• 文献检索
  • 文档翻译
  • 深度研究
  • 学术资讯
  • Suppr Zotero 插件Zotero 插件
  • 邀请有礼
  • 套餐&价格
  • 历史记录
应用&插件
Suppr Zotero 插件Zotero 插件浏览器插件Mac 客户端Windows 客户端微信小程序
定价
高级版会员购买积分包购买API积分包
服务
文献检索文档翻译深度研究API 文档MCP 服务
关于我们
关于 Suppr公司介绍联系我们用户协议隐私条款
关注我们

Suppr 超能文献

核心技术专利:CN118964589B侵权必究
粤ICP备2023148730 号-1Suppr @ 2026

文献检索

告别复杂PubMed语法,用中文像聊天一样搜索,搜遍4000万医学文献。AI智能推荐,让科研检索更轻松。

立即免费搜索

文件翻译

保留排版,准确专业,支持PDF/Word/PPT等文件格式,支持 12+语言互译。

免费翻译文档

深度研究

AI帮你快速写综述,25分钟生成高质量综述,智能提取关键信息,辅助科研写作。

立即免费体验

食管癌新的免疫相关预后特征及其与浸润性免疫细胞和靶基因的相关性综合分析

Comprehensive analysis of a new immune-related prognostic signature for esophageal cancer and its correlation with infiltrating immune cells and target genes.

作者信息

Peng Zhang, Liu Xin-Yuan, Cheng Zeng, Kai Wu, Song Zhao

机构信息

Department of Thoracic Surgery, The First Affiliated Hospital of Zhengzhou University, Zhengzhou, China.

School of Basic Medical Sciences, Henan University, Kaifeng, China.

出版信息

Ann Transl Med. 2021 Oct;9(20):1576. doi: 10.21037/atm-21-4756.

DOI:10.21037/atm-21-4756
PMID:34790782
原文链接:https://pmc.ncbi.nlm.nih.gov/articles/PMC8576727/
Abstract

BACKGROUND

The incidence of esophageal cancer (ESCA) is increasing rapidly, and the 5-year survival rate is less than 20%. This study provides new ideas for clinical treatment by establishing a prognostic signature composed of immune-related genes (IRGs), and fully analyzing its relationship with target genes and the tumor microenvironment (TME).

METHODS

We downloaded the ESCA expression matrix and clinical information from The Cancer Genome Atlas (TCGA) database. Differential expression genes (DEGs) were identified with the edgeR package and crossed with the IRGs we obtained from the ImmPort database to obtain differential IRGs (DEIRGs). The prognostic signature was then obtained through univariate Cox, LASSO-Cox, and multivariate Cox analyses. The receiver operating characteristic (ROC) curve was used to evaluate the prediction effect of the model. The immune cell infiltration abundance obtained by ssGSEA and therapeutic target genes was used to perform sufficient correlation analysis with the obtained prognostic signature and related genes.

RESULTS

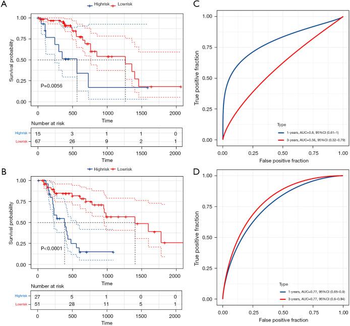
A total of 173 samples were obtained from TCGA database, including 162 tumor and 11 normal samples. The 3,033 differential genes were used to obtain 254 DEIRGs by intersections with 2,483 IRGs (IRGs) obtained from the ImmPort Database. Finally, multivariate Cox regression analysis identified eight prognostic DEIRGs and established a new prognostic signature (HR: 2.49, 95% CI: 1.68-3.67; P<0.001). Based on the expression of the eight genes, the cohort was then divided into high and low risk groups and Kaplan-Meier (K-M) curves were plotted with the log-rank test P<0.0001 and 1-, 3-year area under the curve (AUC) >0.7. The K-M curves grouped according to high and low risks performed well in the two subgroup validation cohorts, with log-rank test P<0.05. There were differences in the degree of infiltration of 16 kinds of immune cells in tumor and normal samples, and the infiltration abundance of 12 kinds of immune cells was different in the high and low-risk groups.

CONCLUSIONS

An effective and validated prognostic signature composed of IRGs was established and had a strong correlation with immune cells and target genes of drug therapy.

