• 文献检索
  • 文档翻译
  • 深度研究
  • 学术资讯
  • Suppr Zotero 插件Zotero 插件
  • 邀请有礼
  • 套餐&价格
  • 历史记录
应用&插件
Suppr Zotero 插件Zotero 插件浏览器插件Mac 客户端Windows 客户端微信小程序
定价
高级版会员购买积分包购买API积分包
服务
文献检索文档翻译深度研究API 文档MCP 服务
关于我们
关于 Suppr公司介绍联系我们用户协议隐私条款
关注我们

Suppr 超能文献

核心技术专利:CN118964589B侵权必究
粤ICP备2023148730 号-1Suppr @ 2026

文献检索

告别复杂PubMed语法,用中文像聊天一样搜索,搜遍4000万医学文献。AI智能推荐,让科研检索更轻松。

立即免费搜索

文件翻译

保留排版,准确专业,支持PDF/Word/PPT等文件格式,支持 12+语言互译。

免费翻译文档

深度研究

AI帮你快速写综述,25分钟生成高质量综述,智能提取关键信息,辅助科研写作。

立即免费体验

临床监督对医疗保健组织结果的影响:一项混合方法系统评价。

Impact of clinical supervision on healthcare organisational outcomes: A mixed methods systematic review.

机构信息

Senior Research Fellow, Rural Clinical School, Faculty of Medicine, The University of Queensland, Toowoomba, QLD, Australia.

Advanced Clinical Educator Interprofessional, Advance Queensland Industry Research Fellow, Cunningham Centre, Darling Downs Health, Toowoomba, QLD, Australia.

出版信息

PLoS One. 2021 Nov 19;16(11):e0260156. doi: 10.1371/journal.pone.0260156. eCollection 2021.

DOI:10.1371/journal.pone.0260156
PMID:34797897
原文链接:https://pmc.ncbi.nlm.nih.gov/articles/PMC8604366/
Abstract

OBJECTIVE

To review the impact of clinical supervision of post-registration/qualification healthcare professionals on healthcare organisational outcomes.

BACKGROUND

Clinical supervision is a professional support mechanism that benefits patients, healthcare professionals and healthcare organisations. Whilst evidence is growing on the impact of clinical supervision on patient and healthcare professional outcomes, the evidence base for the impact of clinical supervision on organisational outcomes remains weak.

METHODS

This review used a convergent segregated approach to synthesise and integrate quantitative and qualitative research findings, as per the Joanna Briggs Institute's recommendations for mixed methods systematic reviews. Databases searched included CINAHL, Embase, PubMed, PschINFO, and Scopus. Whilst a narrative synthesis was performed to present the findings of the quantitative and qualitative studies, the evidence from both quantitative and qualitative studies was subsequently integrated for a combined presentation. The review followed the guidelines of the Preferred Reporting Items for Systematic Reviews and Meta-Analyses.

RESULTS

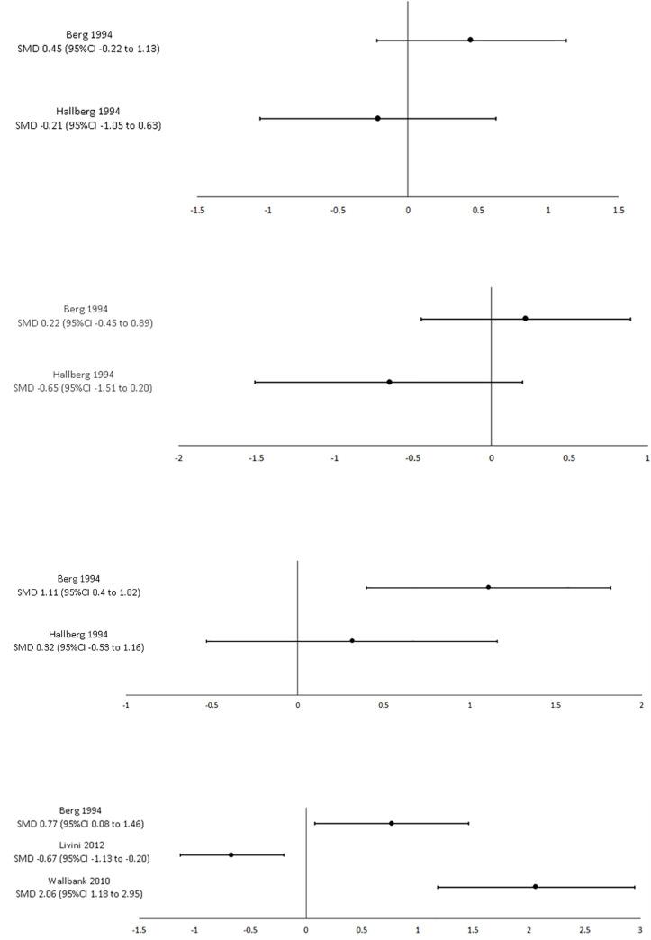
Thirty-two studies including 27 quantitative, two qualitative and three mixed methods studies, were included in the review. The results of the quantitative analysis showed that effective clinical supervision was associated with lower burnout and greater staff retention, and effective supervisor was associated with lower burnout and greater job satisfaction. Qualitative findings showed that healthcare professionals believed that adequate clinical supervision could mitigate the risk of burnout, facilitate staff retention, and improve the work environment, while inadequate clinical supervision can lead to stress and burnout. The evidence from quantitative and qualitative studies were complementary of each other.

