Department of Radiation Oncology, Chang Gung Memorial Hospital, Chiayi 61363, Taiwan.
College of Medicine, Chang Gung University, Taoyuan 33302, Taiwan.
Nutrients. 2021 Aug 28;13(9):2997. doi: 10.3390/nu13092997.
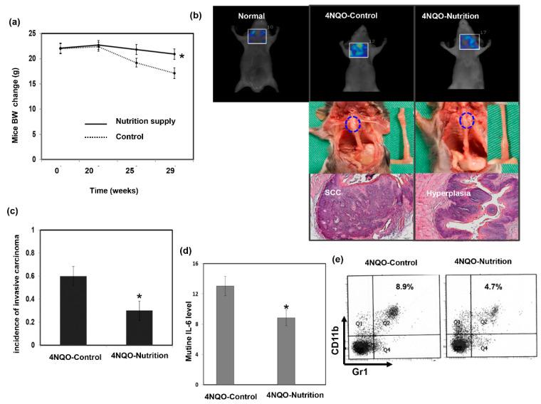
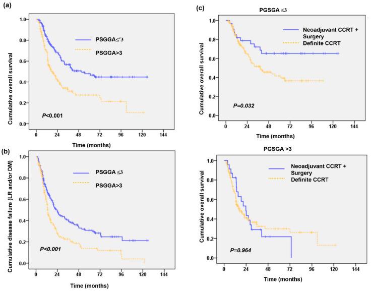
Undernourishment is reported to impair treatment response, further leading to poor prognosis for cancer patients. We aimed to investigate the role of nutritional status on the prognosis of squamous cell carcinoma (SCC) of the esophagus, and its correlation with anticancer immune responsiveness. We retrospectively reviewed 340 esophageal-SCC patients who completed curative treatment and received a nutrition evaluation by the Patient-Generated Subjective Global Assessment (PGSGA) score at the beginning and completion of neoadjuvant treatment at our hospital. The correlation between the nutritional status and various clinicopathological parameters and prognosis were examined. In addition, the role of nutritional status in the regulation of the anticancer immune response was also assessed in cancer patients and in a 4-nitroquinoline 1-oxide (4NQO)-induced esophageal tumor model. Our data revealed that malnutrition (patients with a high PGSGA score) was associated with advanced stage and reduced survival rate. Patients in the group with a high PGSGA score were correlated with the higher neutrophil-to-lymphocyte ratio, higher proportion of myeloid-derived-suppressor cells (MDSC) and increased IL-6 level. Furthermore, surgical resection brought the survival benefit to patients in the low PGSGA group, but not for the malnourished patients after neoadjuvant treatment. Using a 4NQO-induced tumor model, we found that nutrition supplementation decreased the rate of invasive tumor formation and attenuated the immune-suppressive microenvironment. In conclusion, malnutrition was associated with poor prognosis in esophageal-SCC patients. Nutritional status evaluated by PGSGA may be useful to guide treatment decisions in clinical practice. Nutritional supplementation is suggested to improve prognosis, and it might be related to augmented anticancer immune response.
营养不良据报道会影响治疗反应,进而导致癌症患者预后不良。我们旨在研究营养状况对食管鳞癌(SCC)预后的作用,及其与抗癌免疫反应的相关性。我们回顾性分析了 340 例在我院完成根治性治疗并在新辅助治疗前后接受患者主观整体评估(PGSGA)评分进行营养评估的食管 SCC 患者。检查了营养状况与各种临床病理参数和预后之间的相关性。此外,还在癌症患者和 4-硝基喹啉 1-氧化物(4NQO)诱导的食管肿瘤模型中评估了营养状况在调节抗癌免疫反应中的作用。我们的数据表明,营养不良(PGSGA 评分较高的患者)与晚期和生存率降低有关。PGSGA 评分较高的患者与中性粒细胞与淋巴细胞比值较高、髓系来源抑制细胞(MDSC)比例较高和 IL-6 水平升高相关。此外,手术切除为低 PGSGA 组患者带来了生存获益,但对新辅助治疗后的营养不良患者无效。使用 4NQO 诱导的肿瘤模型,我们发现营养补充可降低侵袭性肿瘤形成率并减轻免疫抑制微环境。总之,营养不良与食管 SCC 患者的不良预后相关。PGSGA 评估的营养状况可能有助于指导临床实践中的治疗决策。建议进行营养补充以改善预后,这可能与增强的抗癌免疫反应有关。