摘要

背景

食管癌(ESCA)的发病率正在迅速上升,其5年生存率低于20%。本研究通过建立由免疫相关基因(IRGs)组成的预后特征,并全面分析其与靶基因及肿瘤微环境(TME)的关系,为临床治疗提供新思路。

方法

我们从癌症基因组图谱(TCGA)数据库下载了ESCA表达矩阵和临床信息。使用edgeR软件包鉴定差异表达基因(DEGs),并将其与我们从ImmPort数据库获得的IRGs进行交叉分析,以获得差异免疫相关基因(DEIRGs)。然后通过单因素Cox分析、LASSO-Cox分析和多因素Cox分析获得预后特征。采用受试者工作特征(ROC)曲线评估模型的预测效果。利用单样本基因集富集分析(ssGSEA)获得的免疫细胞浸润丰度和治疗靶基因,与获得的预后特征及相关基因进行充分的相关性分析。

结果

从TCGA数据库共获取173个样本,其中包括162个肿瘤样本和11个正常样本。通过将3033个差异基因与从ImmPort数据库获得的2483个IRGs进行交叉分析,得到254个DEIRGs。最后,多因素Cox回归分析确定了8个预后DEIRGs,并建立了一个新的预后特征(HR:2.49,95%CI:1.68 - 3.67;P < 0.001)。根据这8个基因的表达情况,将队列分为高风险组和低风险组,并绘制Kaplan-Meier(K-M)曲线,对数秩检验P < 0.0001,1年和3年曲线下面积(AUC)> 0.7。在两个亚组验证队列中,根据高风险和低风险分组的K-M曲线表现良好,对数秩检验P < 0.05。肿瘤样本和正常样本中16种免疫细胞的浸润程度存在差异,高风险组和低风险组中12种免疫细胞的浸润丰度也不同。

结论

建立了一个由IRGs组成的有效且经过验证的预后特征,其与免疫细胞及药物治疗的靶基因具有很强的相关性。

https://cdn.ncbi.nlm.nih.gov/pmc/blobs/12f6/8576727/d7ce596a8557/atm-09-20-1576-f11.jpg
https://cdn.ncbi.nlm.nih.gov/pmc/blobs/12f6/8576727/1c195816457c/atm-09-20-1576-f1.jpg
https://cdn.ncbi.nlm.nih.gov/pmc/blobs/12f6/8576727/bc8de0f612c1/atm-09-20-1576-f2.jpg
https://cdn.ncbi.nlm.nih.gov/pmc/blobs/12f6/8576727/20f08bf14ab0/atm-09-20-1576-f3.jpg
https://cdn.ncbi.nlm.nih.gov/pmc/blobs/12f6/8576727/aaf4cf0d85f8/atm-09-20-1576-f4.jpg
https://cdn.ncbi.nlm.nih.gov/pmc/blobs/12f6/8576727/9cbf0dcd8c1f/atm-09-20-1576-f5.jpg
https://cdn.ncbi.nlm.nih.gov/pmc/blobs/12f6/8576727/afccccb10c3e/atm-09-20-1576-f6.jpg
https://cdn.ncbi.nlm.nih.gov/pmc/blobs/12f6/8576727/1ba06ecaec19/atm-09-20-1576-f7.jpg
https://cdn.ncbi.nlm.nih.gov/pmc/blobs/12f6/8576727/21a152c81d8e/atm-09-20-1576-f8.jpg
https://cdn.ncbi.nlm.nih.gov/pmc/blobs/12f6/8576727/01358b3019e6/atm-09-20-1576-f9.jpg
https://cdn.ncbi.nlm.nih.gov/pmc/blobs/12f6/8576727/00552b3579a6/atm-09-20-1576-f10.jpg
https://cdn.ncbi.nlm.nih.gov/pmc/blobs/12f6/8576727/d7ce596a8557/atm-09-20-1576-f11.jpg
https://cdn.ncbi.nlm.nih.gov/pmc/blobs/12f6/8576727/1c195816457c/atm-09-20-1576-f1.jpg
https://cdn.ncbi.nlm.nih.gov/pmc/blobs/12f6/8576727/bc8de0f612c1/atm-09-20-1576-f2.jpg
https://cdn.ncbi.nlm.nih.gov/pmc/blobs/12f6/8576727/20f08bf14ab0/atm-09-20-1576-f3.jpg
https://cdn.ncbi.nlm.nih.gov/pmc/blobs/12f6/8576727/aaf4cf0d85f8/atm-09-20-1576-f4.jpg
https://cdn.ncbi.nlm.nih.gov/pmc/blobs/12f6/8576727/9cbf0dcd8c1f/atm-09-20-1576-f5.jpg
https://cdn.ncbi.nlm.nih.gov/pmc/blobs/12f6/8576727/afccccb10c3e/atm-09-20-1576-f6.jpg
https://cdn.ncbi.nlm.nih.gov/pmc/blobs/12f6/8576727/1ba06ecaec19/atm-09-20-1576-f7.jpg
https://cdn.ncbi.nlm.nih.gov/pmc/blobs/12f6/8576727/21a152c81d8e/atm-09-20-1576-f8.jpg
https://cdn.ncbi.nlm.nih.gov/pmc/blobs/12f6/8576727/01358b3019e6/atm-09-20-1576-f9.jpg
https://cdn.ncbi.nlm.nih.gov/pmc/blobs/12f6/8576727/00552b3579a6/atm-09-20-1576-f10.jpg
https://cdn.ncbi.nlm.nih.gov/pmc/blobs/12f6/8576727/d7ce596a8557/atm-09-20-1576-f11.jpg