CONCLUSION

Clinical supervision can have a variable effect on healthcare organisational outcomes. The direction of this effect appears to be influenced by the effectiveness of both the clinical supervision provided and that of the clinical supervisor. This highlights the need for organisations to invest in high quality supervision practices if maximal gains from clinical supervision are to be attained.

摘要

目的

综述注册后/资格认证医疗保健专业人员的临床监督对医疗组织结果的影响。

背景

临床监督是一种有益于患者、医疗保健专业人员和医疗保健组织的专业支持机制。尽管临床监督对患者和医疗保健专业人员结果的影响证据不断增加,但临床监督对组织结果的影响证据基础仍然薄弱。

方法

本综述采用汇聚分离方法,根据乔安娜·布里格斯研究所(Joanna Briggs Institute)对混合方法系统评价的建议,综合和整合定量和定性研究结果。搜索的数据库包括 CINAHL、Embase、PubMed、PschINFO 和 Scopus。虽然对定量和定性研究的结果进行了叙述性综合,但随后对来自定量和定性研究的证据进行了整合,以进行综合呈现。该综述遵循系统评价和荟萃分析的首选报告项目的准则。

结果

纳入了 32 项研究,包括 27 项定量研究、2 项定性研究和 3 项混合方法研究。定量分析的结果表明,有效的临床监督与较低的倦怠率和更高的员工保留率相关,有效的监督者与较低的倦怠率和更高的工作满意度相关。定性研究结果表明,医疗保健专业人员认为充足的临床监督可以降低倦怠风险,促进员工保留,并改善工作环境,而不足的临床监督可能导致压力和倦怠。定量和定性研究的证据是互补的。

结论

临床监督对医疗保健组织结果的影响是可变的。这种影响的方向似乎受到所提供的临床监督和临床监督者的有效性的影响。这突出表明,如果要从临床监督中获得最大收益,组织需要投资于高质量的监督实践。

https://cdn.ncbi.nlm.nih.gov/pmc/blobs/1ff0/8604366/81a316a55fb7/pone.0260156.g003.jpg
https://cdn.ncbi.nlm.nih.gov/pmc/blobs/1ff0/8604366/461100e05b41/pone.0260156.g001.jpg
https://cdn.ncbi.nlm.nih.gov/pmc/blobs/1ff0/8604366/362ace51668e/pone.0260156.g002.jpg
https://cdn.ncbi.nlm.nih.gov/pmc/blobs/1ff0/8604366/81a316a55fb7/pone.0260156.g003.jpg
https://cdn.ncbi.nlm.nih.gov/pmc/blobs/1ff0/8604366/461100e05b41/pone.0260156.g001.jpg
https://cdn.ncbi.nlm.nih.gov/pmc/blobs/1ff0/8604366/362ace51668e/pone.0260156.g002.jpg
https://cdn.ncbi.nlm.nih.gov/pmc/blobs/1ff0/8604366/81a316a55fb7/pone.0260156.g003.jpg

