• 文献检索
  • 文档翻译
  • 深度研究
  • 学术资讯
  • Suppr Zotero 插件Zotero 插件
  • 邀请有礼
  • 套餐&价格
  • 历史记录
应用&插件
Suppr Zotero 插件Zotero 插件浏览器插件Mac 客户端Windows 客户端微信小程序
定价
高级版会员购买积分包购买API积分包
服务
文献检索文档翻译深度研究API 文档MCP 服务
关于我们
关于 Suppr公司介绍联系我们用户协议隐私条款
关注我们

Suppr 超能文献

核心技术专利:CN118964589B侵权必究
粤ICP备2023148730 号-1Suppr @ 2026

文献检索

告别复杂PubMed语法,用中文像聊天一样搜索,搜遍4000万医学文献。AI智能推荐,让科研检索更轻松。

立即免费搜索

文件翻译

保留排版,准确专业,支持PDF/Word/PPT等文件格式,支持 12+语言互译。

免费翻译文档

深度研究

AI帮你快速写综述,25分钟生成高质量综述,智能提取关键信息,辅助科研写作。

立即免费体验

姜黄素和载姜黄素纳米凝胶诱导K562慢性粒细胞白血病细胞凋亡活性。

Curcumin and Curcumin-Loaded Nanogel Induce Apoptosis Activity in K562 Chronic Myelogenous Leukemia Cells.

作者信息

Khatamsaz Sepideh, Hashemi Mehrdad

机构信息

Department of Molecular and Cellular Sciences, Faculty of Advanced Sciences & Technology, Pharmaceutical Sciences Branch, Islamic Azad University, Tehran -Iran (IAUPS).

Department of Genetics, Tehran medical sciences branch, Islamic Azad University, Tehran, Iran.

出版信息

Galen Med J. 2018 Feb 23;7:e921. doi: 10.22086/gmj.v0i0.921. eCollection 2018.

DOI:10.22086/gmj.v0i0.921
PMID:34466417
原文链接:https://pmc.ncbi.nlm.nih.gov/articles/PMC8343872/
Abstract

BACKGROUND

Chronic myeloid leukemia (CML), a hematological cancer of stem cells, is caused by the activation of oncogenic factors alone or/with inactivation of tumor suppressor genes. Curcumin is a hydrophobic polyphenol and the main compound of turmeric, which has been used in daily diets for many years. It is also a safe drug. Nanogels and nanobiotechnology have important roles in the diagnosis and treatment of diseases and drug delivery.

MATERIALS AND METHODS

To prepare the nanodrug, chitosan nanogels were prepared in 1% acetic acid and cross-linked with stearate by 1- ethyl- 3 (3-dimethylaminopropyl) carbodiimide (EDC) and N-hydroxysuccinimide (NHS). Subsequently, curcumin was loaded in the chitosan-stearate nanogel. Physical and morphological characteristics of the nanodrug were determined by transmission electron microscopy (TEM), dynamic light scattering (DLS), and Fourier transform infrared spectroscopy. Different nanodrug concentrations were prepared and evaluated on the K562 CML cell line. The apoptotic activities of curcumin and nanodrug on the cells were detected by flow cytometry, MTT assay, and trypan blue staining.

RESULTS

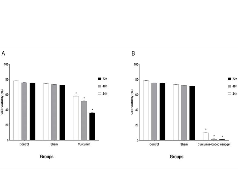
DLS revealed that the size of the nanodrug was 150 nm, which was confirmed by TEM. The half maximal inhibitory concentration (IC50) values of curcumin and nanodrug were 50 and 25 μg/ ml, respectively P < 0.05). Apoptosis of the K562 cell line occurred at 48 h post-treatment with 25 μg/ml curcumin and 12.5 μg/ml nanodrug.

CONCLUSION

The increase in the cytotoxicity of curcumin and nanodrug was directly related to the drug concentration and time. The nanodrug exhibited more cytotoxic effects on the vital capacity of the cells and stimulated more apoptosis compared with curcumin alone.