相似文献

1
Comprehensive analysis of a new immune-related prognostic signature for esophageal cancer and its correlation with infiltrating immune cells and target genes.食管癌新的免疫相关预后特征及其与浸润性免疫细胞和靶基因的相关性综合分析
Ann Transl Med. 2021 Oct;9(20):1576. doi: 10.21037/atm-21-4756.
2
The prognostic value of an immune-related gene signature and infiltrating tumor immune cells based on bioinformatics analysis in primary esophageal cancer.基于生物信息学分析的免疫相关基因特征和浸润性肿瘤免疫细胞在原发性食管癌中的预后价值
J Gastrointest Oncol. 2022 Aug;13(4):1556-1570. doi: 10.21037/jgo-22-576.
3
Construction of an immune-related gene signature for overall survival prediction and immune infiltration in gastric cancer.构建用于预测胃癌总生存期和免疫浸润的免疫相关基因特征。
World J Gastrointest Oncol. 2024 Mar 15;16(3):919-932. doi: 10.4251/wjgo.v16.i3.919.
4
A robust signature associated with patient prognosis and tumor immune microenvironment based on immune-related genes in lung squamous cell carcinoma.基于肺鳞癌免疫相关基因的与患者预后和肿瘤免疫微环境相关的稳健标志物。
Int Immunopharmacol. 2020 Nov;88:106856. doi: 10.1016/j.intimp.2020.106856. Epub 2020 Aug 7.
5
Identification of an immune-related gene-based signature to predict prognosis of patients with gastric cancer.基于免疫相关基因的特征识别以预测胃癌患者的预后
World J Gastrointest Oncol. 2020 Aug 15;12(8):857-876. doi: 10.4251/wjgo.v12.i8.857.
6
Exploration of a Robust and Prognostic Immune Related Gene Signature for Cervical Squamous Cell Carcinoma.探索一种用于宫颈鳞状细胞癌的稳健且具有预后价值的免疫相关基因特征。
Front Mol Biosci. 2021 Mar 3;8:625470. doi: 10.3389/fmolb.2021.625470. eCollection 2021.
7
Identification of prognostic immune-related gene signature associated with tumor microenvironment of colorectal cancer.鉴定与结直肠癌肿瘤微环境相关的预后免疫相关基因特征。
BMC Cancer. 2021 Aug 8;21(1):905. doi: 10.1186/s12885-021-08629-3.
8
Construction of a Novel Immune-Related mRNA Signature to Predict the Prognosis and Immune Characteristics of Human Colorectal Cancer.构建一种新型免疫相关mRNA特征以预测人类结直肠癌的预后和免疫特征
Front Genet. 2022 Mar 23;13:851373. doi: 10.3389/fgene.2022.851373. eCollection 2022.
9
Development and validation of an immune gene-set based prognostic signature for soft tissue sarcoma.基于免疫基因集的软组织肉瘤预后特征的开发与验证
BMC Cancer. 2021 Feb 8;21(1):144. doi: 10.1186/s12885-021-07852-2.
10
A signature of seven immune-related genes predicts overall survival in male gastric cancer patients.七个免疫相关基因的特征可预测男性胃癌患者的总生存期。
Cancer Cell Int. 2021 Feb 18;21(1):117. doi: 10.1186/s12935-021-01823-0.

