• 文献检索
  • 文档翻译
  • 深度研究
  • 学术资讯
  • Suppr Zotero 插件Zotero 插件
  • 邀请有礼
  • 套餐&价格
  • 历史记录
应用&插件
Suppr Zotero 插件Zotero 插件浏览器插件Mac 客户端Windows 客户端微信小程序
定价
高级版会员购买积分包购买API积分包
服务
文献检索文档翻译深度研究API 文档MCP 服务
关于我们
关于 Suppr公司介绍联系我们用户协议隐私条款
关注我们

Suppr 超能文献

核心技术专利:CN118964589B侵权必究
粤ICP备2023148730 号-1Suppr @ 2026

文献检索

告别复杂PubMed语法,用中文像聊天一样搜索,搜遍4000万医学文献。AI智能推荐,让科研检索更轻松。

立即免费搜索

文件翻译

保留排版,准确专业,支持PDF/Word/PPT等文件格式,支持 12+语言互译。

免费翻译文档

深度研究

AI帮你快速写综述,25分钟生成高质量综述,智能提取关键信息,辅助科研写作。

立即免费体验

SAU-19 改善高脂肪饮食/链脲佐菌素诱导的糖尿病小鼠的肝胰岛素抵抗。

SAU-19 Ameliorates Hepatic Insulin Resistance in High-Fat Diet/Streptozocin-Induced Diabetic Mice.

机构信息

Key Laboratory of Animal Diseases and Environmental Hazards of Sichuan Province, College of Veterinary Medicine, Sichuan Agricultural University, Chengdu 611130, China.

New Ruipeng Pet Healthcare Group Co., Ltd., Shenzhen 518000, China.

出版信息

Nutrients. 2021 Dec 17;13(12):4512. doi: 10.3390/nu13124512.

DOI:10.3390/nu13124512
PMID:34960064
原文链接:https://pmc.ncbi.nlm.nih.gov/articles/PMC8703646/
Abstract

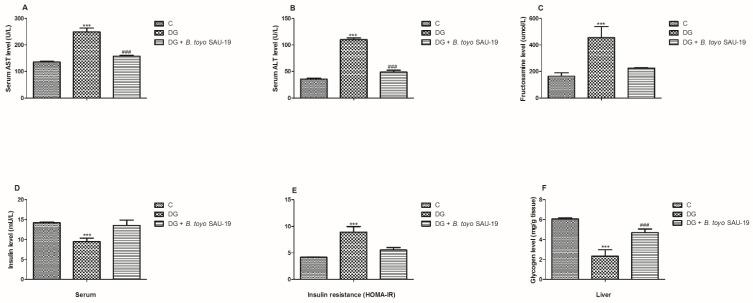
Insulin resistance (IR) is a hallmark of type 2 diabetes mellitus (T2DM). This study was performed to investigate the antidiabetic effect of SAU-19 and its possible mechanisms of action in mice with type 2 diabetes mellitus (T2DM). Thirty SPFKM mice were randomly assigned to three groups: control, diabetic model, and diabetes + SAU-19 group. After 35 days, blood was collected for biochemical analysis and liver tissue samples for histopathological analysis using H&E staining, qPCR, and ELISA. The results showed that the administration of SAU-19 significantly improved the blood glucose, hepatic insulin resistance, and morphological changes of the liver characterized by significant improvement of dyslipidemia, glycogen synthesis, and antioxidant status ( < 0.05), indicating the strains' ameliorating effects on hepatic insulin resistance in T2DM. In conclusion, the probiotic strain SAU-19) inhibits T2DM by reducing insulin resistance, improving antioxidant status, and downregulating genes related to glucose synthesis; hence, it may be used in treating diabetes and other metabolic disorders. This study provides the basis for further studies into the molecular mechanisms of SAU-19 in treating T2DM.

摘要

胰岛素抵抗(IR)是 2 型糖尿病(T2DM)的标志。本研究旨在探讨 SAU-19 在 2 型糖尿病(T2DM)小鼠中的降糖作用及其可能的作用机制。30 只 SPFKM 小鼠被随机分为三组:对照组、糖尿病模型组和糖尿病+SAU-19 组。35 天后,采集血液进行生化分析,采集肝组织样本进行 H&E 染色、qPCR 和 ELISA 分析。结果表明,SAU-19 的给药显著改善了血糖、肝胰岛素抵抗和肝脏形态学变化,表现为血脂异常、糖原合成和抗氧化状态的显著改善(<0.05),表明该菌株对 T2DM 肝胰岛素抵抗具有改善作用。总之,益生菌株 SAU-19 通过降低胰岛素抵抗、改善抗氧化状态和下调与葡萄糖合成相关的基因来抑制 T2DM,因此,它可能用于治疗糖尿病和其他代谢紊乱。本研究为进一步研究 SAU-19 治疗 T2DM 的分子机制提供了依据。

