• 文献检索
  • 文档翻译
  • 深度研究
  • 学术资讯
  • Suppr Zotero 插件Zotero 插件
  • 邀请有礼
  • 套餐&价格
  • 历史记录
应用&插件
Suppr Zotero 插件Zotero 插件浏览器插件Mac 客户端Windows 客户端微信小程序
定价
高级版会员购买积分包购买API积分包
服务
文献检索文档翻译深度研究API 文档MCP 服务
关于我们
关于 Suppr公司介绍联系我们用户协议隐私条款
关注我们

Suppr 超能文献

核心技术专利:CN118964589B侵权必究
粤ICP备2023148730 号-1Suppr @ 2026

文献检索

告别复杂PubMed语法,用中文像聊天一样搜索,搜遍4000万医学文献。AI智能推荐,让科研检索更轻松。

立即免费搜索

文件翻译

保留排版,准确专业,支持PDF/Word/PPT等文件格式,支持 12+语言互译。

免费翻译文档

深度研究

AI帮你快速写综述,25分钟生成高质量综述,智能提取关键信息,辅助科研写作。

立即免费体验

在烯烃存在下,喹喔啉-2(1)-酮的无金属直接C-H官能化反应制备3-乙烯基喹喔啉-2(1)-酮

Metal-Free Direct C-H Functionalization of Quinoxalin-2(1)-Ones to Produce 3-Vinylated Quinoxalin-2(1)-Ones in the Presence of Alkenes.

作者信息

Ding Rongcai, Li Yingxue, Chang Yaoyao, Liu Yue, Yu Jie, Lv Yanna, Hu Jinxing

机构信息

School of Pharmacy, Weifang Medical University, Weifang, China.

出版信息

Front Chem. 2021 Apr 30;9:672051. doi: 10.3389/fchem.2021.672051. eCollection 2021.

DOI:10.3389/fchem.2021.672051
PMID:33996765
原文链接:https://pmc.ncbi.nlm.nih.gov/articles/PMC8119786/
Abstract

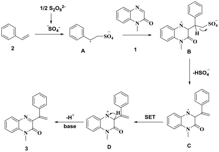
A novel and efficient - vinylation reaction with quinoxalin-2(1)-one as the substrate, in the presence of alkenes, under metal-free conditions, is reported herein. The reaction leads to the formation of new carbon-carbon bonds that exhibit moderate to good reactivities. The vinylation of quinoxalin-2(1)-ones, in the presence of alkenes, is an attractive process that can be potentially utilized to produce biologically active 3-vinylated quinoxalin-2(1)-ones.

摘要

本文报道了一种以喹喔啉-2(1)-酮为底物,在无金属条件下与烯烃发生的新型高效的乙烯基化反应。该反应导致形成具有中等至良好反应活性的新碳-碳键。在烯烃存在下喹喔啉-2(1)-酮的乙烯基化是一个有吸引力的过程,可潜在地用于生产具有生物活性的3-乙烯基喹喔啉-2(1)-酮。

https://cdn.ncbi.nlm.nih.gov/pmc/blobs/b733/8119786/e0f14fd397c3/fchem-09-672051-g0005.jpg
https://cdn.ncbi.nlm.nih.gov/pmc/blobs/b733/8119786/7b5c73c130af/fchem-09-672051-g0001.jpg
https://cdn.ncbi.nlm.nih.gov/pmc/blobs/b733/8119786/616374379e4c/fchem-09-672051-g0002.jpg
https://cdn.ncbi.nlm.nih.gov/pmc/blobs/b733/8119786/99bf900cc607/fchem-09-672051-g0003.jpg
https://cdn.ncbi.nlm.nih.gov/pmc/blobs/b733/8119786/e9f530ea6c77/fchem-09-672051-g0004.jpg
https://cdn.ncbi.nlm.nih.gov/pmc/blobs/b733/8119786/e0f14fd397c3/fchem-09-672051-g0005.jpg
https://cdn.ncbi.nlm.nih.gov/pmc/blobs/b733/8119786/7b5c73c130af/fchem-09-672051-g0001.jpg
https://cdn.ncbi.nlm.nih.gov/pmc/blobs/b733/8119786/616374379e4c/fchem-09-672051-g0002.jpg
https://cdn.ncbi.nlm.nih.gov/pmc/blobs/b733/8119786/99bf900cc607/fchem-09-672051-g0003.jpg
https://cdn.ncbi.nlm.nih.gov/pmc/blobs/b733/8119786/e9f530ea6c77/fchem-09-672051-g0004.jpg
https://cdn.ncbi.nlm.nih.gov/pmc/blobs/b733/8119786/e0f14fd397c3/fchem-09-672051-g0005.jpg