引用本文的文献

1
SKA1/2/3 is a prognostic and predictive biomarker in esophageal adenocarcinoma and squamous cell carcinoma.SKA1/2/3 是食管腺癌和鳞癌的预后和预测生物标志物。
BMC Cancer. 2024 Nov 29;24(1):1480. doi: 10.1186/s12885-024-13257-8.
2
Seven Fatty Acid Metabolism-Related Genes as Potential Biomarkers for Predicting the Prognosis and Immunotherapy Responses in Patients with Esophageal Cancer.七个脂肪酸代谢相关基因作为预测食管癌患者预后和免疫治疗反应的潜在生物标志物
Vaccines (Basel). 2022 Oct 15;10(10):1721. doi: 10.3390/vaccines10101721.
3
HSPA6 is Correlated With the Malignant Progression and Immune Microenvironment of Gliomas.

本文引用的文献

1
Esophageal Cancer Associated Immune Genes as Biomarkers for Predicting Outcome in Upper Gastrointestinal Tumors.食管癌相关免疫基因作为预测上消化道肿瘤预后的生物标志物
Front Genet. 2021 Jul 19;12:707299. doi: 10.3389/fgene.2021.707299. eCollection 2021.
2
RNA-Sequencing Reveals Heat Shock 70-kDa Protein 6 (HSPA6) as a Novel Thymoquinone-Upregulated Gene That Inhibits Growth, Migration, and Invasion of Triple-Negative Breast Cancer Cells.RNA测序揭示热休克70千道尔顿蛋白6(HSPA6)是一种新的被百里醌上调的基因,它能抑制三阴性乳腺癌细胞的生长、迁移和侵袭。
Front Oncol. 2021 May 4;11:667995. doi: 10.3389/fonc.2021.667995. eCollection 2021.
3
热休克蛋白家族A成员6(HSPA6)与胶质瘤的恶性进展及免疫微环境相关。
Front Cell Dev Biol. 2022 Feb 23;10:833938. doi: 10.3389/fcell.2022.833938. eCollection 2022.
Development of a prognostic signature for esophageal cancer based on nine immune related genes.
基于 9 个免疫相关基因的食管癌预后标志物的开发。
BMC Cancer. 2021 Feb 4;21(1):113. doi: 10.1186/s12885-021-07813-9.
4
Cytokine-chemokine network driven metastasis in esophageal cancer; promising avenue for targeted therapy.细胞因子-趋化因子网络驱动食管癌转移:靶向治疗的有前景途径。
Mol Cancer. 2021 Jan 4;20(1):2. doi: 10.1186/s12943-020-01294-3.
5
GPER1 and microRNA: Two Players in Breast Cancer Progression.GPER1 和 microRNA:乳腺癌进展中的两个参与者。
Int J Mol Sci. 2020 Dec 24;22(1):98. doi: 10.3390/ijms22010098.
6
Immune-Related lncRNA to Construct Novel Signature and Predict the Immune Landscape of Human Hepatocellular Carcinoma.用于构建新型标志物并预测人类肝细胞癌免疫格局的免疫相关长链非编码RNA
Mol Ther Nucleic Acids. 2020 Oct 10;22:937-947. doi: 10.1016/j.omtn.2020.10.002. eCollection 2020 Dec 4.
7
Comprehensive registry of esophageal cancer in Japan, 2013.日本 2013 年食管癌综合登记报告。
Esophagus. 2021 Jan;18(1):1-24. doi: 10.1007/s10388-020-00785-y. Epub 2020 Oct 13.
8
Identification of the Prognostic Value of Immune-Related Genes in Esophageal Cancer.食管癌中免疫相关基因预后价值的鉴定
Front Genet. 2020 Aug 21;11:989. doi: 10.3389/fgene.2020.00989. eCollection 2020.
9
Tumor immune microenvironment and immune checkpoint inhibitors in esophageal squamous cell carcinoma.食管鳞状细胞癌中的肿瘤免疫微环境与免疫检查点抑制剂
Cancer Sci. 2020 Sep;111(9):3132-3141. doi: 10.1111/cas.14541. Epub 2020 Jul 14.
10
Regulatory roles of HSPA6 in Actinidia chinensis Planch. root extract (acRoots)-inhibited lung cancer proliferation.热休克蛋白家族A(Hsp70)成员6在中华猕猴桃根提取物(acRoots)抑制肺癌增殖中的调控作用
Clin Transl Med. 2020 Jun;10(2):e46. doi: 10.1002/ctm2.46. Epub 2020 Jun 5.