Suppr超能文献

金雀异黄素通过增强脑源性神经营养因子对慢性轻度应激诱导的抑郁模型大鼠发挥抗抑郁作用。

Genistein acts as antidepressant agent against chronic mild stress-induced depression model of rats through augmentation of brain-derived neurotrophic factor.

机构信息

The Fourth Affiliated Hospital of Harbin Medical University, Harbin, Heilongjiang, China.

出版信息

Brain Behav. 2021 Aug;11(8):e2300. doi: 10.1002/brb3.2300. Epub 2021 Aug 1.

Abstract

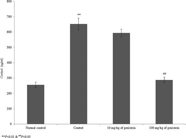
In this study, the antidepression effects of genistein were investigated in rats induced with chronic mild stress. Animals were designated into the following groups: normal control, control, 10 mg, and 100 mg. The dose was given for 45 consecutive days via the oral route. Sucrose preference analysis, forced swim, and open field tests were performed, and serum cortisol and monoamine levels in brain tissue were determined. The mRNA and protein expression of brain-derived neurotrophic factor (BDNF) was also examined. Supplementation with genistein significantly increased the sucrose preference ratio, locomotor activity, and monoamines and decreased serum cortisol levels. The mRNA expression of BDNF in the brain tissue was substantially reduced by 0.73% in control rats. However, supplementation with genistein significantly increased BDNF mRNA expression (by 107% and 229.6% in groups 10 mg and 100 mg, respectively). Similarly, the protein expression of BDNF increased by 82.3% and 141.2% in groups 10 mg and 100 mg, respectively. Taken together, these results suggest that supplementation with genistein may be effective against depression.

摘要

在这项研究中,研究了染料木黄酮对慢性轻度应激诱导的大鼠的抗抑郁作用。动物被分为以下几组:正常对照组、对照组、10mg 组和 100mg 组。通过口服途径连续 45 天给予剂量。进行蔗糖偏好分析、强迫游泳和旷场试验,并测定脑组织中血清皮质醇和单胺水平。还检查了脑源性神经营养因子(BDNF)的 mRNA 和蛋白表达。补充染料木黄酮可显著增加蔗糖偏好比、运动活性和单胺类物质,并降低血清皮质醇水平。对照组大鼠脑组织中 BDNF 的 mRNA 表达降低了 0.73%。然而,补充染料木黄酮可显著增加 BDNF mRNA 表达(10mg 组和 100mg 组分别增加 107%和 229.6%)。同样,BDNF 的蛋白表达在 10mg 组和 100mg 组分别增加了 82.3%和 141.2%。综上所述,这些结果表明,补充染料木黄酮可能对抑郁症有效。

https://cdn.ncbi.nlm.nih.gov/pmc/blobs/8a2e/8413810/81690c597fb8/BRB3-11-e2300-g003.jpg

文献AI研究员

20分钟写一篇综述,助力文献阅读效率提升50倍。

立即体验

用中文搜PubMed

大模型驱动的PubMed中文搜索引擎

马上搜索

文档翻译

学术文献翻译模型,支持多种主流文档格式。

立即体验