Suppr超能文献

美国国家健康与营养检查调查(NHANES)中成年人夜间就寝时间与收缩压之间的关联。

Association Between Bedtime at Night and Systolic Blood Pressure in Adults in NHANES.

作者信息

Su Yingjie, Li Changluo, Long Yong, He Liudang, Ding Ning

机构信息

Department of Emergency Medicine, The Affiliated Changsha Central Hospital, Hengyang Medical School, University of South China, Changsha, China.

出版信息

Front Med (Lausanne). 2021 Dec 24;8:734791. doi: 10.3389/fmed.2021.734791. eCollection 2021.

Abstract

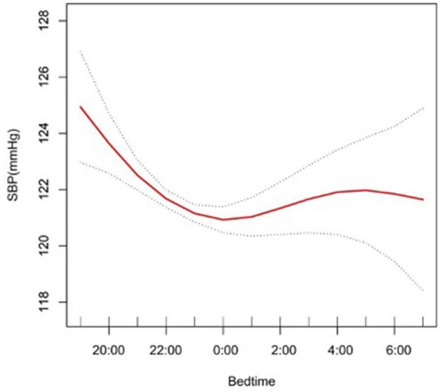
This study aimed to explore the association between bedtime at night and systolic blood pressure (SBP) in adults. We conducted a cross-sectional study composed of 7,642 individuals from the National Health and Nutrition Examination Survey (NHANES). Bedtime was defined as the response to the question: "What time do you usually fall asleep on weekdays or workdays?" SBP was taken using the average of all measured values. Multiple linear regression analyses were done to explore the relationship between bedtime and SBP. The bedtime was changed from categorical variable to continuous variable for data analysis, and a significantly negative association was identified between bedtime and SBP (β, -0.23 [95% CI, -0.43, -0.02]). With the delay of bedtime, the SBP showed a gradual decrease trend, and it was dropped to the lowest at 0:00. After 0:00, the SBP was gradually increased with the delay of sleep time. The stratified analyses showed that in the female group, with the delay of bedtime, the range of SBP was decreased more obviously at 0:00. In the 18-45 year group, bedtime had little effect on SBP. Among ≥45 years old group, this trend was still the same. In the black group, an obvious downward trend was found at 22:00. With the delay of bedtime, the SBP had shown a gradual decrease trend, and it was dropped to the lowest at 0:00. After 0:00, the SBP was gradually increased with the delay of sleep time. Bedtime and SBP showed a U-shaped relationship.

摘要

本研究旨在探讨成年人夜间就寝时间与收缩压(SBP)之间的关联。我们进行了一项横断面研究,研究对象为来自国家健康与营养检查调查(NHANES)的7642名个体。就寝时间定义为对以下问题的回答:“工作日你通常几点入睡?”收缩压采用所有测量值的平均值。进行了多元线性回归分析以探讨就寝时间与收缩压之间的关系。为了进行数据分析,将就寝时间从分类变量转换为连续变量,并且确定就寝时间与收缩压之间存在显著的负相关(β,-0.23 [95% CI,-0.43,-0.02])。随着就寝时间的延迟,收缩压呈逐渐下降趋势,并在0:00降至最低。0:00之后,收缩压随着睡眠时间的延迟而逐渐升高。分层分析表明,在女性组中,随着就寝时间的延迟,收缩压在0:00时下降幅度更明显。在18 - 45岁组中,就寝时间对收缩压影响不大。在≥45岁组中,这种趋势仍然相同。在黑人组中,22:00时出现明显下降趋势。随着就寝时间的延迟,收缩压呈逐渐下降趋势,并在0:00降至最低。0:00之后,收缩压随着睡眠时间的延迟而逐渐升高。就寝时间与收缩压呈U形关系。

https://cdn.ncbi.nlm.nih.gov/pmc/blobs/72e9/8738078/481dde916bd9/fmed-08-734791-g0001.jpg

文献检索

告别复杂PubMed语法,用中文像聊天一样搜索,搜遍4000万医学文献。AI智能推荐,让科研检索更轻松。

立即免费搜索

文件翻译

保留排版,准确专业,支持PDF/Word/PPT等文件格式,支持 12+语言互译。

免费翻译文档

深度研究

AI帮你快速写综述,25分钟生成高质量综述,智能提取关键信息,辅助科研写作。

立即免费体验