https://cdn.ncbi.nlm.nih.gov/pmc/blobs/29ab/8703646/f44615e6a4a8/nutrients-13-04512-g009.jpg
https://cdn.ncbi.nlm.nih.gov/pmc/blobs/29ab/8703646/bb5a1c36a817/nutrients-13-04512-g001.jpg
https://cdn.ncbi.nlm.nih.gov/pmc/blobs/29ab/8703646/35df0a8fe6b0/nutrients-13-04512-g002.jpg
https://cdn.ncbi.nlm.nih.gov/pmc/blobs/29ab/8703646/8a15213d0647/nutrients-13-04512-g003.jpg
https://cdn.ncbi.nlm.nih.gov/pmc/blobs/29ab/8703646/42f793b7a8e7/nutrients-13-04512-g004.jpg
https://cdn.ncbi.nlm.nih.gov/pmc/blobs/29ab/8703646/b3f6c672e888/nutrients-13-04512-g005.jpg
https://cdn.ncbi.nlm.nih.gov/pmc/blobs/29ab/8703646/d72f4daf7cd3/nutrients-13-04512-g006.jpg
https://cdn.ncbi.nlm.nih.gov/pmc/blobs/29ab/8703646/39b7198b3d17/nutrients-13-04512-g007.jpg
https://cdn.ncbi.nlm.nih.gov/pmc/blobs/29ab/8703646/92725b21f323/nutrients-13-04512-g008.jpg
https://cdn.ncbi.nlm.nih.gov/pmc/blobs/29ab/8703646/f44615e6a4a8/nutrients-13-04512-g009.jpg
https://cdn.ncbi.nlm.nih.gov/pmc/blobs/29ab/8703646/bb5a1c36a817/nutrients-13-04512-g001.jpg
https://cdn.ncbi.nlm.nih.gov/pmc/blobs/29ab/8703646/35df0a8fe6b0/nutrients-13-04512-g002.jpg
https://cdn.ncbi.nlm.nih.gov/pmc/blobs/29ab/8703646/8a15213d0647/nutrients-13-04512-g003.jpg
https://cdn.ncbi.nlm.nih.gov/pmc/blobs/29ab/8703646/42f793b7a8e7/nutrients-13-04512-g004.jpg
https://cdn.ncbi.nlm.nih.gov/pmc/blobs/29ab/8703646/b3f6c672e888/nutrients-13-04512-g005.jpg
https://cdn.ncbi.nlm.nih.gov/pmc/blobs/29ab/8703646/d72f4daf7cd3/nutrients-13-04512-g006.jpg
https://cdn.ncbi.nlm.nih.gov/pmc/blobs/29ab/8703646/39b7198b3d17/nutrients-13-04512-g007.jpg
https://cdn.ncbi.nlm.nih.gov/pmc/blobs/29ab/8703646/92725b21f323/nutrients-13-04512-g008.jpg
https://cdn.ncbi.nlm.nih.gov/pmc/blobs/29ab/8703646/f44615e6a4a8/nutrients-13-04512-g009.jpg