摘要

背景

慢性髓性白血病(CML)是一种干细胞血液系统癌症,由致癌因子单独激活或/和肿瘤抑制基因失活引起。姜黄素是一种疏水性多酚,是姜黄的主要成分,多年来一直用于日常饮食中。它也是一种安全的药物。纳米凝胶和纳米生物技术在疾病诊断、治疗及药物递送中发挥着重要作用。

材料与方法

为制备纳米药物,在1%乙酸中制备壳聚糖纳米凝胶,并通过1-乙基-3(3-二甲基氨基丙基)碳二亚胺(EDC)和N-羟基琥珀酰亚胺(NHS)与硬脂酸交联。随后,将姜黄素负载于壳聚糖-硬脂酸纳米凝胶中。通过透射电子显微镜(TEM)、动态光散射(DLS)和傅里叶变换红外光谱测定纳米药物的物理和形态特征。制备不同浓度的纳米药物并在K562慢性髓性白血病细胞系上进行评估。通过流式细胞术、MTT法和台盼蓝染色检测姜黄素和纳米药物对细胞的凋亡活性。

结果

动态光散射显示纳米药物的大小为150nm,透射电子显微镜证实了这一结果。姜黄素和纳米药物的半数最大抑制浓度(IC50)值分别为50和25μg/ml(P<0.05)。用25μg/ml姜黄素和12.5μg/ml纳米药物处理48小时后,K562细胞系发生凋亡。

结论

姜黄素和纳米药物细胞毒性的增加与药物浓度和时间直接相关。与单独的姜黄素相比,纳米药物对细胞活力表现出更强的细胞毒性作用,并诱导更多细胞凋亡。

https://cdn.ncbi.nlm.nih.gov/pmc/blobs/6086/8343872/19d033baf07b/gmj-7-e921-g008.jpg
https://cdn.ncbi.nlm.nih.gov/pmc/blobs/6086/8343872/90083eefab63/gmj-7-e921-g001.jpg
https://cdn.ncbi.nlm.nih.gov/pmc/blobs/6086/8343872/71fff5ab4fd2/gmj-7-e921-g002.jpg
https://cdn.ncbi.nlm.nih.gov/pmc/blobs/6086/8343872/670a0624f544/gmj-7-e921-g003.jpg
https://cdn.ncbi.nlm.nih.gov/pmc/blobs/6086/8343872/a41676628255/gmj-7-e921-g004.jpg
https://cdn.ncbi.nlm.nih.gov/pmc/blobs/6086/8343872/19c640b7fb30/gmj-7-e921-g005.jpg
https://cdn.ncbi.nlm.nih.gov/pmc/blobs/6086/8343872/13bdf05d556e/gmj-7-e921-g006.jpg
https://cdn.ncbi.nlm.nih.gov/pmc/blobs/6086/8343872/72dc2edf3de0/gmj-7-e921-g007.jpg
https://cdn.ncbi.nlm.nih.gov/pmc/blobs/6086/8343872/19d033baf07b/gmj-7-e921-g008.jpg
https://cdn.ncbi.nlm.nih.gov/pmc/blobs/6086/8343872/90083eefab63/gmj-7-e921-g001.jpg
https://cdn.ncbi.nlm.nih.gov/pmc/blobs/6086/8343872/71fff5ab4fd2/gmj-7-e921-g002.jpg
https://cdn.ncbi.nlm.nih.gov/pmc/blobs/6086/8343872/670a0624f544/gmj-7-e921-g003.jpg
https://cdn.ncbi.nlm.nih.gov/pmc/blobs/6086/8343872/a41676628255/gmj-7-e921-g004.jpg
https://cdn.ncbi.nlm.nih.gov/pmc/blobs/6086/8343872/19c640b7fb30/gmj-7-e921-g005.jpg
https://cdn.ncbi.nlm.nih.gov/pmc/blobs/6086/8343872/13bdf05d556e/gmj-7-e921-g006.jpg
https://cdn.ncbi.nlm.nih.gov/pmc/blobs/6086/8343872/72dc2edf3de0/gmj-7-e921-g007.jpg
https://cdn.ncbi.nlm.nih.gov/pmc/blobs/6086/8343872/19d033baf07b/gmj-7-e921-g008.jpg

