biomedicines. 2022 Feb 28;10(3):566. doi: 10.3390/biomedicines10030566.
Intermittent Hypoxia/Hyperoxia Versus Intermittent Hypoxia/Normoxia: Comparative Study in Prediabetes.
间歇性低氧/高氧与间歇性低氧/常氧:糖尿病前期的对比研究。
High Alt Med Biol. 2019 Dec;20(4):383-391. doi: 10.1089/ham.2019.0053. Epub 2019 Oct 7.
4
Physical Activity, Cardiorespiratory Fitness, and the Metabolic Syndrome.体力活动、心肺适能与代谢综合征。
Nutrients. 2019 Jul 19;11(7):1652. doi: 10.3390/nu11071652.
5
Effects of intermittent hypoxia-hyperoxia on mobility and perceived health in geriatric patients performing a multimodal training intervention: a randomized controlled trial.间歇性低氧-高氧对接受多模式训练干预的老年患者活动能力和感知健康的影响:一项随机对照试验。
BMC Geriatr. 2019 Jun 14;19(1):167. doi: 10.1186/s12877-019-1184-1.
6
Intermittent systemic hypoxic-hyperoxic training for myocardial protection in patients undergoing coronary artery bypass surgery: first results from a single-centre, randomised controlled trial.间歇性全身低氧-高氧训练对冠状动脉搭桥手术患者心肌的保护作用:一项单中心随机对照试验的初步结果
Open Heart. 2018 Nov 10;5(2):e000891. doi: 10.1136/openhrt-2018-000891. eCollection 2018.
7
Intermittent Hypoxia-Hyperoxia Conditioning Improves Cardiorespiratory Fitness in Older Comorbid Cardiac Outpatients Without Hematological Changes: A Randomized Controlled Trial.间歇性低氧-高氧预处理可改善老年合并心脏疾病门诊患者的心肺适能且无血液学变化:一项随机对照试验
High Alt Med Biol. 2018 Dec;19(4):339-343. doi: 10.1089/ham.2018.0014. Epub 2018 Sep 22.
8
Intermittent hypoxic-hyperoxic training on cognitive performance in geriatric patients.间歇性低氧-高氧训练对老年患者认知能力的影响
Alzheimers Dement (N Y). 2017 Feb 8;3(1):114-122. doi: 10.1016/j.trci.2017.01.002. eCollection 2017 Jan.
9
Peroxisome proliferator-activated receptors as therapeutic targets for heart failure.过氧化物酶体增殖物激活受体作为心力衰竭的治疗靶点。
Biomed Pharmacother. 2017 Nov;95:692-700. doi: 10.1016/j.biopha.2017.08.083. Epub 2017 Sep 7.
10
Adaptations following an intermittent hypoxia-hyperoxia training in coronary artery disease patients: a controlled study.冠心病患者间歇性低氧-高氧训练后的适应性:一项对照研究。
Clin Cardiol. 2017 Jun;40(6):370-376. doi: 10.1002/clc.22670. Epub 2017 Mar 21.