相似文献

1
SAU-19 Ameliorates Hepatic Insulin Resistance in High-Fat Diet/Streptozocin-Induced Diabetic Mice.SAU-19 改善高脂肪饮食/链脲佐菌素诱导的糖尿病小鼠的肝胰岛素抵抗。
Nutrients. 2021 Dec 17;13(12):4512. doi: 10.3390/nu13124512.
2
Oral Administration of Strain SAU-20 Improves Insulin Resistance and Ameliorates Hepatic Steatosis in Type 2 Diabetic Mice.口服菌株 SAU-20 可改善 2 型糖尿病小鼠的胰岛素抵抗并减轻肝脂肪变性。
Front Immunol. 2022 Feb 15;13:837237. doi: 10.3389/fimmu.2022.837237. eCollection 2022.
3
SAU-19 and SAU-20 Isolated From Alleviates the Intestinal Structure and Integrity Damage Associated With Gut Dysbiosis in Mice Fed High Fat Diet.从……分离出的SAU - 19和SAU - 20可减轻高脂饮食喂养小鼠肠道微生物群失调相关的肠道结构和完整性损伤。 (注:原句中“Isolated From”后面缺少具体内容)
Front Microbiol. 2022 Feb 17;13:820236. doi: 10.3389/fmicb.2022.820236. eCollection 2022.
4
Swertisin rich fraction from Enicostema littorale ameliorates hyperglycemia and hyperlipidemia in high-fat fed diet and low dose streptozotacin induced type 2 diabetes mellitus in rats.从海菖蒲中提取的穗花牡荆苷可改善高脂肪饲料喂养和低剂量链脲佐菌素诱导的 2 型糖尿病大鼠的高血糖和高血脂。
Biomed Pharmacother. 2017 Dec;96:1427-1437. doi: 10.1016/j.biopha.2017.09.153. Epub 2017 Oct 21.
5
Single-Atom Ce-N-C Nanozyme Ameliorates Type 2 Diabetes Mellitus by Improving Glucose Metabolism Disorders and Reducing Oxidative Stress.单原子 Ce-N-C 纳米酶通过改善葡萄糖代谢紊乱和减轻氧化应激来改善 2 型糖尿病。
Biomolecules. 2024 Sep 22;14(9):1193. doi: 10.3390/biom14091193.
6
Chitosan-stabilized selenium nanoparticles alleviate cardio-hepatic damage in type 2 diabetes mellitus model via regulation of caspase, Bax/Bcl-2, and Fas/FasL-pathway.壳聚糖稳定的硒纳米颗粒通过调节半胱天冬酶、Bax/Bcl-2 和 Fas/FasL 通路减轻 2 型糖尿病模型的心肝损伤。
Gene. 2021 Feb 5;768:145288. doi: 10.1016/j.gene.2020.145288. Epub 2020 Nov 10.
7
Rapamycin improves insulin resistance and hepatic steatosis in type 2 diabetes rats through activation of autophagy.雷帕霉素通过激活自噬改善 2 型糖尿病大鼠的胰岛素抵抗和肝脂肪变性。
Cell Biol Int. 2018 Sep;42(10):1282-1291. doi: 10.1002/cbin.11015. Epub 2018 Jul 8.
8
Dendrobium officinale polysaccharide ameliorates diabetic hepatic glucose metabolism via glucagon-mediated signaling pathways and modifying liver-glycogen structure.铁皮石斛多糖通过调节肝糖原结构和胰高血糖素介导的信号通路改善糖尿病肝脏糖代谢。
J Ethnopharmacol. 2020 Feb 10;248:112308. doi: 10.1016/j.jep.2019.112308. Epub 2019 Oct 14.
9
Effect of CAPE-pNO against type 2 diabetes mellitus via the AMPK/GLUT4/ GSK3β/PPARα pathway in HFD/STZ-induced diabetic mice.CAPE-pNO 通过 AMPK/GLUT4/GSK3β/PPARα 通路对 HFD/STZ 诱导的糖尿病小鼠的作用。
Eur J Pharmacol. 2019 Jun 15;853:1-10. doi: 10.1016/j.ejphar.2019.03.027. Epub 2019 Mar 15.
10
Beneficial effects of Aronia melanocarpa berry extract on hepatic insulin resistance in type 2 diabetes mellitus rats.黑果腺肋花楸果提取物对 2 型糖尿病大鼠肝脏胰岛素抵抗的有益作用。
J Food Sci. 2020 Apr;85(4):1307-1318. doi: 10.1111/1750-3841.15109. Epub 2020 Apr 6.

引用本文的文献

1
Antibacterial Activity and Multi-Targeted Mechanism of Action of Suberanilic Acid Isolated from DCL44: An Endophytic Fungi from .从 DCL44 中分离得到的琥珀酸的抑菌活性及其多靶点作用机制:一种植物内生真菌。
Molecules. 2024 Sep 4;29(17):4205. doi: 10.3390/molecules29174205.
2
Causal relationships between gut microbiota and polycystic ovarian syndrome: A bidirectional Mendelian randomization study.肠道微生物群与多囊卵巢综合征的因果关系:一项双向孟德尔随机化研究。
Acta Obstet Gynecol Scand. 2024 Nov;103(11):2232-2241. doi: 10.1111/aogs.14957. Epub 2024 Sep 10.
3
Dietary supplementation with mycelium prevents dyslipidemia inflammation in high fat diet mice by modulation of gut microbiota in mice.