相似文献

1
Curcumin and Curcumin-Loaded Nanogel Induce Apoptosis Activity in K562 Chronic Myelogenous Leukemia Cells.姜黄素和载姜黄素纳米凝胶诱导K562慢性粒细胞白血病细胞凋亡活性。
Galen Med J. 2018 Feb 23;7:e921. doi: 10.22086/gmj.v0i0.921. eCollection 2018.
2
Effects of Apigenin and Apigenin- Loaded Nanogel on Induction of Apoptosis in Human Chronic Myeloid Leukemia Cells.芹菜素及载芹菜素纳米凝胶对人慢性髓性白血病细胞凋亡诱导作用的影响
Galen Med J. 2018 May 19;7:e1008. doi: 10.22086/gmj.v0i0.1008. eCollection 2018.
3
Chitosan-based polymer hybrids for thermo-responsive nanogel delivery of curcumin.壳聚糖基聚合物杂化材料用于姜黄素温敏性纳米凝胶的递送。
Carbohydr Polym. 2018 Feb 1;181:1119-1127. doi: 10.1016/j.carbpol.2017.11.027. Epub 2017 Nov 7.
4
Cytotoxicity Effects of Curcumin Loaded on Chitosan Alginate Nanospheres on the KMBC-10 Spheroids Cell Line.载姜黄素壳聚糖海藻酸钠纳米球对 KMBC-10 球体细胞系的细胞毒性作用。
Int J Nanomedicine. 2021 Jan 25;16:579-589. doi: 10.2147/IJN.S251056. eCollection 2021.
5
Construction of carboxymethyl konjac glucomannan/chitosan complex nanogels as potential delivery vehicles for curcumin.羧甲基魔芋葡甘聚糖/壳聚糖复合纳米凝胶的构建作为姜黄素的潜在递送载体。
Food Chem. 2021 Nov 15;362:130242. doi: 10.1016/j.foodchem.2021.130242. Epub 2021 May 28.
6
Analysis of the Antiproliferative Effects of Curcumin and Nanocurcumin in MDA-MB231 as a Breast Cancer Cell Line.姜黄素和纳米姜黄素对乳腺癌细胞系MDA-MB231的抗增殖作用分析。
Iran J Pharm Res. 2016 Winter;15(1):231-9.
7
Preparation, characterization and biological evaluation of curcumin loaded alginate aldehyde-gelatin nanogels.姜黄素负载海藻酸钠醛-明胶纳米凝胶的制备、表征及生物学评价
Mater Sci Eng C Mater Biol Appl. 2016 Nov 1;68:251-257. doi: 10.1016/j.msec.2016.05.046. Epub 2016 May 14.
8
pH responsive biodegradable nanogels for sustained release of bleomycin.用于博来霉素持续释放的pH响应性可生物降解纳米凝胶
Bioorg Med Chem. 2017 Sep 1;25(17):4595-4613. doi: 10.1016/j.bmc.2017.06.038. Epub 2017 Jun 27.
9
Curcumin loaded gum arabic aldehyde-gelatin nanogels for breast cancer therapy.用于乳腺癌治疗的载姜黄素阿拉伯胶醛-明胶纳米凝胶
Mater Sci Eng C Mater Biol Appl. 2016 Aug 1;65:331-7. doi: 10.1016/j.msec.2016.04.044. Epub 2016 Apr 13.
10
Enhanced Anticancer Response of Curcumin- and Piperine-Loaded Lignin-g-p (NIPAM-co-DMAEMA) Gold Nanogels against U-251 MG Glioblastoma Multiforme.负载姜黄素和胡椒碱的木质素接枝聚(N-异丙基丙烯酰胺-共-甲基丙烯酸二甲氨基乙酯)金纳米凝胶对多形性胶质母细胞瘤U-251 MG的抗癌反应增强
Biomedicines. 2021 Oct 21;9(11):1516. doi: 10.3390/biomedicines9111516.