相似文献

1
Impact of clinical supervision on healthcare organisational outcomes: A mixed methods systematic review.临床监督对医疗保健组织结果的影响:一项混合方法系统评价。
PLoS One. 2021 Nov 19;16(11):e0260156. doi: 10.1371/journal.pone.0260156. eCollection 2021.
2
Health professionals' experience of teamwork education in acute hospital settings: a systematic review of qualitative literature.医疗专业人员在急症医院环境中团队合作教育的经验:对定性文献的系统综述
JBI Database System Rev Implement Rep. 2016 Apr;14(4):96-137. doi: 10.11124/JBISRIR-2016-1843.
3
Interventions to support the resilience and mental health of frontline health and social care professionals during and after a disease outbreak, epidemic or pandemic: a mixed methods systematic review.在疾病爆发、流行或大流行期间及之后,为支持一线卫生和社会护理专业人员的适应能力和心理健康所采取的干预措施:一项混合方法的系统评价
Cochrane Database Syst Rev. 2020 Nov 5;11(11):CD013779. doi: 10.1002/14651858.CD013779.
4
Promoting and supporting self-management for adults living in the community with physical chronic illness: A systematic review of the effectiveness and meaningfulness of the patient-practitioner encounter.促进和支持社区中患有慢性身体疾病的成年人进行自我管理:对医患互动的有效性和意义的系统评价。
JBI Libr Syst Rev. 2009;7(13):492-582. doi: 10.11124/01938924-200907130-00001.
5
Workplace-related generational characteristics of nurses: A mixed-method systematic review.护士的工作场所相关代际特征:一项混合方法系统评价。
J Adv Nurs. 2018 Jun;74(6):1245-1263. doi: 10.1111/jan.13538. Epub 2018 Feb 28.
6
Impact of clinical supervision of health professionals on organizational outcomes: a mixed methods systematic review protocol.卫生专业人员的临床监督对组织成果的影响:一项混合方法系统评价方案
JBI Evid Synth. 2020 Jan;18(1):115-120. doi: 10.11124/JBISRIR-D-19-00017.
7
Nurses' Perceptions of Organisational Attractiveness and Related Factors in Health Care: A Mixed Methods Systematic Review.护士对医疗保健机构吸引力及相关因素的认知:一项混合方法的系统评价
J Adv Nurs. 2025 Apr;81(4):1734-1754. doi: 10.1111/jan.16634. Epub 2024 Nov 25.
8
The Reported Evidence of Nursing and Midwifery Mentorship Programmes Internationally: A Scoping Meta-Review Providing a Comprehensive Overview of Mentorship Programmes.国际上护理与助产指导计划的报告证据:一项范围综述,全面概述指导计划
J Adv Nurs. 2025 May 7. doi: 10.1111/jan.17028.
9
Why do acute healthcare staff behave unprofessionally towards each other and how can these behaviours be reduced? A realist review.医护人员之间为何会出现不专业的行为,又应如何减少此类行为?一项现实主义综述。
Health Soc Care Deliv Res. 2024 Aug;12(25):1-195. doi: 10.3310/PAMV3758.
10
Impact of summer programmes on the outcomes of disadvantaged or 'at risk' young people: A systematic review.暑期项目对处境不利或“有风险”的年轻人的影响:一项系统综述。
Campbell Syst Rev. 2024 Jun 13;20(2):e1406. doi: 10.1002/cl2.1406. eCollection 2024 Jun.

引用本文的文献

1
Re-Visiting the Content Validity of the Manchester Clinical Supervision Scale (MCSS-26).重新审视曼彻斯特临床督导量表(MCSS - 26)的内容效度。
Int J Ment Health Nurs. 2025 Oct;34(5):e70128. doi: 10.1111/inm.70128.
2
Testing the role of online group-based supervision for local humanitarian workers following a crisis: A mixed-methods longitudinal study.危机后针对当地人道主义工作者的在线小组监督作用的测试:一项混合方法纵向研究。
PLOS Glob Public Health. 2025 Aug 18;5(8):e0004635. doi: 10.1371/journal.pgph.0004635. eCollection 2025.
3
ANZAED eating disorder credentialed clinician perceptions and experiences of professional development.