相似文献

1
Metal-Free Direct C-H Functionalization of Quinoxalin-2(1)-Ones to Produce 3-Vinylated Quinoxalin-2(1)-Ones in the Presence of Alkenes.在烯烃存在下,喹喔啉-2(1)-酮的无金属直接C-H官能化反应制备3-乙烯基喹喔啉-2(1)-酮
Front Chem. 2021 Apr 30;9:672051. doi: 10.3389/fchem.2021.672051. eCollection 2021.
2
Metal-Free Trifluoroalkylation of Quinoxalin-2(1)-ones with Unactivated Alkenes and Langlois' Reagent.无金属三氟甲基化喹喔啉-2(1H)-酮与非活化烯烃和朗格卢瓦试剂。
J Org Chem. 2020 Jun 5;85(11):6888-6896. doi: 10.1021/acs.joc.9b03505. Epub 2020 May 11.
3
Direct Introduction of Sulfonamide Groups into Quinoxalin-2(1H)-ones by Cu-Catalyzed C3-H Functionalization.通过铜催化的 C3-H 功能化直接将磺胺基团引入喹喔啉-2(1H)-酮中。
Chem Asian J. 2020 Oct 16;15(20):3365-3369. doi: 10.1002/asia.202000916. Epub 2020 Sep 21.
4
Recent Developments in Direct C-H Functionalization of Quinoxalin-2(1)-Ones via Heterogeneous Catalysis Reactions.最近通过多相催化反应实现喹喔啉-2(1H)-酮的直接 C-H 官能化的进展。
Molecules. 2023 Jun 27;28(13):5030. doi: 10.3390/molecules28135030.
5
Recent Developments in Direct C-H Functionalization of Quinoxalin-2(1)-Ones via Multi-Component Tandem Reactions.喹喔啉-2(1H)-酮的 C-H 直接官能团化的最新进展:多组分串联反应。
Molecules. 2023 Mar 9;28(6):2513. doi: 10.3390/molecules28062513.
6
A visible-light-mediated cascade reaction of quinoxalin-2(1)-ones, alkenes, and sulfinic acids.可见光促进的喹喔啉-2(1H)-酮、烯烃和亚磺酸的级联反应。
Org Biomol Chem. 2023 May 17;21(19):4109-4113. doi: 10.1039/d3ob00448a.
7
Metal-Free Direct C3-H Alkylation and Arylation of Quinoxalin-2(1H)-Ones with Inert Alkyl and Aryl Chlorides.喹喔啉-2(1H)-酮与惰性烷基和芳基氯化物的无金属直接C3-H烷基化和芳基化反应
Chemistry. 2023 Aug 21;29(47):e202300774. doi: 10.1002/chem.202300774. Epub 2023 Jul 24.
8
Visible-light-induced tandem reaction of quinoxalin-2(1)-ones, alkenes, and sulfonyl chlorides.喹喔啉-2(1)-酮、烯烃和磺酰氯的可见光诱导串联反应。
Org Biomol Chem. 2024 Aug 22;22(33):6799-6809. doi: 10.1039/d4ob00960f.
9
Visible Light-Induced Radical Cascade Functionalization of Quinoxalin-2(1)-ones: Three-Component 1,2-Di(hetero)arylation Approach with Styrenes and Thianthrenium Salts.可见光诱导喹喔啉-2(1)-酮的自由基级联官能团化反应:与苯乙烯和噻蒽鎓盐的三组分1,2-二(杂)芳基化方法
Org Lett. 2024 Oct 18;26(41):8821-8826. doi: 10.1021/acs.orglett.4c03565. Epub 2024 Oct 9.
10
The C3-H Bond Functionalization of Quinoxalin-2(1)-Ones With Hypervalent Iodine(III) Reagents.喹喔啉-2(1)-酮与高价碘(III)试剂的C3-H键官能化反应
Front Chem. 2020 Aug 3;8:582. doi: 10.3389/fchem.2020.00582. eCollection 2020.