引用本文的文献

1
Application of Chitosan-based Nanogel in Cancer Nanomedicine.基于壳聚糖的纳米凝胶在癌症纳米医学中的应用。
Curr Pharm Des. 2025;31(16):1247-1258. doi: 10.2174/0113816128347060241105032329.
2
Curcumin ameliorates heatstroke-induced lung injury by activating the PI3K/AKT pathway.姜黄素通过激活PI3K/AKT信号通路改善中暑诱导的肺损伤。
Naunyn Schmiedebergs Arch Pharmacol. 2025 Apr;398(4):4617-4632. doi: 10.1007/s00210-024-03572-z. Epub 2024 Nov 9.
3
Curcumin in treatment of hematological cancers: Promises and challenges.姜黄素治疗血液系统癌症:前景与挑战

本文引用的文献

1
Doxorubicin Loaded DNA Aptamer Linked Myristilated Chitosan Nanogel for Targeted Drug Delivery to Prostate Cancer.载有阿霉素的DNA适配体连接肉豆蔻酰化壳聚糖纳米凝胶用于前列腺癌的靶向给药
Iran J Pharm Res. 2017 Winter;16(1):35-49.
2
Immune Effector Recovery in Chronic Myeloid Leukemia and Treatment-Free Remission.慢性髓性白血病中的免疫效应恢复与无治疗缓解
Front Immunol. 2017 Apr 24;8:469. doi: 10.3389/fimmu.2017.00469. eCollection 2017.
3
Antibacterial Action of Curcumin against : A Brief Review.姜黄素的抗菌作用简述
J Tradit Complement Med. 2024 Jan 5;14(2):121-134. doi: 10.1016/j.jtcme.2023.10.004. eCollection 2024 Mar.
J Trop Med. 2016;2016:2853045. doi: 10.1155/2016/2853045. Epub 2016 Nov 13.
4
CM363, a novel naphthoquinone derivative which acts as multikinase modulator and overcomes imatinib resistance in chronic myelogenous leukemia.CM363,一种新型萘醌衍生物,它作为多激酶调节剂,可克服慢性粒细胞白血病中的伊马替尼耐药性。
Oncotarget. 2017 May 2;8(18):29679-29698. doi: 10.18632/oncotarget.11425.
5
Benzo(a)pyrene Induced p53 Mediated Male Germ Cell Apoptosis: Synergistic Protective Effects of Curcumin and Resveratrol.苯并(a)芘诱导p53介导的雄性生殖细胞凋亡:姜黄素和白藜芦醇的协同保护作用。
Front Pharmacol. 2016 Aug 8;7:245. doi: 10.3389/fphar.2016.00245. eCollection 2016.
6
Biodegradable micelles enhance the antiglioma activity of curcumin in vitro and in vivo.可生物降解的胶束在体外和体内增强了姜黄素的抗胶质瘤活性。
Int J Nanomedicine. 2016 Jun 9;11:2721-36. doi: 10.2147/IJN.S102450. eCollection 2016.
7
Curcumin nanoformulations: a review of pharmaceutical properties and preclinical studies and clinical data related to cancer treatment.姜黄素纳米制剂:对与癌症治疗相关的药物特性、临床前研究和临床数据的综述。
Biomaterials. 2014 Mar;35(10):3365-83. doi: 10.1016/j.biomaterials.2013.12.090. Epub 2014 Jan 15.
8
Curcumin-containing liposomes stabilized by thin layers of chitosan derivatives.含姜黄素的脂质体,由薄壳聚糖衍生物稳定。
Colloids Surf B Biointerfaces. 2013 Sep 1;109:307-16. doi: 10.1016/j.colsurfb.2013.03.059. Epub 2013 Apr 22.
9
New perspectives of curcumin in cancer prevention.姜黄素在癌症预防中的新视角。
Cancer Prev Res (Phila). 2013 May;6(5):387-400. doi: 10.1158/1940-6207.CAPR-12-0410. Epub 2013 Mar 6.
10
Re-emergence of interferon-α in the treatment of chronic myeloid leukemia.干扰素-α在慢性髓性白血病治疗中的再崛起。
Leukemia. 2013 Apr;27(4):803-12. doi: 10.1038/leu.2012.313. Epub 2012 Nov 7.