Suppr超能文献

使用人格五因素模型研究自然主义在线样本中迷幻药引起的社会功能和联系的变化。

Examining Psychedelic-Induced Changes in Social Functioning and Connectedness in a Naturalistic Online Sample Using the Five-Factor Model of Personality.

作者信息

Weiss Brandon, Nygart Victoria, Pommerencke Lis Marie, Carhart-Harris Robin L, Erritzoe David

机构信息

Psychedelic Research Group, Division of Psychiatry, Department of Brain Sciences Department of Medicine, Imperial College London, London, United Kingdom.

National Institute of Public Health, University of Southern Denmark, Odense, Denmark.

出版信息

Front Psychol. 2021 Nov 25;12:749788. doi: 10.3389/fpsyg.2021.749788. eCollection 2021.

Abstract

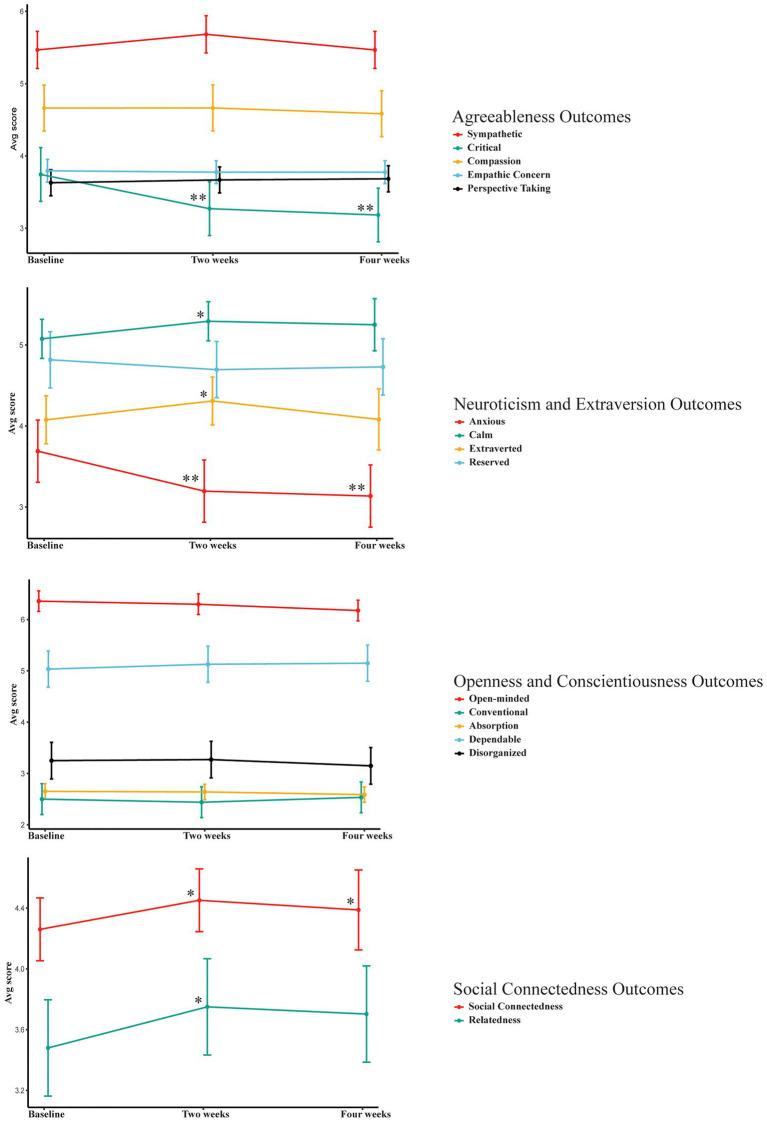
The present study examines prospective changes in personality traits relevant to social functioning as well as perceived social connectedness in relation to the naturalistic use of psychedelic compounds in an online volunteer sample. The study also examined the degree to which demographic characteristics, social setting, baseline personality, and acute subjective factors (e.g., emotional breakthrough experiences) influenced trajectories of personality and perceived social connectedness. Participants recruited online completed self-report measures of personality and social connectedness at three timepoints (baseline, 2weeks post-experience, 4weeks post-experience). Linear mixed models were used to examine changes in outcomes and the moderation of these outcomes by covariates. The most substantive changes were reductions in the personality domains Neuroticism, and increases in Agreeableness and social connectedness. Notably, reductions in Neuroticism and increases in Agreeableness covaried over time, which may be suggestive of common processes involving emotion regulation. Preliminary evidence was found for a specific effect on a component of Agreeableness involving a critical and quarrelsome interpersonal style. Although moderation by demographic characteristics, social setting, baseline personality, and acute factors generally found limited support, baseline standing on Neuroticism, perspective taking, and social connectedness showed tentative signs of amplifying adaptive effects on each trait, respectively. Our findings hold implications for the potential use of psychedelics for treating interpersonal elements of personality pathology as well as loneliness.

摘要

本研究考察了与社会功能相关的人格特质的前瞻性变化,以及在一个在线志愿者样本中,与迷幻化合物自然使用相关的感知社会联结。该研究还考察了人口统计学特征、社会环境、基线人格和急性主观因素(如情感突破体验)在多大程度上影响人格和感知社会联结的轨迹。在线招募的参与者在三个时间点(基线、体验后2周、体验后4周)完成了人格和社会联结的自我报告测量。使用线性混合模型来检验结果的变化以及协变量对这些结果的调节作用。最显著的变化是人格领域神经质的降低,以及宜人性和社会联结的增加。值得注意的是,神经质的降低和宜人性的增加随时间变化而共同变化,这可能暗示了涉及情绪调节的共同过程。发现了对宜人性一个涉及批判性和爱争吵人际风格的成分有特定影响的初步证据。尽管人口统计学特征、社会环境、基线人格和急性因素的调节作用总体上得到的支持有限,但神经质、观点采择和社会联结的基线水平分别显示出对每个特质放大适应性影响的初步迹象。我们的研究结果对迷幻药在治疗人格病理学的人际因素以及孤独方面的潜在应用具有启示意义。

https://cdn.ncbi.nlm.nih.gov/pmc/blobs/73ad/8655335/9728d991e5da/fpsyg-12-749788-g001.jpg

文献AI研究员

20分钟写一篇综述,助力文献阅读效率提升50倍。

立即体验

用中文搜PubMed

大模型驱动的PubMed中文搜索引擎

马上搜索

文档翻译

学术文献翻译模型,支持多种主流文档格式。

立即体验