本文引用的文献

1
Recent development in transition metal-catalysed C-H olefination.过渡金属催化的C-H烯基化反应的最新进展。
Chem Sci. 2021 Jan 29;12(8):2735-2759. doi: 10.1039/d0sc05555g.
2
Copper(I)/DDQ-Mediated Double-Dehydrogenative Diels-Alder Reaction of Aryl Butenes with 1,4-Diketones and Indolones.铜(I)/DDQ介导的芳基丁烯与1,4-二酮及吲哚酮的双脱氢狄尔斯-阿尔德反应
Org Lett. 2020 Sep 18;22(18):7169-7174. doi: 10.1021/acs.orglett.0c02486. Epub 2020 Sep 9.
3
Free-Radical-Promoted Dehydrogenative Coupling of Polyfluorinated Alcohol with Quinone, Chromone, and Coumarin.
自由基促进的多氟醇与醌、色酮和香豆素的脱氢偶联。
Org Lett. 2020 Jun 19;22(12):4844-4847. doi: 10.1021/acs.orglett.0c01671. Epub 2020 Jun 5.
4
Metal-Free Trifluoroalkylation of Quinoxalin-2(1)-ones with Unactivated Alkenes and Langlois' Reagent.无金属三氟甲基化喹喔啉-2(1H)-酮与非活化烯烃和朗格卢瓦试剂。
J Org Chem. 2020 Jun 5;85(11):6888-6896. doi: 10.1021/acs.joc.9b03505. Epub 2020 May 11.
5
En Route to Intermolecular Cross-Dehydrogenative Coupling Reactions.通向分子间交叉脱氢偶联反应之路
J Org Chem. 2019 Oct 18;84(20):12705-12721. doi: 10.1021/acs.joc.9b01704. Epub 2019 Sep 6.
6
Visible-Light-Induced Regioselective Alkylation of Coumarins via Decarboxylative Coupling with N-Hydroxyphthalimide Esters.可见光诱导香豆素通过与N-羟基邻苯二甲酰亚胺酯的脱羧偶联实现区域选择性烷基化反应
Org Lett. 2019 Apr 5;21(7):2064-2068. doi: 10.1021/acs.orglett.9b00327. Epub 2019 Mar 27.
7
Metal-Free Regioselective Cross Dehydrogenative Coupling of Cyclic Ethers and Aryl Carbonyls.环状醚与芳基羰基的无金属区域选择性交叉脱氢偶联反应
J Org Chem. 2019 Feb 15;84(4):2039-2047. doi: 10.1021/acs.joc.8b03048. Epub 2019 Jan 30.
8
Photoinitiated Three-Component α-Perfluoroalkyl-β-heteroarylation of Unactivated Alkenes via Electron Catalysis.通过电子催化实现的光引发未活化烯烃的三组分α-全氟烷基-β-杂芳基化反应
Org Lett. 2019 Jan 4;21(1):325-329. doi: 10.1021/acs.orglett.8b03849. Epub 2018 Dec 21.
9
Metal-Free C(sp)-H/N-H Cross-Dehydrogenative Coupling of Quinoxalinones with Aliphatic Amines under Visible-Light Photoredox Catalysis.无金属的 C(sp2)-H/N-H 交叉脱氢偶联反应:可见光光氧化还原催化下的喹喔啉酮与脂肪族胺。
Org Lett. 2018 Nov 16;20(22):7125-7130. doi: 10.1021/acs.orglett.8b03079. Epub 2018 Oct 29.
10
Metal-Free Cross-Dehydrogenative Coupling (CDC): Molecular Iodine as a Versatile Catalyst/Reagent for CDC Reactions.无金属交叉脱氢偶联(CDC):分子碘作为一种通用的 CDC 反应催化剂/试剂。
Chem Asian J. 2019 Jan 4;14(1):6-30. doi: 10.1002/asia.201801237. Epub 2018 Nov 2.