Suppr超能文献

提高 COVID-19 疫苗接种率的信息:来自六个拉丁美洲国家在线实验的证据。

Messages that increase COVID-19 vaccine acceptance: Evidence from online experiments in six Latin American countries.

机构信息

Department of Political Science, Columbia University, New York, NY, United States of America.

出版信息

PLoS One. 2021 Oct 28;16(10):e0259059. doi: 10.1371/journal.pone.0259059. eCollection 2021.

Abstract

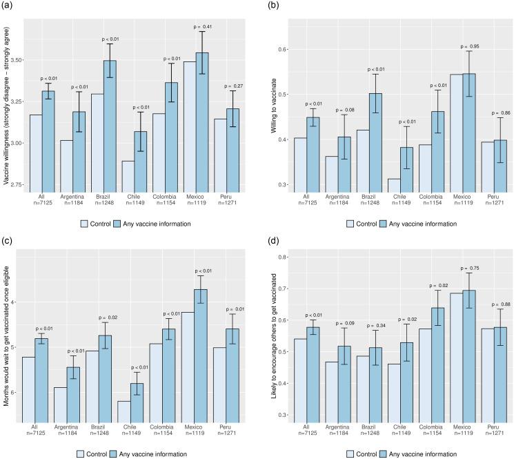
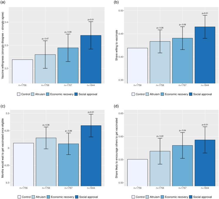
As safe and effective vaccines become widely available, attaining herd immunity and limiting the spread of COVID-19 will depend on individuals choosing to vaccinate-and doing so quickly enough to outpace mutations. Using online surveys conducted across six Latin American countries in January 2021, we experimentally assess messages designed to counteract informational deficiencies and collective action problems that may drive hesitancy. We first find that basic vaccine information persuades around 8% of hesitant individuals to become willing to vaccinate, reduces intended wait to vaccinate by 0.4 months, and increases willingness to encourage others to vaccinate. Rather than facilitating free riding, learning, or social conformity, additional information about others' behavior increases vaccine acceptance when respondents expect herd immunity will be achieved. Finally, priming the social approval benefits of vaccinating also increases vaccine acceptance. These results suggest that providing information and shaping social expectations and incentives could both significantly increase vaccine uptake.

摘要

随着安全有效的疫苗广泛普及,实现群体免疫并限制 COVID-19 的传播将取决于个人选择接种疫苗,并且接种速度要足够快,以超越变异。我们利用 2021 年 1 月在六个拉丁美洲国家进行的在线调查,通过实验评估旨在对抗信息不足和集体行动问题的信息,这些问题可能导致犹豫不决。我们首先发现,基本的疫苗信息可以说服大约 8%的犹豫不决的人愿意接种疫苗,将接种的预期等待时间缩短 0.4 个月,并增加愿意鼓励他人接种疫苗的意愿。额外的关于他人行为的信息增加了疫苗的接受度,而不是促进搭便车、学习或社会从众,这是因为受访者预期群体免疫将得以实现。最后,提醒接种的社会认可益处也会增加疫苗的接受度。这些结果表明,提供信息以及塑造社会期望和激励措施都可以显著提高疫苗接种率。

https://cdn.ncbi.nlm.nih.gov/pmc/blobs/9af5/8553119/e83f301071ed/pone.0259059.g001.jpg

文献检索

告别复杂PubMed语法,用中文像聊天一样搜索,搜遍4000万医学文献。AI智能推荐,让科研检索更轻松。

立即免费搜索

文件翻译

保留排版,准确专业,支持PDF/Word/PPT等文件格式,支持 12+语言互译。

免费翻译文档

深度研究

AI帮你快速写综述,25分钟生成高质量综述,智能提取关键信息,辅助科研写作。

立即免费体验