Suppr超能文献

利用关联的常规收集医疗保健数据来估计患有长期疾病的年轻人从儿科到成人保健的过渡年龄。

Estimation of age of transition from paediatric to adult healthcare for young people with long term conditions using linked routinely collected healthcare data.

机构信息

Martin House Research Centre, Department of Health Sciences University of York, United Kingdom.

Centre for Health Economics, University of York, United Kingdom.

出版信息

Int J Popul Data Sci. 2021 Nov 4;6(1):1685. doi: 10.23889/ijpds.v6i1.1685. eCollection 2021.

Abstract

INTRODUCTION

Healthcare transitions, including from paediatric to adult services, can be disruptive and cause a lack of continuity in care. Existing research on the paediatric-adult healthcare transition often uses a simple age cut-off to assign transition status. This risks misclassification bias, reducing observed changes at transition (adults are included in the paediatric group and vice versa) possibly to differing extents between groups that transition at different ages.

OBJECTIVE

To develop and assess methods for estimating the transition point from paediatric to adult healthcare from routine healthcare records.

METHODS

A retrospective cohort of young people (12 to 23 years) with long term conditions was constructed from linked primary and secondary care data in England. Inpatient and outpatient records were classified as paediatric or adult based on treatment and clinician specialities. Transition point was estimated using three methods based on record classification (First Adult: the date of first adult record; Last Paediatric: date of last paediatric record; Fitted: a date determined by statistical fitting). Estimated transition age was compared between methods. A simulation explored impacts of estimation approaches compared to a simple age cut-off when assessing associations between transition status and healthcare events.

RESULTS

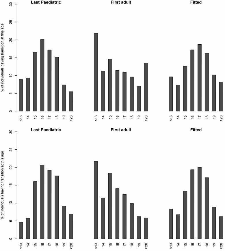
Simulations showed using an age-based cut-off at 16 or 18 years as transition point, common in research on transition, may underestimate transition-associated changes. Many health records for those aged <14 years were classified as adult, limiting utility of the First Adult approach. The Last Paediatric approach is least sensitive to this possible misclassification and may best reflect experience of the transition.

CONCLUSIONS

Estimating transition point from routine healthcare data is possible and offers advantages over a simple age cut-off. These methods, adapted as necessary for data from other countries, should be used to reduce risk of misclassification bias in studies of transition in nationally representative data.

摘要

简介

医疗保健的转变,包括从儿科到成人服务的转变,可能会造成中断,并导致护理连续性的缺失。现有的儿科-成人医疗保健过渡研究通常使用简单的年龄截止值来确定过渡状态。这存在分类偏倚的风险,从而减少了过渡时的观察到的变化(成年人被归入儿科组,反之亦然),这在不同年龄过渡的组之间可能存在不同程度的差异。

目的

从常规医疗记录中开发和评估估计从儿科到成人医疗保健过渡点的方法。

方法

从英格兰的链接初级和二级保健数据中构建了一个患有长期疾病的年轻人(12 至 23 岁)的回顾性队列。根据治疗和临床医生的专业知识,住院和门诊记录被归类为儿科或成人记录。使用基于记录分类的三种方法(首次成人记录:首次成人记录的日期;最后儿科记录:最后儿科记录的日期;拟合:通过统计拟合确定的日期)来估计过渡点。比较了这三种方法的估计过渡年龄。模拟研究了在评估过渡状态与医疗保健事件之间的关联时,与简单的年龄截止值相比,这些估计方法的影响。

结果

模拟结果表明,在研究过渡时,常用的基于年龄的截止值为 16 岁或 18 岁作为过渡点,可能会低估与过渡相关的变化。14 岁以下人群的许多医疗记录被归类为成人记录,限制了首次成人方法的实用性。最后儿科方法受这种可能的分类错误的影响最小,可能最能反映过渡的体验。

结论

从常规医疗保健数据中估计过渡点是可行的,并且优于简单的年龄截止值。这些方法可以根据其他国家的数据进行适当调整,以减少在全国代表性数据中研究过渡时的分类偏倚风险。

https://cdn.ncbi.nlm.nih.gov/pmc/blobs/7efd/8576739/0a6677161568/ijpds-06-1685-g001.jpg

文献AI研究员

20分钟写一篇综述,助力文献阅读效率提升50倍。

立即体验

用中文搜PubMed

大模型驱动的PubMed中文搜索引擎

马上搜索

文档翻译

学术文献翻译模型,支持多种主流文档格式。

立即体验