本文引用的文献

1
Improvement in the Short-Term Effectiveness of the Clinical Supervision of Physiotherapists Who Have Taken Part in a Clinical Supervision Training Programme.参与临床督导培训项目的物理治疗师临床督导短期效果的改善。
Physiother Can. 2021 Nov 1;73(4):370-380. doi: 10.3138/ptc-2019-0106. Epub 2021 Oct 20.
2
The PRISMA 2020 statement: an updated guideline for reporting systematic reviews.PRISMA 2020 声明:系统评价报告的更新指南。
BMJ. 2021 Mar 29;372:n71. doi: 10.1136/bmj.n71.
3
Impact of clinical supervision of health professionals on organizational outcomes: a mixed methods systematic review protocol.
澳大利亚和新西兰饮食失调专业认证临床医生对专业发展的看法和经历
J Eat Disord. 2025 Jul 16;13(Suppl 1):142. doi: 10.1186/s40337-025-01307-w.
4
Supervision for genetic counselors: The role of career-long supervision to develop resilient practitioners.对遗传咨询师的督导:终身督导在培养有适应能力的从业者方面的作用。
J Genet Couns. 2025 Feb;34(1):e70014. doi: 10.1002/jgc4.70014.
5
Exploring the Relationship Between Clinical Supervision and Well-Being in the Otolaryngology Residency Board in Saudi Arabia.探索沙特阿拉伯耳鼻喉科住院医师委员会中临床督导与幸福感之间的关系。
Healthcare (Basel). 2025 Feb 5;13(3):328. doi: 10.3390/healthcare13030328.
6
The Impact of Clinical Supervision on the Mental Health Nursing Workforce: A Scoping Review.临床督导对精神健康护理劳动力的影响:一项范围综述
Int J Ment Health Nurs. 2025 Feb;34(1):e13463. doi: 10.1111/inm.13463. Epub 2024 Oct 27.
7
Clinical supervision effectiveness in NHS nursing, medical and allied health professionals: Exploring interaction with workplace factors, supervision factors and burnout.英国国家医疗服务体系中护理、医疗及专职医疗专业人员的临床督导效果:探究与工作场所因素、督导因素及职业倦怠的相互作用
J Eval Clin Pract. 2025 Aug;31(5):e14149. doi: 10.1111/jep.14149. Epub 2024 Oct 22.
8
Clinical supervisor's experiences of peer group clinical supervision during COVID-19: a mixed methods study.临床督导员在新冠疫情期间进行同伴群体临床督导的经验:一项混合方法研究
BMC Nurs. 2024 Sep 2;23(1):612. doi: 10.1186/s12912-024-02283-3.
9
Barriers and Facilitators to Clinical Supervision in Ghana: A Scoping Review.加纳临床督导的障碍与促进因素:一项范围综述
SAGE Open Nurs. 2024 May 21;10:23779608241255263. doi: 10.1177/23779608241255263. eCollection 2024 Jan-Dec.
10
Impact of clinical supervision on the mental health nursing workforce: a scoping review protocol.临床督导对精神科护理人员队伍影响的范围综述方案。
BMJ Open. 2024 Mar 25;14(3):e078765. doi: 10.1136/bmjopen-2023-078765.
卫生专业人员的临床监督对组织成果的影响:一项混合方法系统评价方案
JBI Evid Synth. 2020 Jan;18(1):115-120. doi: 10.11124/JBISRIR-D-19-00017.
4
Burnout within forensic psychiatric nursing: Its relationship with ward environment and effective clinical supervision?法医精神病学护理中的倦怠:与病房环境和有效的临床监督的关系?
J Psychiatr Ment Health Nurs. 2019 Sep;26(7-8):212-222. doi: 10.1111/jpm.12538. Epub 2019 Jul 25.
5
Clinical supervision and ward orientation predict new graduate nurses' intention to work in critical care: Findings from a prospective observational study.临床督导和病房定向预测新毕业护士在重症监护室工作的意愿:一项前瞻性观察研究的结果。
Aust Crit Care. 2019 Sep;32(5):397-402. doi: 10.1016/j.aucc.2018.09.003. Epub 2018 Nov 22.
6
Good, bad or indifferent: a longitudinal multi-methods study comparing four modes of training for healthcare professionals in one Australian state.好、坏还是一般:一项纵向多方法研究,比较澳大利亚一个州医疗保健专业人员的四种培训模式。
BMJ Open. 2018 Aug 5;8(8):e021264. doi: 10.1136/bmjopen-2017-021264.
7
Leadership styles and outcome patterns for the nursing workforce and work environment: A systematic review.领导力风格和护理劳动力及工作环境的结果模式:系统评价。
Int J Nurs Stud. 2018 Sep;85:19-60. doi: 10.1016/j.ijnurstu.2018.04.016. Epub 2018 May 3.
8
The experience of clinical supervision for nurses and healthcare assistants in a secure adolescent service: Affecting service improvement.临床监督对青少年服务机构护士和医护助理的体验:影响服务改善。
J Psychiatr Ment Health Nurs. 2018 Apr;25(3):145-156. doi: 10.1111/jpm.12447. Epub 2018 Jan 9.
9
Does clinical supervision of healthcare professionals improve effectiveness of care and patient experience? A systematic review.医疗保健专业人员的临床监督能否提高护理效果和患者体验?一项系统综述。
BMC Health Serv Res. 2017 Nov 28;17(1):786. doi: 10.1186/s12913-017-2739-5.
10
When I say … clinical supervision.当我说……临床督导。
Med Educ. 2017 Sep;51(9):890-891. doi: 10.1111/medu.13258. Epub 2017 Feb 17.