本文引用的文献

1
An Overview: The Toxicity of on Animals and Its Possible Interventions.概述:对动物的毒性及其可能的干预措施。
Int J Mol Sci. 2021 Oct 27;22(21):11581. doi: 10.3390/ijms222111581.
2
Disrupts the Intestinal Structure and Immune Barrier Integrity in Rats.破坏大鼠的肠道结构和免疫屏障完整性。
Toxins (Basel). 2021 Sep 15;13(9):651. doi: 10.3390/toxins13090651.
3
Toxic mechanisms and pharmacological properties of euptox A, a toxic monomer from A. adenophora.从白首乌中提取的毒性单体 euptox A 的毒性机制和药理学特性。
菌丝体膳食补充可通过调节高脂饮食小鼠肠道微生物群来预防脂代谢紊乱和炎症。
Front Immunol. 2022 Nov 7;13:977528. doi: 10.3389/fimmu.2022.977528. eCollection 2022.
4
Probiotic Mechanisms Affecting Glucose Homeostasis: A Scoping Review.影响葡萄糖稳态的益生菌机制:一项范围综述。
Life (Basel). 2022 Aug 3;12(8):1187. doi: 10.3390/life12081187.
5
Glycine Nano-Selenium Enhances Immunoglobulin and Cytokine Production in Mice Immunized with H9N2 Avian Influenza Virus Vaccine.甘氨酸纳米硒增强 H9N2 禽流感病毒疫苗免疫小鼠的免疫球蛋白和细胞因子产生。
Int J Mol Sci. 2022 Jul 18;23(14):7914. doi: 10.3390/ijms23147914.
6
Antibacterial Activity of Two Metabolites Isolated From Endophytic Bacteria Ea73 in .从内生细菌Ea73中分离出的两种代谢产物的抗菌活性 于……
Front Microbiol. 2022 May 6;13:860009. doi: 10.3389/fmicb.2022.860009. eCollection 2022.
7
Anti-Inflammatory Activity and Mechanism of Cryptochlorogenic Acid from .白皮松中绿原酸的抗炎活性及其作用机制。
Nutrients. 2022 Jan 19;14(3):439. doi: 10.3390/nu14030439.
8
Oral Administration of Strain SAU-20 Improves Insulin Resistance and Ameliorates Hepatic Steatosis in Type 2 Diabetic Mice.口服菌株 SAU-20 可改善 2 型糖尿病小鼠的胰岛素抵抗并减轻肝脂肪变性。
Front Immunol. 2022 Feb 15;13:837237. doi: 10.3389/fimmu.2022.837237. eCollection 2022.
Fitoterapia. 2021 Nov;155:105032. doi: 10.1016/j.fitote.2021.105032. Epub 2021 Sep 10.
4
Euptox A Induces G0 /GI arrest and apoptosis of hepatocyte via ROS, mitochondrial dysfunction and caspases-dependent pathways in vivo.Eu 毒素 A 通过 ROS、线粒体功能障碍和 caspase 依赖性途径在体内诱导肝细胞 G0/G1 期阻滞和凋亡。
J Toxicol Sci. 2020;45(11):661-671. doi: 10.2131/jts.45.661.
5
Effect of dulaglutide on liver fat in patients with type 2 diabetes and NAFLD: randomised controlled trial (D-LIFT trial).度拉糖肽对 2 型糖尿病合并非酒精性脂肪性肝病患者肝脂肪的影响:随机对照试验(D-LIFT 试验)。
Diabetologia. 2020 Nov;63(11):2434-2445. doi: 10.1007/s00125-020-05265-7. Epub 2020 Aug 31.
6
Bamboo leaf flavone changed the community of cecum microbiota and improved the immune function in broilers.竹叶黄酮改变了盲肠微生物群落组成,提高了肉鸡的免疫功能。
Sci Rep. 2020 Jul 23;10(1):12324. doi: 10.1038/s41598-020-69010-1.
7
Effects of probiotic, cinnamon, and synbiotic supplementation on glycemic control and antioxidant status in people with type 2 diabetes; a randomized, double-blind, placebo-controlled study.益生菌、肉桂和合生元补充剂对2型糖尿病患者血糖控制和抗氧化状态的影响;一项随机、双盲、安慰剂对照研究。
J Diabetes Metab Disord. 2019 Dec 23;19(1):53-60. doi: 10.1007/s40200-019-00474-3. eCollection 2020 Jun.
8
Reduces Blood Glucose Level through Downregulation of Gluconeogenesis Gene Expression in Streptozotocin-Induced Diabetic Rats.通过下调链脲佐菌素诱导的糖尿病大鼠糖异生基因表达降低血糖水平
Int J Food Sci. 2020 Jan 13;2020:6108575. doi: 10.1155/2020/6108575. eCollection 2020.
9
Circadian Clock and Sirtuins in Diabetic Lung: A Mechanistic Perspective.昼夜节律钟和糖尿病肺中的沉默调节蛋白:一种机制视角。
Front Endocrinol (Lausanne). 2020 Apr 3;11:173. doi: 10.3389/fendo.2020.00173. eCollection 2020.
10
Molecular Mechanisms Linking Oxidative Stress and Diabetes Mellitus.氧化应激与糖尿病的分子机制关联。
Oxid Med Cell Longev. 2020 Mar 9;2020:8609213. doi: 10.1155/2020/8609213. eCollection 2020.